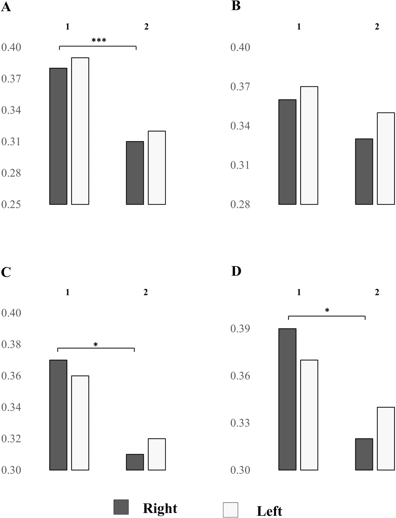
Fig. 1: Ultrasound analysis of cartilage thickness in the left and right fingers based on injury history (Using PowerPoint, Microsoft, Seattle, USA).

Analysis includes: (A) index finger; (B) middle finger; (C) ring finger; and (D) little finger. Solid and patterned bars represent findings for the right and left hands, respectively. Categories: 1, injury history; 2, non-injury history.