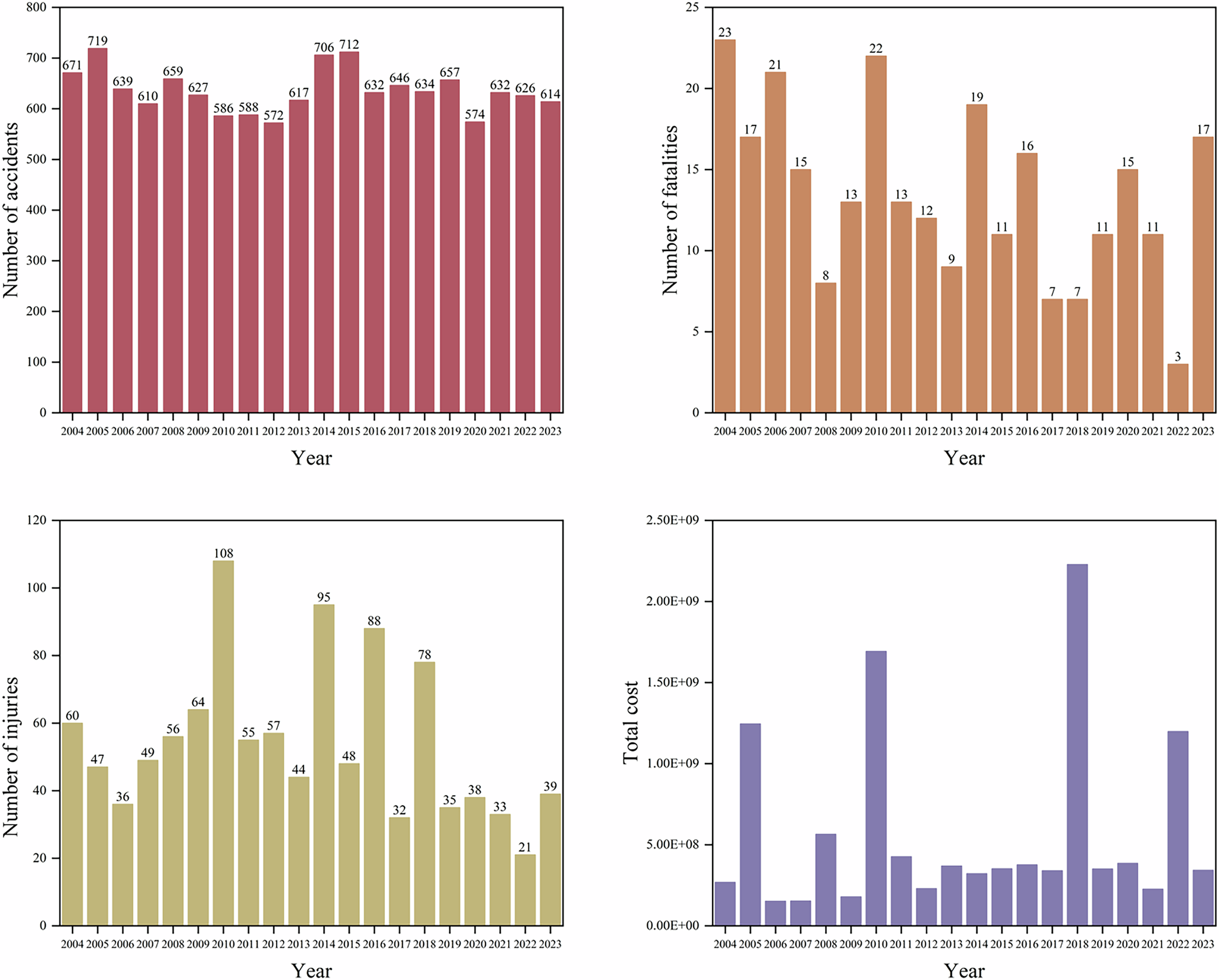
Fig. 1: Pipeline incident statistics from multiple perspectives16.
From: Machine learning methods for predicting residual strength in corroded oil and gas steel pipes

The number of accidents, fatalities, injuries, and total cost of pipelines reported by PHMSA from 2004 to 2023.