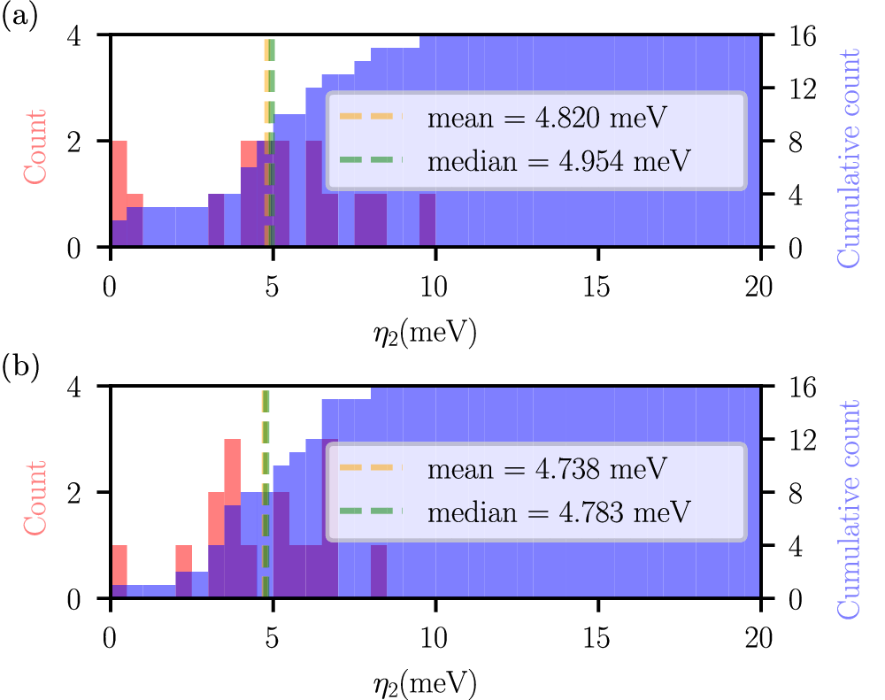
Fig. 6: Results of the extended PDWF workflows for magnetic (collinear and non-collinear) systems.

Histogram (red) and cumulative histogram (blue) of the band distance η2 of (a) 16 collinear magnetic systems and b 16 non-collinear magnetic systems. The orange (green) vertical lines are the mean (median) band distance η2, whose values are shown in the legend of each panel. In both cases, SSSP pseudopotentials and additional external hydrogenic projectors were used to obtain PDWFs.