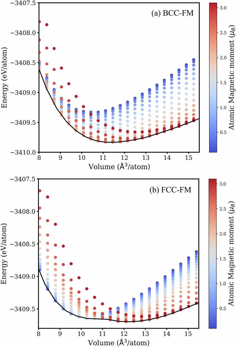
Fig. 9: The model energy prediction for varying volume.

a For FM BCC-Fe and b FM FCC-Fe, the energy predicted by the DeePSPIN model as a function of volume with various atomic magnetic moments. The black lines plot the energy calculated by unconstrained DFT method.