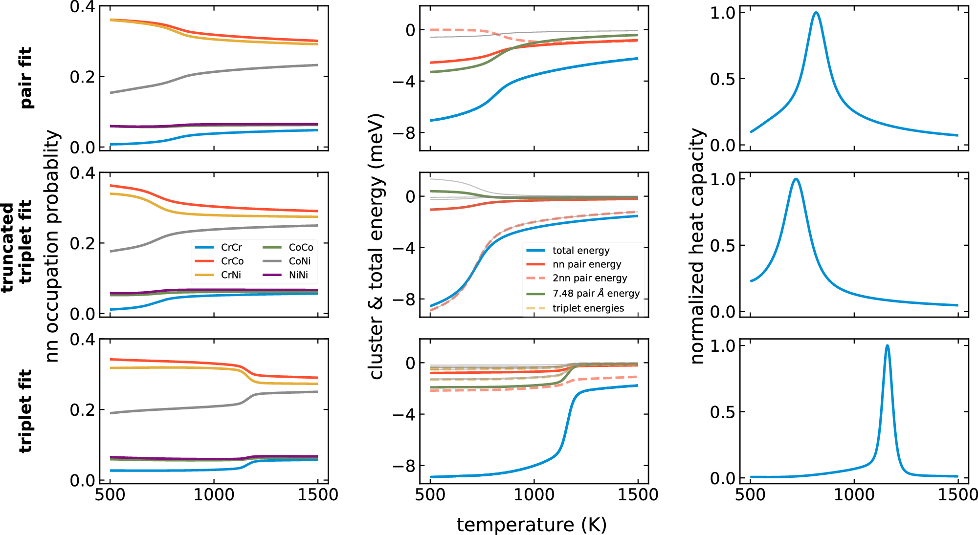
Fig. 5: Nearest-neighbor pair probabilities (SRO), internal energy, nearest neighbor pair energy, and normalized heat capacity.
From: The cluster decomposition of the configurational energy of multicomponent alloys

The nearest neighbor pair energy is plotted with a solid blue curve, and the internal energy with a solid red curve. Pair fit results (top), triplet fit results (bottom, solid), truncated triplet fit to pairs (bottom, translucent/dot-dash).