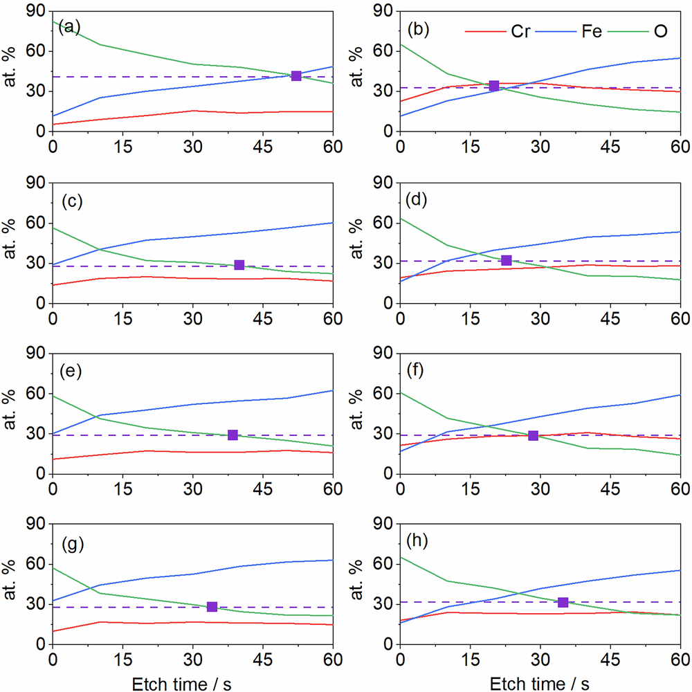
Fig. 5: Atomic percentage of Cr, Fe and O in the passivation film plotted against XPS sputtering time.
From: Influence of multilayer sea sand and Shewanella algae on the corrosion behavior of 316 SS

The surface of 316 SS exhibited four distinct states of marine sand coverage: “(a, b) uncovered, and covered with (c, d) L-type, (e, f) M-type, (g, h) S-type sand. The simulated seawater medium presented two conditions concerning S. algae inoculation: (a, c, e, g) non-inoculated and (b, d, f, h) inoculated with bacteria. The samples were immersed for 7 days.