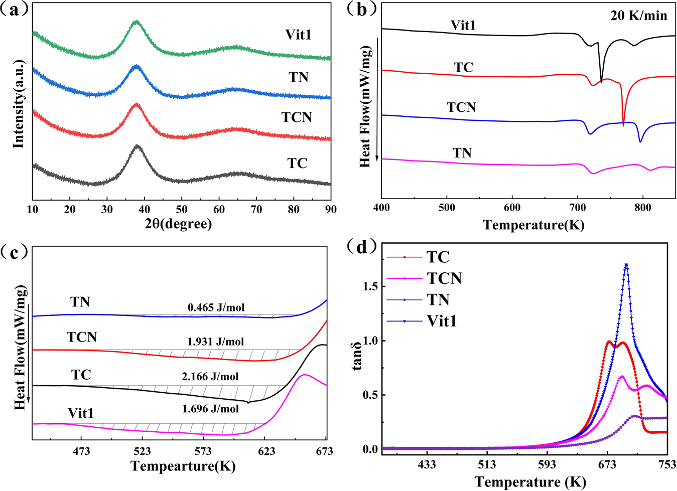
Fig. 1: The structures and dynamic mechanical analysis results of the samples.
From: Corrosion behavior of TiZrHfBeCu(Ni) high-entropy bulk metallic glasses in 3.5 wt. % NaCl

a XRD spectra, b DSC curves, c relaxation enthalpies, and d loss factors (\(\tan \delta = E{^{\prime}} /E{^{\prime\prime}}\)) with a fixed frequency of 1 Hz and a constant heating rate of 5 K/min.