Abstract
The corrosion behavior of TiZrHfBeCu(Ni) high-entropy bulk metallic glasses (HE-BMGs) has been investigated. The TiZrHfBeCu(Ni) HE-BMGs exhibited high corrosion resistance in 3.5 wt. % NaCl solution because of accumulation of ZrO2 and TiO2 in the passive film. Ni promoted increases of the ZrO2, TiO2, and HfO2 contents and a decrease of the BeO content, which improved the HE-BMG corrosion behavior. Compared with Zr41.2Ti13.8Ni10Cu12.5Be22.5 BMG, the high-entropy effect of HE-BMGs can significantly reduce the atomic mobility, which inhibits outward migration of Cu, reduces the kinetics of the dissolution reaction, and inhibits inward erosion by Cl−, thereby improving the corrosion performance.
Similar content being viewed by others
Introduction
Bulk metallic glasses (BMGs) are characterized by long-range disordered and short-range ordered structures at the atomic scale1, and they have a large elastic limit, good magnetic properties, and high corrosion resistance2,3. Similar to traditional crystalline alloys, most developed BMGs are based on a single principle element or dual principle elements, such as Zr-, Ti-, Fe-, Ca-, Pd-, Mg-, and CuZr-based BMGs. In 2004, Yeh et al.4 proposed a concept for alloy composition design, where the alloy is composed of five or more major elements in equimolar ratio or nearly equimolar ratio and the concentration of each alloy element is 5–35 at. %. They defined this type of alloy as high-entropy alloys (HEAs), which can break through the primitive limitations of traditional alloys. The characteristics of the multiple principal elements in the HEAs determine that they have high mixing entropy, which helps to form a disordered solid-solution phase, and they have better mechanical and physical properties5,6,7. With development of HEAs, it has gradually been discovered that some HEAs form an amorphous structure while having high mixing entropy. In 2002, Inoue et al.8 prepared a rod sample of the TiZrHfCuNi BMG with a diameter of 1.5 mm, which was the first reported HEA capable of forming an amorphous structure. Wang et al.9 developed Sr20Ca20Yb20Mg20Zn20, Sr20Ca20Yb20Mg20Zn10Cu10, and Sr20Ca20Yb20(Li0.55Mg0.45)Zn20 BMGs with high mixing entropy in 2011. In 2014, they proposed the definition of HE-BMGs10: BMGs containing five or more elements with the same or similar atomic percentages. Compared with conventional BMGs, HE-BMGs have relatively high mixing entropies11. At present, the developed HE-BMG systems include TiZr(Hf)CuNiBe12,13,14,15, GdTbDyAlCo(Ni)16, ErDyCoAlGd17, FeCoNiMoPB18, PdPtCuNiP19, and FeCoNi (B, Si, P, C)20. HE-BMGs have the properties of both the structural characteristics of BMGs and the compositional characteristics of HEAs, which make HE-BMGs better than HEAs and BMGs in certain aspects. FeCoNi (B, Si, P, C) HE-BMGs20,21,22 exhibit ultra-high yield strength of up to 3.6 GPa and good soft magnetic properties with low coercivity of 1.1 A m−1, whereas the yield strength of the traditional CoCrFeMnNi HEA is only 1.18 GPa and its coercivity is 5.7 kA m−123,24. GdTbDyAl (Fe, Co, Ni)16 HE-BMGs show better magnetic refrigeration performance, which differs from HEAs. ErGdYAlCo HE-BMGs have higher viscosities and more sluggish crystallization behavior than conventional BMGs25. Compared with CaMgZn BMG (fracture strength of 354 MPa)26, CaMgZnSrYb HE-BMGs have better mechanical properties (fracture strength of 382 MPa)9. TiZrHfBeCuNi HE-BMG has higher creep resistance than HEAs and BMGs27.
The corrosion behavior is one of the most important issues for structural and functional materials. BMGs do not contain the grain boundaries, dislocations, and second-class defects found in traditional alloys, and they also have better chemical uniformity, so they exhibit better corrosion behavior under normal circumstances3,28. At present, investigation of the corrosion behavior of BMGs is mostly focused on the alloying elements, heat treatment, and corrosion mechanism. For example, the corrosion current (Icorr) of Fe68Cr8Mo4Nb4B16 BMG is between 10−6 and 10−7 A cm−2 in 3.5 wt. % NaCl29. Because the elements partition throughout crystallization, especially Cr, which leads to a non-homogeneous structure that preferentially triggers and holds pitting corrosion, the corrosion current is much lower than that of the crystallized alloy (10−4–10−5 A cm−2). Yu et al.3 investigated the corrosion behavior of (Zr58Nb3Cu16Ni13Al10)100−xYx (x = 0, 0.5, 2.5 at. %) BMGs in 0.5 mol L−1 H2SO4. They found that addition of Y improves the electrochemical homogeneity of the Zr-based alloys, but it also facilitates dissolution of Cu, resulting in a slight deterioration of the corrosion behavior. Research on the corrosion behavior of HEAs has focused on plastic deformation, heat treatment, and alloying elements. Luo et al.30 investigated the corrosion behavior of the CoCrFeMnNi HEA in 0.1 M H2SO4. Compared with 304 L stainless steel, which does not show obvious selective dissolution, Icorr increased from 10−5 to 10−4 A cm−2. Shi et al.31 investigated the AlxCoCrFeNi HEA in 3.5 wt. % NaCl solution with addition of Al and the effect of heat treatment on the corrosion behavior. With addition of Al, the phase structure changed. They found that the structural differences and chemical separation led to deterioration of the corrosion behavior and 1250 °C heat treatment simplified the microstructure and reduced elemental segregation, which improved the corrosion behavior of the alloy. However, there have been relatively few studies on the corrosion behavior with both the high-entropy effect and an amorphous structure, and these need to be further investigated.
HE-BMGs have the characteristics of both the high-entropy effect and a disordered atomic arrangement, and they are a good model material for studying corrosion behavior. However, the development history of HE-BMGs is so short that there are few systematic studies on corrosion resistance, and only focus on the measurement of electrochemical parameters32. Therefore, it is necessary to conduct systematic and in-depth research on corrosion resistance.
Among HE-BMGs, TiZrHfBeCu(Ni) is a typical HE-BMG system that has good glass-forming ability (up to 30 mm)15, high fracture strength (2000 MPa)11, and good room-temperature creep resistance27. Therefore, in this study, we investigated the corrosion behavior of Ti20Zr20Hf20Be20Cu20 (TC), Ti20Zr20Hf20Be20Cu10Ni10 (TCN), and Ti20Zr20Hf20Be20Ni20 (TN) HE-BMGs in 3.5 wt. % NaCl. Furthermore, on the one hand, Zr41.2Ti13.8Ni10Cu12.5Be22.5 (Vit1) BMG33 has great academic significance and commercial value, so many scientific researches use Vit1 as a model material. On the other hand, the design of high-entropy bulk metallic glasses (HE-BMGs) was based on the principle of substitution of similar components: in TiZrHfBeCu(Ni) alloys, Ti, Zr, and Hf can be divided into a class of elements, and the atomic proportion is 60 at. %. Cu and Ni are one type, and the atomic ratio is 20 at. %. Be is one type, and the atomic ratio is 20 at. %. The Zr and Ti atoms in the composition of Vit1 are 55 at. %, the proportion of Cu and Ni is 22.5 at. %, and the proportion of Be is 22.5 at.%. So the atomic percentages of TiZrHfBeCu(Ni) are very close with Vit1, which are very suitable for performance comparison with Vit1. Therefore, we adopt TiZrHfBeCu(Ni) as the research object.
In conclusion, this thesis systematically studies the corrosion resistance of the specified alloy. And in this paper, the composition and the high-entropy effect on the corrosion behavior of HE-BMGs were investigated. The micro-corrosion mechanism of HE-BMGs is then proposed, which will provide a theoretical basis for development and application of HE-BMGs.
Results and discussion
Amorphous structures and dynamic mechanical analysis
The XRD patterns of the four samples are shown in Fig. 1(a). The XRD patterns all consisted of only a broad diffraction peak without any sharp Bragg peaks, indicating that the four samples were all amorphous structures.
The glass-transition temperatures (Tg) and onset crystallization temperatures (Tx) of the four samples showed the order Vit1 < TC < TCN < TN (Fig. 1(b)). The HE-BMGs had higher glass-transition temperatures than Vit1. This shows that the special properties of the HE-BMGs improved the thermal stability of the amorphous phase. Compared with Vit1, the HE-BMGs also had larger atomic configuration densities34.
To further compare the effect of the high-entropy effect on the alloys at the atomic scale, dynamic mechanical analysis (DMA) was performed to study the atomic mobility of the samples. For viscoelastic materials, the flexural modulus can be expressed as
where the storage modulus E′ represents the elastic response and the loss modulus E″ corresponds to the viscoelastic components35. The changes of the normalized storage modulus (E’/Eu) or loss factor (tan δ) of the as-cast samples with temperature are shown in Fig. 1(d). Eu represents the unrelaxed modulus at ambient temperature, and the relationship between the phase lag δ and the modulus can be expressed as the loss factor tan δ, which is related to the atomic mobility36. It is worth noting that tan δ reaches its maximum value at intermediate temperatures. This stage is considered to be related to the main α relaxation, which is related to the cooperative movements of the atoms inside the metals. Related studies have shown that the atomic mobility can be evaluated by the value of the loss factor tan δ. Qiao et al.37 used DMA to analyze structure relaxation, plastic deformation, and crystal-phase formation in Ti40Zr25Ni8Cu9Be18, which reduced the atomic mobility of the material, and the atomic mobility and tan δ showed a positive correlation. The tan δ value of Vit1 was lower than those of the studied HE-BMGs, which showed that the atomic mobilities of the HE-BMGs were significantly lower than that of the traditional BMGs owing to the existence of sluggish diffusion.
Electrochemical properties of the samples
The potentiodynamic polarization curves of the as-cast HE-BMGs and Vit1 in 3.5 wt. % NaCl at 298 K are shown in Fig. 2. The corrosion behavior of all of the alloys in NaCl showed common characteristics. (1) A short passivation region can be observed in the anodic polarization zone before pitting corrosion occurred. (2) All of the alloys showed obvious pitting corrosion. Through analysis of the potentiodynamic polarization curves, the corrosion potential (Ecorr), corrosion current density (icorr), and pitting potential (Epit) are summarized in Table 1. Epit represents the critical state for nucleation of pitting, and it has been widely used as a electrochemical parameter to estimate corrosion behavior38. From Table 1, the different alloys had significantly different pitting potentials, indicating that the stability and protective ability of the passive films showed considerable diversity. The pitting potential of the HE-BMGs as a function of the Ni content is shown in Fig. 2(b), based on the curves in Fig. 2(a). Therefore, the addition of elements affected the corrosion behavior of the HE-BMG. When Ni replaced Cu in the TC alloy, icorr increased from 7.25 × 10−6 A cm−2 (TC) to 0.40 × 10−6 A cm−2 (TN), Epit increased from −0.15 VSCE (TC) to 0.60 VSCE (TN), and the passivation region Epit-Ecorr increased from 0.2 V (TC) to 0.82 V (TN). Furthermore, for Vit1, icorr = 1.67 × 10−6 A cm−2 and Epit = −0.064 VSCE, and for TCN, icorr = 1.67 × 10−6 A cm−2 and Epit = −0.064 VSCE, so the corrosion resistance of Vit1 is between TC and TCN.
To evaluate the electronic properties and stabilities of the passive films, EIS measurements of the as-cast HE-BMGs and Vit1 were performed. The Nyquist and Bode plots of the four samples in 3.5 wt. % NaCl are shown in Fig. 3. Each Nyquist plot showed a single capacitive semicircle (Fig. 3(a)), which indicates that the corrosion process is controlled by the charge-transfer process39. However, each Nyquist plot had a different radius, and TN exhibited the largest impedance, which indicated that the interface had higher resistance data. From the Bode impedance plots in Fig. 3(b), the higher impedance in the low-frequency region indicated higher resistance to charge transfer. From the Bode impedance plots, TN may exhibit higher resistance to charge transfer. This suggests that the charge-transfer process was more difficult on the surface of TN, indicating that the passive film formed on TN had high stability. This is consistent with the potentiodynamic polarization results and Nyquist plots.
To further analyze the impedance, the impedance results were fitted by the equivalent electric circuit (EEC) with two defined time constants shown in Fig. 3(c). In the EEC, Rs is the solution resistance, Rox and Rct are the resistance of the passive film and charge transfer, and CPEox and CPEct are the capacitance of the passive film formed on the surface and the double layer due to the electrochemical reaction at the solution/electrode interface. The CPE explains the non-ideal capacitance response because of the heterogeneous surface. The impedance CPE is given by40
where Q0 is a constant phase coefficient, j = \(\sqrt { - 1}\), ω is the angular frequency, and n is the dispersion index (0–1). The fitting results of the Nyquist plots are summarized in Table 2 The double layer capacitance (Cdl) can be evaluated by Brug’s formula40:
The capacitance of the oxide film (Cox) was calculated by the Hsu–Mansfeld equation41:
where \({\omega _m}^{\prime\prime}\) is the frequency at which the imaginary part of the impedance has a maximum. The thickness of the oxide film can be calculated using the equation of a parallel-plate capacitor42:
where ε is the dielectric constant of the passive film, which is assumed to be 12.38, ε0 is the vacuum permittivity (ε0 = 8.85 × 10−14 F cm−1), and d is the oxide thickness. The fitting parameters extracted from the EEC are summarized in Table 2. According to the fitting data in Table 2, the n1 and n2 values of all of the samples were <1, indicating that the non-ideal capacitive behavior of CPE was caused by the uneven current distribution because of the inhomogeneous surface, such as roughness and defects43. The Cdl values of the four samples showed the order TC > Vit1 > TCN > TN. A smaller Cdl value means that the corrosion area of the sample is smaller and the corrosion resistance is better. The Cox values related to the thickness of the passive layer showed the order TC > Vit1 > TCN > TN, which means that the passive film formed on the TC sample with the smallest Cox was thinner and more sensitive to erosion by Cl−44. The total resistance (Rox + Rct) was chosen as the criterion for judging the corrosion resistance, and its change trend showed the order TC < Vit1 < TCN < TN. The decrease of the total resistance value is related to the decrease of the stability of the passive film and the increase of defects in the passive film. The TN sample showed the best corrosion resistance, which is consistent with the above research results, and the same result can also be seen in Fig. 2(b), where the corrosion resistance gradually increased with increasing Ni content.
Pit morphology
To investigate the corrosion behavior of the alloys, SEM was performed to observe the pit morphology after the polarization test. Visible pits formed on the surfaces of the four samples. The pits of the samples were randomly distributed, but the microscopic morphology features were slightly different in Fig. 4.
The SEM observations were performed immediately after the potentiodynamic polarization measurements in 3.5 wt. % NaCl solution. a TC sample, b magnified image of the area marked by the red square in a, and c EDS element mapping of the test area corresponding to b. d TCN sample, e magnified image of the area marked by the red square in d, and f EDS element mapping of the test area corresponding to e. g TN sample, (h) magnified image of the area marked by the red square in g, and i EDS element mapping of the test area corresponding to h. j Vit1 sample, k magnified image of the area marked by the red square in j, and l EDS element mapping of the test area corresponding to k.
For TC and Vit1, the pits were mainly circular extending toward the matrix, and there were obvious micro-cracks at the bottom, showing the characteristics of dealloying by electrochemical reaction. To further understand the element distribution of the pits, EDS were performed to scan the pits. Owing to selective dissolution of Zr and Ti, Cu was distributed along the pits (Fig. 4(c) and (l)). There were obvious Cu-rich, Ti-poor, and Zr-poor areas inside the pits, and the element distribution was not homogeneous, so the passive film formed on the surface was relatively weak and prone to corrosion. For the TCN and TN samples, the pits mainly showed a long and narrow shape extending toward the matrix, and dense microscopic cavities formed at the bottom of the pits. The element distribution of the TN sample is shown in Fig. 4(j). The elements were evenly distributed on the surface.
Characteristics of the passive films
The corrosion behavior of an alloy is closely related to the structure and performance of the passive film. To further explore the corrosion behavior, Mott–Schottky (M–S) analysis and XPS were performed to investigate the characteristics of the passive films.
To further understand the electronic properties of the passive films, M–S analysis of the passive films formed on the surfaces of the high-entropy amorphous alloys and Vit1 alloy after soaking in NaCl solution for 3 h was performed. According to M–S theory, the relationship between the capacitance (C) of an n-type semiconductor pair and the applied potential can be described by the following equations45:
where ε is the dielectric constant of the passive film (here, ε = 12.38), ε0 is the vacuum permittivity constant (ε0 = 8.854 × 10−14 F cm−1), e is the elementary charge (1.602 × 10−19 C), ND is the donor density of the n-type semiconductor, EFB is the flat-band potential, K is the Boltzmann constant (K = 8.16 × 10−5 eV K−1), and T is the absolute temperature (K)46.
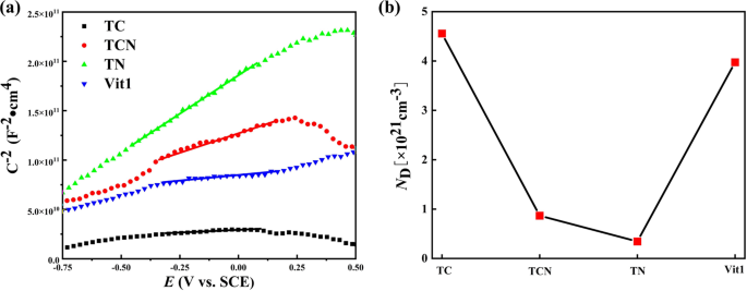
The M–S plots of the passive films obtained after immersing the samples in NaCl for 3 h are shown in Fig. 5(a). All of the specimens showed a linear region with a positive slope, indicating that the passive films were n-type semiconductors (i.e., oxygen vacancy doping type). The ND values for TC, TCN, TN, and Vit1 were 4.56 × 1021, 0.87 × 1021, 0.34 × 1021, and 3.97 × 1021 cm−3, respectively. A higher ND means that the passive film contains more oxygen vacancies (Vo) and it is easier for solution ions to adsorb, thereby causing the passive film to become unstable and the corrosion behavior to deteriorate47. Therefore, the change trend of ND from the M–S plots is consistent with the corrosion behavior trend of the samples mentioned above. In addition, the flat-band potential EFB can be obtained by M–S plot fitting48. The EFB values for TC, TCN, TN, and Vit1 were −1.71, −1.212, −0.77, and −1.28 V vs. SCE, respectively. A positive shift of EFB means that the energy barrier is larger and electron transfer is more difficult, so the stability of the passive film is improved44.
To investigate the passivation behavior, XPS was performed to analyze the chemical compositions of the passive films on the outermost surfaces after immersion in NaCl solution for 2 days. The XPS spectra of Ti 2p, Zr 3d, Hf 4f, and Be 1s distributed on the outermost surfaces of the alloys are shown in Figs. 6 and 7. For all of the samples, Ti, Zr, Hf, and Be exhibited very similar elemental valences, and the types of elemental valence showed no distinct differences. The Ti 2p spectra were composed of 2p1/2 peaks (464.4 eV) and 2p3/2 peaks (458.6 eV) of Ti4+, and 2p1/2 peaks (458.9 eV) and 2p3/2 peaks (452.3 eV) of Ti0. The Zr 3d spectra were composed of 3d3/2 peaks (184.8 eV) and 3d5/2 peaks (182.4 eV) of Zr4+, and 3d3/2 peaks (180.9 eV) and 3d5/2 peaks (178.5 eV) of Zr0. The Hf 4f spectra were composed of 4f5/2 peaks (18.7 eV) and 4f7/2 peaks (17.0 eV) of Hf4+. The Be 1s spectra were mainly composed of Be2+ 1s peaks. The O 1s is mainly composed of H2O, OH− and O2−, and the corresponding binding energies are 532.4 eV, 531.4 eV and 530.5 eV respectively49,50.
Ti and Zr in the alloy can be easily oxidized to stable TiO2 and ZrO2 in a neutral or oxidizing environment51. The highly chemically stable TiO2 and ZrO2 contribute to formation of a protective passive film, thereby delaying the occurrence of corrosion51. However, the alloying elements will affect the contents and stabilities of the oxides, especially for replacement of Cu with Ni. An increase of Ti4+, Zr4+, or Hf4+ is accompanied by a decrease of Cu2+ and Be2+. To a certain extent, this indicates that the alloying elements will affect the contents of the other elements and the characteristics of the passive film.
The corrosion behavior and passivation behavior of metals are closely related to the characteristics of the alloying elements. Therefore, to further investigate the influence of Cu and Ni on the corrosion behavior and passive film, Ar ions were used to etch the surfaces of the samples for 240 s after immersion, and the samples after etching were analyzed by XPS. The XPS spectra of Cu and Ni on the surfaces and underlying surfaces of the samples are shown in Fig. 8; this helps to clarify the origin of the differences. The results showed that there were large differences in the distributions and contents of the elements on the surfaces and underlying surfaces of the four samples. (1) For the samples containing Cu, Cu2+ and Cu0 were detected on the surface and underlying surface. The Cu element was mainly in the form of Cu2+, but the content of Cu0 significantly increased in the underlying surface. (2) For the sample containing Ni, the surface of the sample contained almost no Ni, while Ni2+ and Ni0 were detected in the underlying surface, and Ni0 was dominant. Combined with related studies, the presence of Cu in the sample will lead to deterioration of the corrosion behavior, and addition of Ni can improve the corrosion behavior in NaCl solution. However, from XPS analysis, the passive films did not contain much Ni.
To further investigate the distributions of the elements and the stabilities of the passive films, according to the integrated intensities of the XPS spectra, the relative concentrations of the cations are summarized in Fig. 9. When Ni replaced Cu, from TC to TN, the Ti element content increased from 7.37 to 24.55%, the Zr element content increased from 11.69 to 31.69%, and the Hf element content increased from 11.74 to 38.55%, but the Be content decreased from 65.04 to 5.22%. The changes in the contents of the alloying elements Cu and Ni mainly caused the changes in the other elements in the passive film, which may be the main reason for the difference in the corrosion behavior.
To further investigate the variation in the passive film thickness and analyze the roles of Cu and Ni in the passivating process and passive film, we directly observed the passive films of the TC and TN samples. Cross-sectional TEM images and the element distributions of the samples are shown in Fig. 10. The passive film generated by the TC sample (3 nm) at the OCP for 3600 s was thinner than that of the TN sample (10 nm), indicating that the TN sample also had higher corrosion resistance, which is similar to the electrochemical test results. In addition, the element distribution showed that the passive film of the TC sample contained large enrichment of the Cu element. However, for the TN sample, there was almost no Ni in the passive film, which may be caused by preferential dissolution of Ni, which is consistent with the XPS measurement.
Through analysis of the above results, the following interesting results were obtained. (1) Addition of Ni affected the composition and content of the passive film, thereby affecting the corrosion behavior. (2) Compared with the common Vit1, there were obvious differences in the corrosion behavior. In the next section, we will focus on the following issues: (1) the mechanism of the effect of Ni on the corrosion behavior of HE-BMGs, (2) the advantages of HE-BMGs owing to the special composition characteristics compared with the traditional Vit1, and (3) the corrosion mechanism of HE-BMGs.
Corrosion behavior and mechanism of the HE-BMGs
The corrosion behavior of an alloy is usually related to the passive film on its surface. In this study, the corrosion behavior of the HE-BMGs mainly improved by adjusting the material composition, and the composition directly affected the passive film composition. Thus, this improvement can be considered from the perspective of the passive film composition. The passive films of the HE-BMGs mainly consisted of ionic components (Ti4+, Zr4+, Hf4+, Be2+, and Cu2+) and metallic components (Ti0, Zr0, Be0, and Cu0), and the formed film containing highly stable TiO2 and ZrO2 was highly protective. However, the specific situation may be slightly different. On the one hand, with addition of Ni, the passive film on the outermost surfaces was rich in Ti, Zr, and Hf with a large decrease of the Be content (Fig. 6). On the other hand, the passive film on the outermost surfaces contained little Ni (Figs. 8 and 10). According to the formula (8)–formula (13), the standard electrode potentials of Ti, Zr, Hf, Be, Cu, and Ni are:
According to the standard electrode potentials52, the electrode potentials of these elements are lower than the tested Ecorr, except for Cu, indicating that these elements probably spontaneously passivate to form a protective passive film or preferentially dissolve to form free ions (e.g., Ni). In addition, according to the element thermodynamics, for Ti, Zr, Be, and Hf in 3.5 wt. % NaCl solution (pH = 6.4), their Pourbaix diagrams show that TiO2, ZrO2, HfO2, and BeO are oxidized at a given potential and pH value3,52,53. This is consistent with the passive film composition obtained by XPS measurement, but it is completely opposite to Cu and Ni53. Under this condition, Ni is considered to preferentially dissolve54. Therefore, the absence of the Ni component in the passive film is caused by preferential dissolution of Ni53.
From the above EIS and M–S test results, the traditional point defect model (PDM) can be used to describe corrosion of the HE-BMGs in NaCl solution to explain the corrosion mechanism of the alloy from the perspective of kinetics55,56. Reaction (14) shows that cation vacancies are generated from the metal cations Ti, Zr, Be, Hf, Ni, and Cu at the film/solution interface and migrate to the matrix/film interface. Through Reaction (15) at the matrix/film interface, the cation vacancies are then consumed by combining with metal atoms, which represents the dissolution process of the passive film. Reactions (16) and (17) indicate that the anion vacancies are generated at the matrix/film interface and consumed at the film/solution interface, which indicates the formation process of the passive film. Reaction (18), which is related to dissolution, eventually causes destruction of the film.
where MM is a metal cation, m is a metal atom, OO is an oxygen ion, \(V_{{{\mathrm{M}}}}^{{{\mathrm{n}}}}\) is a cation vacancy, and \(V_{{{\mathrm{O}}}}^ -\) is an anion vacancy. Based on analysis with the PDM, a schematic of the evolution of the passive film is shown in Fig. 11. According to the PDM model, formation of the passive film at the matrix/film interface and the dissolution process of the passive film at the film/solution interface will reach a dynamic equilibrium, which is determined by the transfer process of electrons, metal cations, and vacancies at the interface55,56. Formation of the passive film depends on the chemical stability of MOn/2 in NaCl. However, when the obtained hydroxides are dense and stable, hydrolysis of the free metal cations also has a positive effect on formation and growth of the passive film3. Thus, the thermodynamic stability of the alloying elements in the electrolyte solution has an important influence on the characteristics of the passive film.
The difference of the corrosion behavior of the three HE-BMGs comes from the difference in the Ni and Cu contents. The effect of Ni on Ti- and Zr-based BMGs has been discussed in previous studies. Li et al.57 studied the pitting corrosion kinetics of Zr60Ni25Al15 and Zr60Cu25Al15 in NaCl solution, and under their test conditions, the three components of Zr60Ni25Al15 were all present in the active dissolution state. In contrast, for Zr60Cu25Al15, only Zr and Al were in active dissolution, so the difference determines whether selective dissolution occurs. Gu et al.53 studied the effects of Ni, Al, and Fe on the corrosion behavior of Ti–Zr–Be BMG, and Ni was not detected on the surface of the passive film. They suggested that Ni preferentially dissolves at the film/solution interface to promote formation of cation vacancies and promote formation of a stable passive film. This is consistent with the result that Ni was not detected on the outermost surface by XPS (Fig. 8) and the TEM test (Fig. 10). According to the preferential dissolution process of Ni described in the above discussion, it will promote formation of cation vacancies and contribute to generation of metal cations, leading to enrichment of Ti and Zr in the passive film. Conversely, because addition of Ni will result in a decrease in the Be content in the passive film, while Be and BeO will decrease the stability of the passive film in NaCl solution, the decrease of the Be content will improve the corrosion behavior49,58.
According to the Pourbaix diagram, Cu can also form CuO in the passive film52. This is consistent with the XPS test results in Fig. 9, which means that Cu will fiercely compete with the other metals for the cation vacancies and bonding with oxygen. As shown in Table 2, the Rp value reflects the migration resistance of the cation and anion vacancies53. In this HE-BMG system, the atomic radius of Cu (0.128 nm) is significantly smaller than those of the favorable elements Ti (0.146 nm), Zr (0.160 nm), and Hf (1.58 nm), which means that Cu more easily migrates and combines with oxygen. This enhances the competitiveness of Cu53, but it also aggravates dissolution of Cu and deteriorates the corrosion behavior. With increasing Cu content, the Rp value gradually decreases, which indicates deterioration of the corrosion behavior.
Owing to the difference of the elements in the passive film, the affinity with Cl− may also be different. For example, Ti, Zr, and Hf do not greatly react with Cl− in neutral solution, and they can only form solid complexes, such as ZrCl4, TiCl4, and HfCl4 complexes. By contrast, Cu readily reacts with Cl−, forming large amounts of soluble and insoluble precipitates and complexes28. Cu generates the chlorinated complex CuCl2−28, which directly results in instability and thinning of the passive film. In addition, previous studies have found that, especially during growth of the pits or when a passive film with a weaker material grows on physical defects and uneven areas28, local selective dissolution of Ti and Zr makes the surface locally rich in Cu, which easily interacts with Cl− to generate CuCl complexed species that easily hydrolyze in the pits to form Cu2O, which is then deposited inside the pits59. However, the formed oxides are porous and have no protective effect, and dissolution of the material and spreading of the pits will continue, leading to an autocatalytic reaction with Cl−60. Schematic diagrams of the pitting mechanisms on the TC and TN samples during potentiodynamic polarization in 3.5 wt. % NaCl solution are shown in Fig. 12.
In summary, addition of Ni makes the atoms in the passive film rearrange and causes the film to be more stable and denser, thereby improving the corrosion behavior.
Influence of the high-entropy effect on corrosion behavior
Compared with the traditional Vit1 BMG, the HE-BMGs showed the obvious characteristic of the high-entropy effect. In this paper, we have discussed the advantages of HE-BMGs and the traditional BMG. Therefore, we compared the corrosion behavior of the TiZrHfBeCu(Ni) HE-BMGs and traditional Vit1 BMG in 3.5 wt. % NaCl solution in this section, and we then compared the influence of the high-entropy effect on the corrosion behavior.
We focus on the specific effect of the high-entropy effect on the corrosion resistance of the alloys. According to the Fig. 1(d) and the previous analysis, the corrosion behavior of the HE-BMGs also seemed to have a certain relationship with the sluggish diffusion. The existence of Ti and Zr is the main reason for passivation of the samples, and dissolution of Cu will cause dissolution of the passive film. Therefore, dissolution of Cu and passivation of Ti and Zr are in a competitive relationship52,61. From the DMA results, Vit1 showed higher atomic mobility, and all of the elements were more active than those of the HE-BMGs. In addition to inhibiting migration of the passivation elements, the high-entropy effect can also inhibit migration of Cu. For TC, the Cu and strong passivation element contents in the alloy were 20 and 40 at. %, respectively, and the change caused by the high-entropy effect was minimal because the Cu content was too high. For TCN, the alloy did not contain Cu, so the formed passive film was relatively stable. However, for Vit1 and TCN, the Cu/(Ti+Zr) ratios were (12.5 at. %)/(55 at. %) and (10 at. %)/(40 at. %), respectively, but the TCN corrosion behavior was better than that of Vit1. Contrary to the study of Tang et al.35, this is because the proportion of Cu for TCN was higher than that for Vit1, and dissolution of Cu was dominant in the competitive process of formation of the passive film. Thus, the TCN alloy with a higher proportion of Cu can reduce the defects of the passive film, inhibit migration of Cu, and inhibit formation of cation vacancies through sluggish diffusion, thereby improving the corrosion behavior. The pitting mechanisms of the TCN and Vit1 samples during potentiodynamic polarization in 3.5 wt. % NaCl, especially the influence of the high-entropy effect on migration of Cu, which can easily explain the influence of the high-entropy effect on the corrosion behavior, are shown in Fig. 13. The dissolution process of the passive film involves migration of ions, electrons, and cation vacancies, and the mobility also affects the speed of the chemical reaction during the dissolution process. In the chemical reaction, the sluggish diffusion of the HE-BMGs leads to a decrease in the migration ability of the atoms, which in turn affects the chemical reaction process62. The existence of Cl− is the main cause of pitting corrosion, and the existence of the high-entropy effect can inhibit diffusion of Cl− to the passive film and matrix, thereby improving the corrosion behavior of the HE-BMGs. The cocktail effect of HE-BMGs also plays a positive role in the process of Ni replacing Cu.
Besides, in HE-BMGs, the cocktail effect is also emphasized majorly because at least five major elements are used to enhance the properties of the materials. Specifically, various elements of the alloy have different properties, and the interaction between different elements makes the alloy show a composite effect, which emphasizes that some properties of the elements will eventually reflect the impact on macroscopic properties of the alloys4,9,10,63,64. In this paper, the cocktail effect of HE-BMGs also plays a positive role in the process of Ni replacing Cu.
Based on the above discussion, it can be inferred that the high corrosion resistance of the HE-BMGs is because of sluggish diffusion and the cocktail effect. That is, reduction of the atomic mobility caused by sluggish diffusion. First, it will inhibit diffusion of Cu in the HE-BMGs, thereby reducing formation of passive film defects and active dissolution of Cu. Second, it can reduce the dissolution reaction kinetics. Third, it can inhibit inward diffusion of Cl−. A series of electrochemical measurements confirmed this conclusion. Therefore, this study provides a mechanism to explain the corrosion behavior of HE-BMGs. However, attention needs to be paid to the corrosion mechanism in the actual corrosion process, which is more complicated. The high-entropy effect affects the corrosion behavior of alloys, but it does not play a key and decisive role35, so it requires more extensive investigation.
Methods
Preparation of samples
Metal ingots with purity of 99.9 wt. % were used as the raw materials. The master alloy ingots were prepared in a water-cooled copper mold crucible under an argon atmosphere using a high-vacuum arc induction arc melting apparatus. The ingots were re-melted five times to ensure chemical homogeneity. The HE-BMGs Ti20Zr20Hf20Be20Cu20 (TC), Ti20Zr20Hf20Be20Cu10Ni10 (TCN), and Ti20Zr20Hf20Be20Ni20 (TN), and the traditional BMG Vit1 Zr41.2Ti13.8Ni10Cu12.5Be22.5 with diameter of 10 mm were prepared by copper mold casting.
Microstructure characterization
The microstructures of the as-cast samples were determined by X-ray diffraction (XRD-7000S, Cu-Kα radiation). The target material was a copper target, the scanning range (2θ) was 10°–90°, and the scanning speed was 15°/min. In this study, differential scanning calorimetry (DSC; NETZSCH STA 449C) was performed to analyze the thermodynamic parameters of the alloys. Under protection of an argon atmosphere, the alloy was heated from room temperature to 873 K at a heating rate of 20 K min−1.
Dynamic mechanical analysis
To investigate the atomic mobility of the samples, dynamic mechanical analysis (DMA; TA DMA Q800) was performed under sinusoidal stress with a fixed frequency of 1 Hz to the sample and heating from room temperature to 873 K at a heating rate of 5 K min−1. The size of the sample was 30 mm × 1 mm × 0.5 mm, and all of the tests were performed under an argon atmosphere to prevent oxidation.
Electrochemical characterization
For electrochemical measurement, the sample was cut to a diameter of 10 mm and a thickness of 5 mm. The surface of the sample was then polished with #400–#2000 silicon carbide sandpaper, polished with aluminum oxide, cleaned with acetone, ethanol, and de-ionized water, and finally dried in a drying oven for 3 h. All of the electrochemical measurements were performed with an electrochemical workstation (CS 310H, Corrtest) using a traditional three-electrode electrochemical system with platinum mesh as the auxiliary electrode, a saturated calomel electrode (SCE) as the reference electrode, and the sample as the working electrode. The electrolyte was 3.5 wt. % NaCl solution, and all of the electrochemical measurements were performed at room temperature. Before any of the electrochemical measurements were taken, the working electrode was reductively polarized at −1 VSCE for 3 min to clean the surface of the alloy. Before the electrochemical impedance spectroscopy (EIS) and potentiodynamic polarization tests, the sample was first immersed in the solution for 30 min to obtain a stable open-circuit potential (OCP). The frequency range of EIS was 0.01–105 Hz, and the tested voltage was the stable voltage value after 30 min of OCP stabilization. The voltage range of the potentiodynamic polarization test was −0.5–1.2 VSCE, and the scanning speed was 1 mV s−1. To investigate the properties of the material’s passive film, the sample was first soaked in the solution for 3 h, and then a Mott–Schottky test of the sample was performed at a frequency of 1000 Hz. To ensure the accuracy of the test, each electrochemical measurement was repeated three times.
Surface morphologies
Scanning electron microscopy (SEM; JSM-7600F) was performed to observe the surface morphology of the sample after EIS. The energy spectrum analyzer (EDS) that came with the instrument was used to perform element detection before and after corrosion.
Characterization of the passive film
X-ray photoelectron spectroscopy (XPS; Axis-ultra DLD-600W, SHIMADUS) was performed to obtain information about the passive film. The samples were immersed in the solution for 2 days to form a stable passive layer on the surface of the sample. Before the tests, absolute ethanol and de-ionized water were used to remove the residual corrosion liquid from the surface, and Ar+ (30 s) was used to remove the surface contaminants. The charge correction method is corrected by the charge neutralization gun built into the gold conducting device, and the band pass energy is 40 eV. XPSPEAK software was used to fit the XPS curves of the XPS test results. The cross-sectional structure of the passive film formed by the sample at a stable OCP for 3600 s was observed by high-resolution transmission electron microscopy (HRTEM, FEI Titan G260-300). The TEM samples were fabricated by focused ion beam (FIB, FEI Helios 450S).
Data availability
All data needed to evaluate the conclusions in the paper are present in the paper. Additional data related to this paper are available from the corresponding author upon reasonable request.
References
Gu, J., Shao, Y. & Yao, K. The novel Ti-based metallic glass with excellent glass forming ability and an elastic constant dependent glass forming criterion. Materialia 8, 100433 (2019).
Gu, J. et al. Centimeter-sized Ti-rich bulk metallic glasses with superior specific strength and corrosion resistance. J. Non-Cryst. Solids 512, 206–210 (2019).
Yu, L. et al. Corrosion behavior of bulk (Zr58Nb3Cu16Ni13Al10)100−xYx (x = 0, 0.5, 2.5 at. %) metallic glasses in sulfuric acid. Corros. Sci. 150, 42–53 (2019).
Yeh, J. W. et al. Nanostructured high-entropy alloys with multiple principal elements: novel alloy design concepts and outcomes. Adv. Eng. Mater. 6, 299–303 (2004).
Sun, S. J., Tian, Y. Z., Lin, H. R., Wang, Z. J. & Zhang, Z. F. Revisiting the role of prestrain history in the mechanical properties of ultrafine-grained CoCrFeMnNi high-entropy alloy. Mater. Sci. Eng.: A 801, 140398 (2021).
Wang, Y., Zhang, M., Jin, J., Gong, P. & Wang, X. Oxidation behavior of CoCrFeMnNi high entropy alloy after plastic deformation. Corros. Sci. 163, 108285 (2020).
Wang, Y. et al. Effect of the grain size on the corrosion behavior of CoCrFeMnNi HEAs in a 0.5 M H2SO4 solution. J. Alloy. Compd. 858, 157712 (2020).
Ma, L., Wang, L., Zhang, T. & Inoue, A. Bulk glass formation of Ti-Zr-Hf-Cu-M (M = Fe, Co, Ni) alloys. Mater. Trans. 43, 277–280 (2002).
Gao, X. Q. et al. High mixing entropy bulk metallic glasses. J. Non-Cryst. Solids 357, 3557–3560 (2011).
Wang, W. H. High-entropy metallic glasses. JOM 66, 2067–2077 (2014).
Gong, P. et al. Influence of deep cryogenic cycling on the rejuvenation and plasticization of TiZrHfBeCu high-entropy bulk metallic glass. Mater. Sci. Eng.: A 797, 140078 (2020).
Ding, H. Y. & Yao, K. F. High entropy Ti20Zr20Cu20Ni20Be20 bulk metallic glass. J. Non-Cryst. Solids 364, 9–12 (2013).
Ding, H. Y., Shao, Y., Gong, P., Li, J. F. & Yao, K. F. A senary TiZrHfCuNiBe high entropy bulk metallic glass with large glass-forming ability. Mater. Lett. 125, 151–153 (2014).
Zhao, S. F., Yang, G. N., Ding, H. Y. & Yao, K. F. A quinary Ti-Zr-Hf-Be-Cu high entropy bulk metallic glass with a critical size of 12 mm. Intermetallics 61, 47–50 (2015).
Zhao, S. F. et al. Pseudo-quinary Ti20Zr20Hf20Be20(Cu20−xNix) high entropy bulk metallic glasses with large glass forming ability. Mater. Des. 87, 625–631 (2015).
Huo, J. et al. The magnetocaloric effect of Gd-Tb-Dy-Al-M (M = Fe, Co and Ni) high-entropy bulk metallic glasses. Intermetallics 58, 31–35 (2015).
Li, J. et al. Distinct spin glass behavior and excellent magnetocaloric effect in Er20Dy20Co20Al20Re20 (Re = Gd, Tb and Tm) high-entropy bulk metallic glasses. Intermetallics 96, 90–93 (2018).
Li, C. et al. New ferromagnetic (Fe1/3Co1/3Ni1/3)80(P1/2B1/2)20 high entropy bulk metallic glass with superior magnetic and mechanical properties. J. Alloy. Compd. 791, 947–951 (2019).
Takeuchi, A. et al. Pd20Pt20Cu20Ni20P20 high-entropy alloy as a bulk metallic glass in the centimeter. Intermetallics 19, 1546–1554 (2011).
Xu, Y., Li, Y., Zhu, Z. & Zhang, W. Formation and properties of Fe25Co25Ni25(P, C, B, Si)25 high-entropy bulk metallic glasses. J. Non-Cryst. Solids 487, 60–64 (2018).
Li, Y., Zhang, W. & Qi, T. New soft magnetic Fe25Co25Ni25(P, C, B)25 high entropy bulk metallic glasses with large supercooled liquid region. J. Alloy. Compd. 693, 25–31 (2017).
Qi, T. et al. Soft magnetic Fe25Co25Ni25(B, Si)25 high entropy bulk metallic glasses. Intermetallics 66, 8–12 (2015).
Jin, X. et al. CoCrFeMnNi high-entropy alloy powder with excellent corrosion resistance and soft magnetic property prepared by gas atomization method. Materwiss. Werksttech. 50, 837–843 (2019).
Rogal, A., Kalita, D., Tarasek, A., Bobrowski, P. & Czerwinski, F. Effect of SiC nano-particles on microstructure and mechanical properties of the CoCrFeMnNi high entropy alloy. J. Alloy. Compd. 708, 344–352 (2017).
Kim, J. et al. Utilization of high entropy alloy characteristics in Er-Gd-Y-Al-Co high entropy bulk metallic glass. Acta Mater. 155, 350–361 (2018).
Wang, Y. B. et al. Biodegradable CaMgZn bulk metallic glass for potential skeletal application. Acta Biomater. 7, 3196–3208 (2011).
Gong, P. et al. Room temperature nanoindentation creep behavior of TiZrHfBeCu(Ni) high entropy bulk metallic glasses. Mater. Sci. Eng.: A 688, 174–179 (2017).
Liens, A. et al. Effect of alloying elements on the microstructure and corrosion behavior of TiZr-based bulk metallic glasses. Corros. Sci. 177, 108854 (2020).
Coimbrão, D. D. et al. Corrosion properties of amorphous, partially, and fully crystallized Fe68Cr8Mo4Nb4B16 alloy. J. Alloy. Compd. 826, 154123 (2020).
Luo, H. et al. Influence of carbon on the corrosion behaviour of interstitial equiatomic CoCrFeMnNi high-entropy alloys in a chlorinated concrete solution. Corros. Sci. 163, 108287 (2020).
Shi, Y. et al. Homogenization of al CoCrFeNi high-entropy alloys with improved corrosion resistance. Corros. Sci. 133, 120–131 (2018).
Li, Y. et al. New FeNiCrMo(P, C, B) high-entropy bulk metallic glasses with unusual thermal stability and corrosion resistance. J. Mater. Sci. Technol. 43, 32–39 (2020).
Peker, A. & Johnson, W. L. A highly processable metallic glass: Zr41.2Ti13.8Cu12.5Ni10.0Be22.5. Appl. Phys. Lett. 63, 2342–2344 (1993).
Guo, S., Hu, Q., Ng, C. & Liu, C. T. More than entropy in high-entropy alloys: forming solid solutions or amorphous phase. Intermetallics 41, 96–103 (2013).
Tang, J. et al. Effect of atomic mobility on the electrochemical properties of a Zr58Nb3Cu16Ni13Al10 bulk metallic glass. Electrochim. Acta 267, 222–233 (2018).
Pelletier, J. M. Influence of structural relaxation on atomic mobility in a Zr41.2Ti13.8Cu12.5Ni10.0Be22.5 (Vit1) bulk metallic glass. J. Non-Cryst. Solids 354, 3666–3670 (2008).
Qiao, J. C., Pelletier, J. M., Kou, H. C. & Zhou, X. Modification of atomic mobility in a Ti-based bulk metallic glass by plastic deformation or thermal annealing. Intermetallics 28, 128–137 (2012).
Fabas, A. et al. Metal dusting corrosion of austenitic alloys at low and high pressure with the effects of Cr, Al, Nb and Cu. Corros. Sci. 123, 310–318 (2017).
Xu, Z. et al. Corrosion resistance enhancement of CoCrFeMnNi high-entropy alloy fabricated by additive manufacturing. Corros. Sci. 177, 108954 (2020).
Brug, G. J., van den Eeden, A. L. G., Sluyters-Rehbach, M. & Sluyters, J. H. The analysis of electrode impedances complicated by the presence of a constant phase element. J. Electroanal. Chem. Interfacial Electrochem. 176, 275–295 (1984).
Hsu, C. H. & Mansfeld, F. Technical note: concerning the conversion of the constant phase element parameter Y0 into a capacitance. Corrosion 57, 747–748 (2001).
Ogle, K., Mokaddem, M. & Volovitch, P. Atomic emission spectroelectrochemistry applied to dealloying phenomena ii. Selective dissolution of iron and chromium during active-passive cycles of an austenitic stainless steel. Electrochim. Acta 55, 913–921 (2010).
Dutta, G., Siddiqui, S., Zeng, H., Carlisle, J. A. & Arumugam, P. U. The effect of electrode size and surface heterogeneity on electrochemical properties of ultrananocrystalline diamond microelectrode. J. Electroanal. Chem. 756, 61–68 (2015).
Gan, Z., Zhang, C., Zhang, Z., Chen, Z. & Liu, L. Crystallization-dependent transition of corrosion resistance of an Fe-based bulk metallic glass under hydrostatic pressures. Corros. Sci. 179, 109098 (2021).
Li, Z., Zhang, C. & Liu, L. Wear behavior and corrosion properties of Fe-based thin film metallic glasses. J. Alloy. Compd. 650, 127–135 (2015).
Shuang, S., Ding, Z. Y., Chung, D., Shi, S. Q. & Yang, Y. Corrosion resistant nanostructured eutectic high entropy alloy. Corros. Sci. 164, 108315 (2020).
Hamadou, L., Kadri, A. & Benbrahim, N. Characterisation of passive films formed on low carbon steel in borate buffer solution (pH 9.2) by electrochemical impedance spectroscopy. Appl. Surf. Sci. 252, 1510–1519 (2005).
Zhang, L. M. et al. Thermally induced structure evolution on the corrosion behavior of Al-Ni-Y amorphous alloys. Corros. Sci. 144, 172–183 (2018).
Gu, J., Shao, Y., Bu, H., Jia, J. & Yao, K. An abnormal correlation between electron work function and corrosion resistance in Ti-Zr-Be-(Ni/Fe) metallic glasses. Corros. Sci. 165, 108392 (2020).
Zhou, Y. & Niinomi, M. Passive films and corrosion resistance of Ti-Hf alloys in 5% HCl solution. Surf. Coat. Technol. 204, 180–186 (2009).
Hu, Y., Huang, S., Liu, S. & Pan, W. A corrosion-resistance super-hydrophobic TiO2 film. Appl. Surf. Sci. 258, 7460–7464 (2012).
Pourbaix, M. Atlas of electrochemical equilibria in aqueous solution. J. Electroanal. Chem 13, 471 (1967).
Gu, J., Lu, S., Shao, Y. & Yao, K. Segregating the homogeneous passive film and understanding the passivation mechanism of Ti-based metallic glasses. Corros. Sci. 178, 109078 (2021).
Bojinov, M. et al. The mechanism of transpassive dissolution of Ni-Cr alloys in sulphate solutions. Electrochim. Acta 45, 2791–2802 (2000).
Macdonald, D. D. The history of the point defect model for the passive state: a brief review of film growth aspects. Electrochim. Acta 56, 1761–1772 (2011).
Macdonald, D. D. The point defect model for the passive state. J. Electrochem. Soc. 139, 3434–3449 (1992).
Li, Y. & Xu, J. Differences in pitting growth kinetics between Zr60Ni25Al15 and Zr60Cu25Al15 metallic glasses exposed to a 0.6 M NaCl aqueous solution. Corros. Sci. 128, 73–84 (2017).
Gu, J., Shao, Y., Shi, L., Si, J. & Yao, K. Novel corrosion behaviours of the annealing and cryogenic thermal cycling it treated Ti-based metallic glasses. Intermetallics 110, 106467 (2019).
Green, B. A. et al. A study of the corrosion behaviour of Zr50Cu40−xAl10Pdx bulk metallic glasses with scanning auger microanalysis. Corros. Sci. 50, 1825–1832 (2008).
Kamachi Mudali, U., Baunack, S., Eckert, J., Schultz, L. & Gebert, A. Pitting corrosion of bulk glass-forming zirconium-based alloys. J. Alloy. Compd. 377, 290–297 (2004).
Jayaraj, J., Gebert, A. & Schultz, L. Passivation behaviour of structurally relaxed Zr48Cu36Ag8Al8 metallic glass. J. Alloy. Compd. 479, 257–261 (2009).
Ding, J. et al. High entropy effect on structure and properties of (Fe, Co, Ni, Cr)-B amorphous alloys. J. Alloy. Compd. 696, 345–352 (2017).
Yeh, J. Alloy design strategies and future trends in high-entropy alloys. JOM 65, 1759–1771 (2013).
Ranganathan, S. Alloyed pleasures: multimetallic cocktails. Curr. Sci. 85, 1404–1406 (2003).
Acknowledgements
This work was financially supported by the National Key R&D Program of China (No. 2021YFE0100600), the National Science Fund for Distinguished Young Scholars (Grant No. 51725504), the Guangdong Basic and Applied Basic Research Foundation (Grant No. 2020A1515011524), and the Fundamental Research Funds for the Central Universities (Grant No. 2172018KFYRCPT001). The authors are also grateful for carrying out the DSC and XPS from the Analytical and Testing Center of Huazhong University of Science and Technology. We thank Liwen Bianji (Edanz) (www.liwenbianji.cn/) for editing the English text of a draft of this paper. Special thanks for Dr. Peng Zhou’s XPS operating.
Author information
Authors and Affiliations
Contributions
P.G. designed the experiments, analyzed the results, and wrote the paper. D.L.W., C.Z., and Y.W. contributed to the experiments of the DSC, XRD, DMA, SEM, XPS, TEM, and its data processing. Z.J.-S., M.Z., K.F.Y., and X.Y.W. revised the paper. All the authors contributed to the interpretation of the experimental data.
Corresponding authors
Ethics declarations
Competing interests
The authors declare no competing interests.
Additional information
Publisher’s note Springer Nature remains neutral with regard to jurisdictional claims in published maps and institutional affiliations.
Rights and permissions
Open Access This article is licensed under a Creative Commons Attribution 4.0 International License, which permits use, sharing, adaptation, distribution and reproduction in any medium or format, as long as you give appropriate credit to the original author(s) and the source, provide a link to the Creative Commons license, and indicate if changes were made. The images or other third party material in this article are included in the article’s Creative Commons license, unless indicated otherwise in a credit line to the material. If material is not included in the article’s Creative Commons license and your intended use is not permitted by statutory regulation or exceeds the permitted use, you will need to obtain permission directly from the copyright holder. To view a copy of this license, visit http://creativecommons.org/licenses/by/4.0/.
About this article
Cite this article
Gong, P., Wang, D., Zhang, C. et al. Corrosion behavior of TiZrHfBeCu(Ni) high-entropy bulk metallic glasses in 3.5 wt. % NaCl. npj Mater Degrad 6, 77 (2022). https://doi.org/10.1038/s41529-022-00287-5
Received:
Accepted:
Published:
Version of record:
DOI: https://doi.org/10.1038/s41529-022-00287-5
This article is cited by
-
A Review on Corrosion Characteristics of Bulk Metallic Glasses
Journal of Materials Engineering and Performance (2026)
-
Achieving electrochemical and mechanical stability in a lightweight titanium alloy
Nature Communications (2025)
-
Improvement of pitting corrosion resistance of AISI type SS 304L in chloride medium
Bulletin of Materials Science (2025)
-
Exceptional Thermal Stability and Properties of Amorphous High-Entropy SiNbTaTiZr Thin Films
High Entropy Alloys & Materials (2024)
-
Cu-MOF-derived CuO/NiO/Ni3(VO4)2 composite materials with improved electrochemical performance for supercapacitor
Journal of Materials Science: Materials in Electronics (2023)















