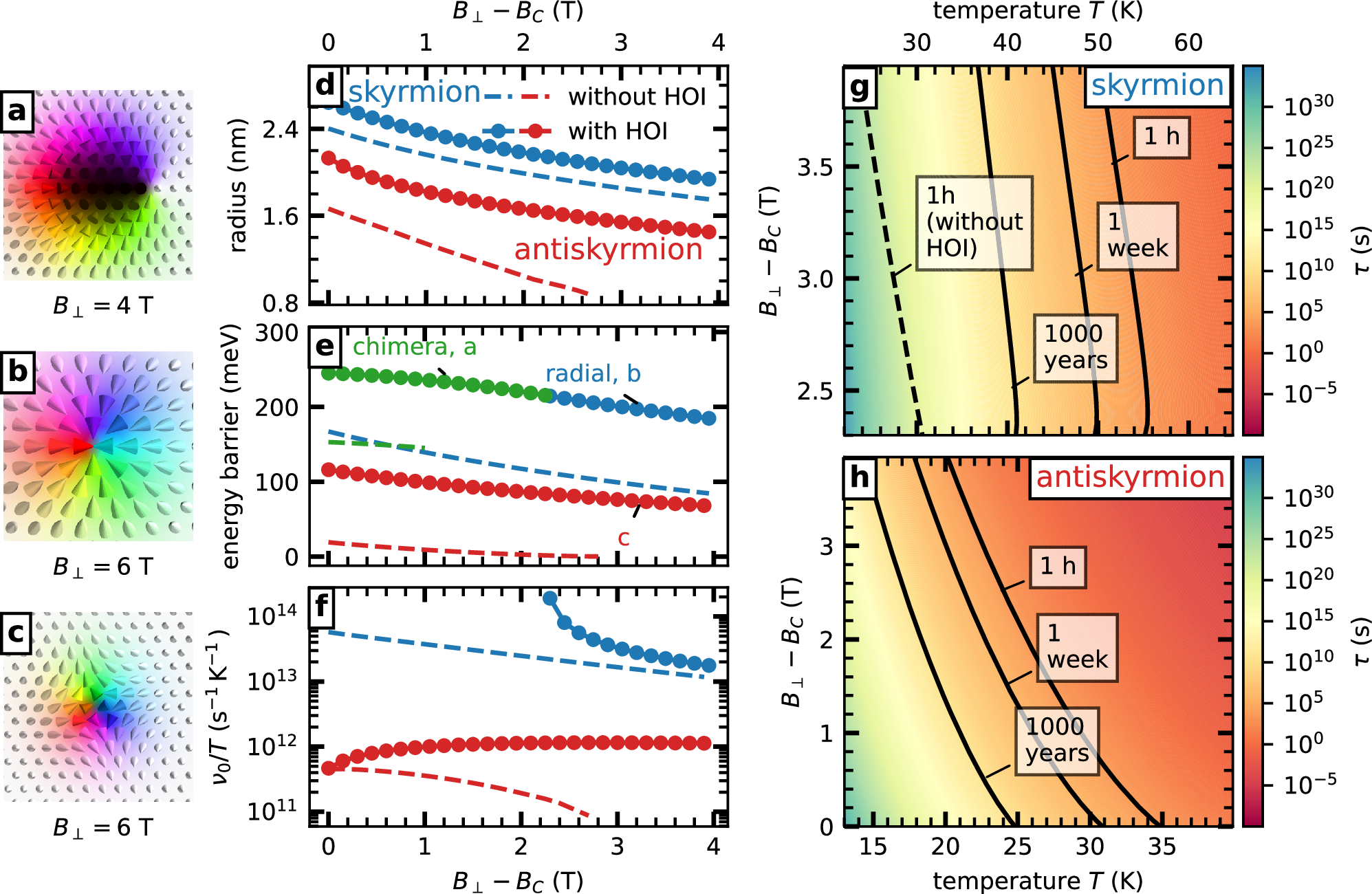
Fig. 2: Effect of higher-order exchange interactions on skyrmion and antiskyrmion lifetime.
From: Impact of higher-order exchange on the lifetime of skyrmions and antiskyrmions

Saddle point configuration for the collapse of the isolated skyrmion in fcc-Pd/Fe/Ir(111) including HOI at B⊥ − BC = 1.25 T (a) and B⊥ − BC = 3.25 T (b) and antiskyrmion at B⊥ − BC = 3.25 T (c). d Radius of skyrmions (blue) and antiskyrmions (red) in fcc-Pd/Fe/Ir(111) with (solid lines and circles) and without (dashed line) explicitly considering HOI as a function of the magnetic field. The magnetic field is given relative to the field BC for the onset of the field polarized phase for the respective energy model. e Energy barriers associated with the skyrmion and antiskyrmion collapse as a function of the magnetic field with and without (see refs. 41,55) explicitly considering HOI. The field regime where the Chimera collapse of the skyrmion is favoured is colored in green. f Pre-exponential factor ν0 in units of temperature T plotted over B⊥ − BC for skyrmions (blue) in the regime of the radial collapse and antiskyrmions (red) for the energy model considering HOI (circles) and not explicitly taking HOI into account (dashed lines) g Mean lifetime τ (see colorbar) for different magnetic fields and different temperatures for the regime of radial skyrmion collapse. As a reference, the contour line for a lifetime of 1 h for skyrmions without considering HOI explicitly is also given (see ref. 55). h Mean lifetime of antiskyrmions taking HOI into account.