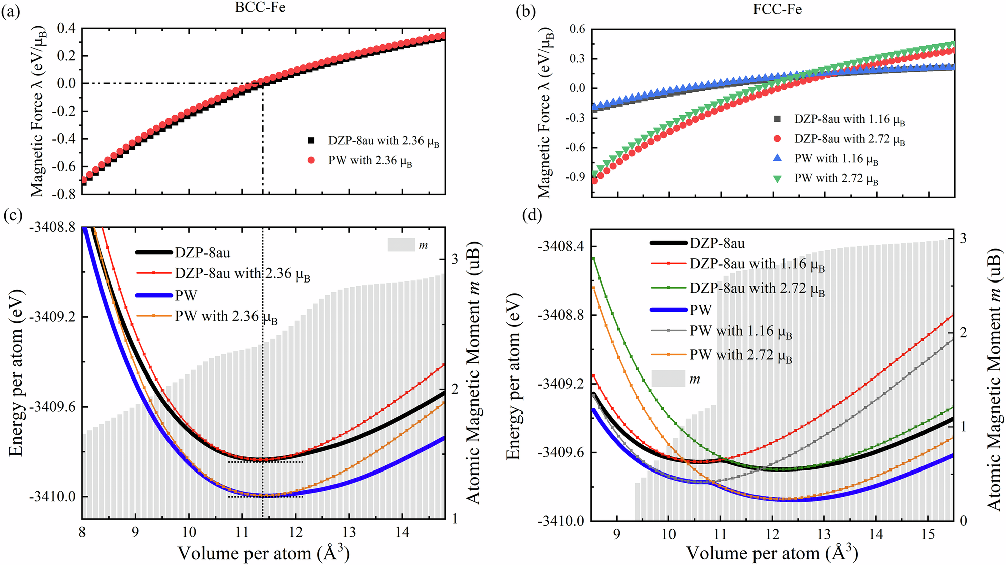
Fig. 5: Comparison between the unconstrained and constrained calculations.

a, b plot the magnetic force λ = ∣λ∣ as a function of the cell volume per atom for BCC-Fe (a) and FCC-Fe (b). c, d The solid lines show the total energy per atom as a function of the cell volume per atom for BCC-Fe (c) and FCC-Fe (d). Here, “DZP-8au-v2.1” represents the v2.1 NAOs calculations based on the DZP orbitals with the 8 Bohr cutoff. The gray histograms represent the atomic magnetic moment m after fully unconstrained self-consistent calculations. The dotted lines show the cDFT energy with certain constraints.