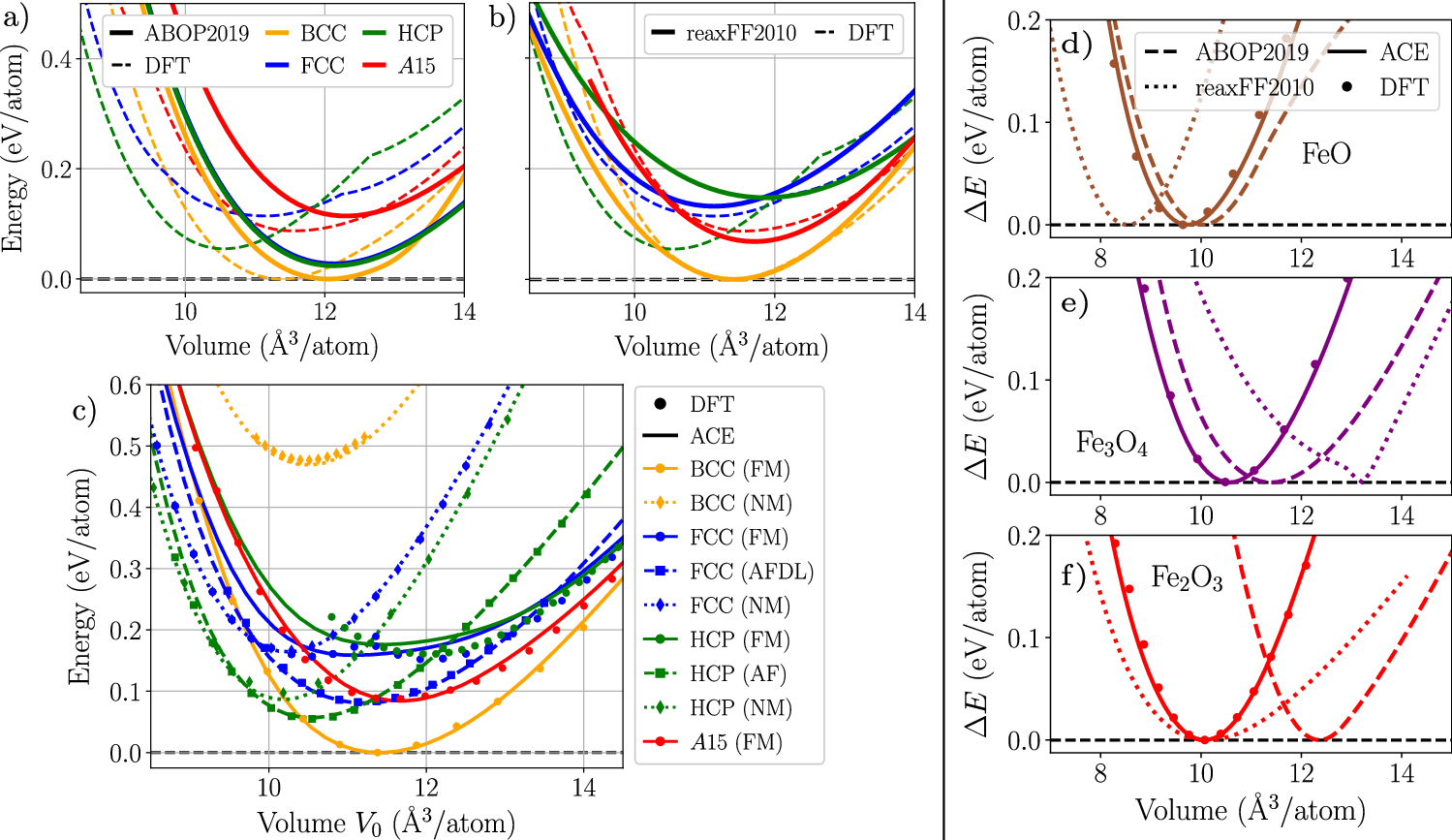
Fig. 2: Energy-volume for iron and iron oxides.
From: Development of an atomic cluster expansion potential for iron and its oxides

a–c Energy-volume curves for different crystal structures for pure Fe, namely BCC, FCC, HCP, and A15, comparing DFT (dashed lines) with a ABOP2019, b ReaxFF2010, and c the present Fe-O ACE potential. For the DFT data, only the magnetic ground state is plotted at each volume in (a) and (b) since the two potentials cannot distinguish between different magnetic orders. This is reflected in the kinks present in the DFT curves for FCC and HCP structures, corresponding to a change in the lowest energy magnetic order. In (c), different magnetic orders (AFDL: antiferromagnetic double layer; NM: non-magnetic) are shown when comparing DFT to ACE since the potential captures magnetic degrees of freedom. d–f Energy-volume curves for the three iron oxides: d stoichiometric wüstite FeO, e magnetite Fe3O4, and f hematite Fe2O3 obtained with the ABOP2019 (dashed lines), ReaxFF2010 (dotted lines), ACE (full lines) potentials, and DFT (GGA-PBE, symbols).