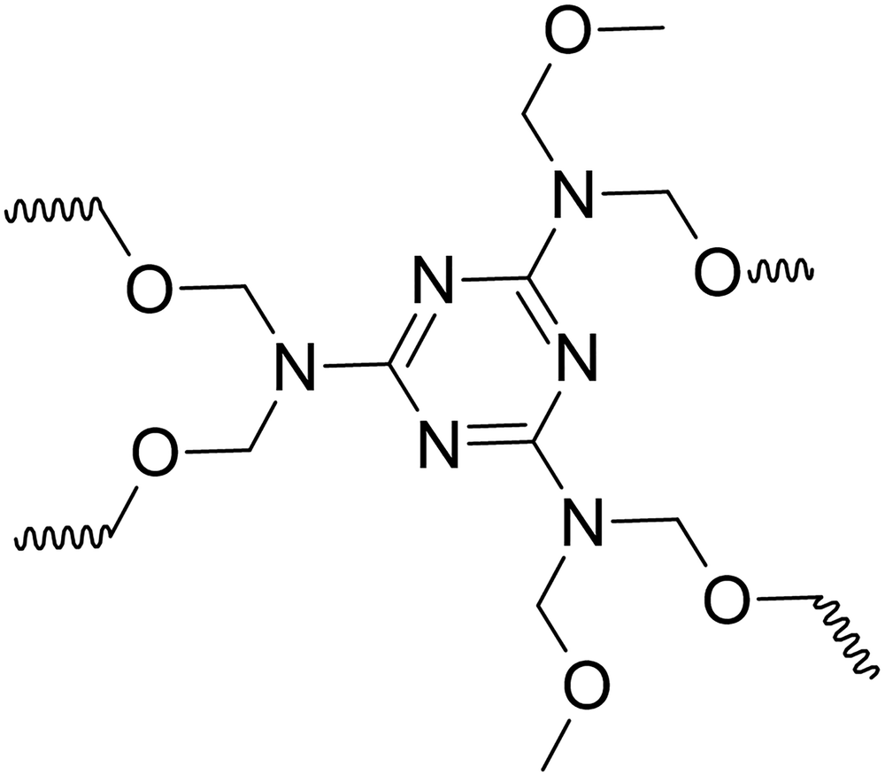
Fig. 1: Schematic of the crosslinked melamine in the coating. | npj Materials Degradation