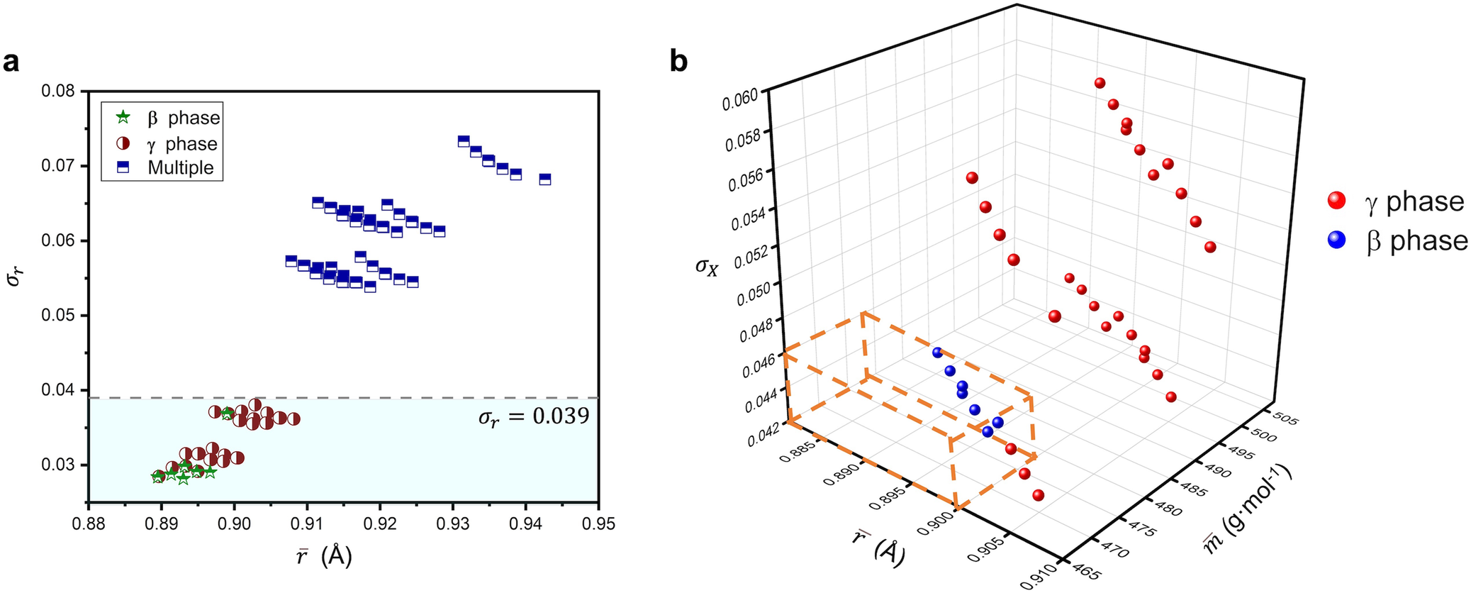
Fig. 12: The relevant features and phase formation of (RE11/6RE21/6RE31/6Gd1/6Yb1/6Lu1/6)2Si2O7.

a The relationship between the \({\sigma }_{X}\) and \(\bar{r}\) for the predicted phases, in which the blue area highlights the β and γ phases. b The relationship among the \({\sigma }_{X}\), \(\bar{m}\) and \(\bar{r}\) values for the predicted phases, in which the dashed box points out the β phases.