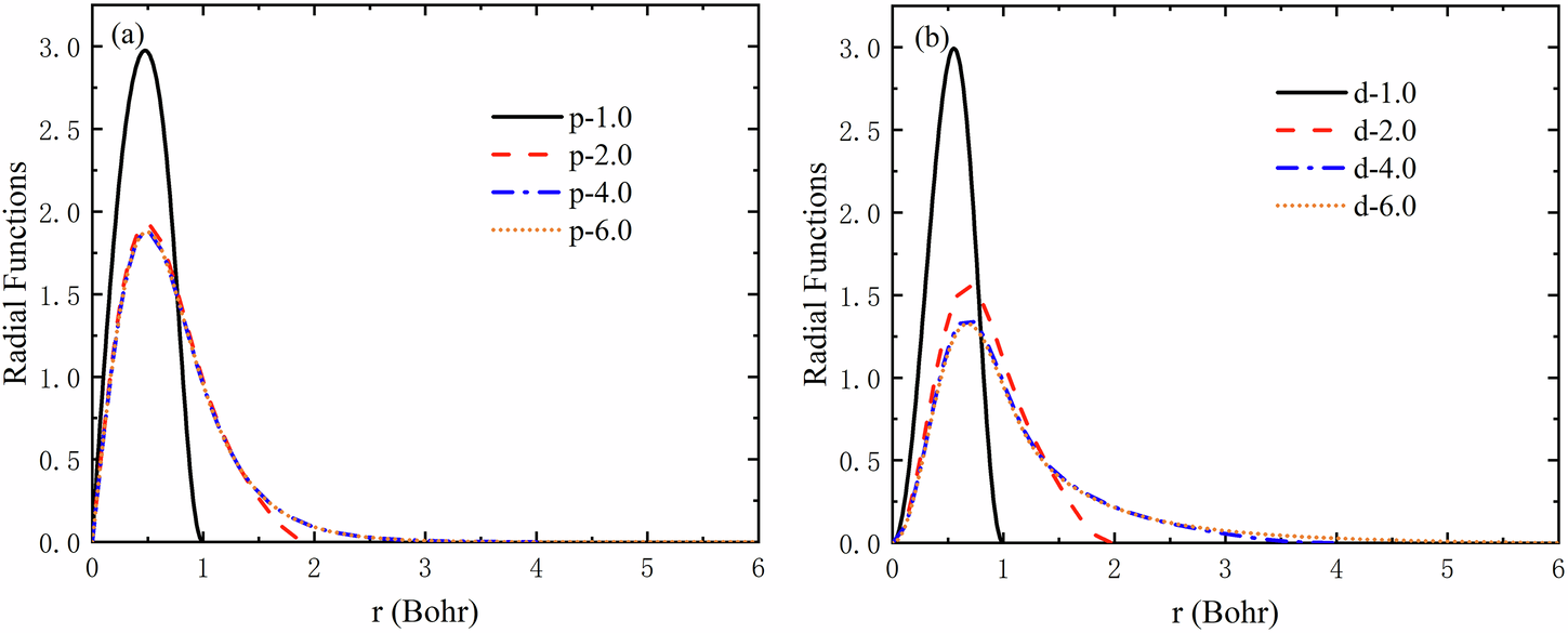
Fig. 1: Radial functions (RFs) of the first-ζ numerical atomic orbital of Fe before and after modulation.

a The original and modulated RFs for p orbitals, where the original numerical atomic orbitals have a cutoff radius rc of 6.0 Bohr, as well as the modulated orbital with the modification radius rm as 1.0, 2.0 and 4.0 Bohr. “p-1.0” represents the p orbital modulated by Eq. (22) with rm = 1.0 Bohr. b The original and modulated RFs for d orbitals.