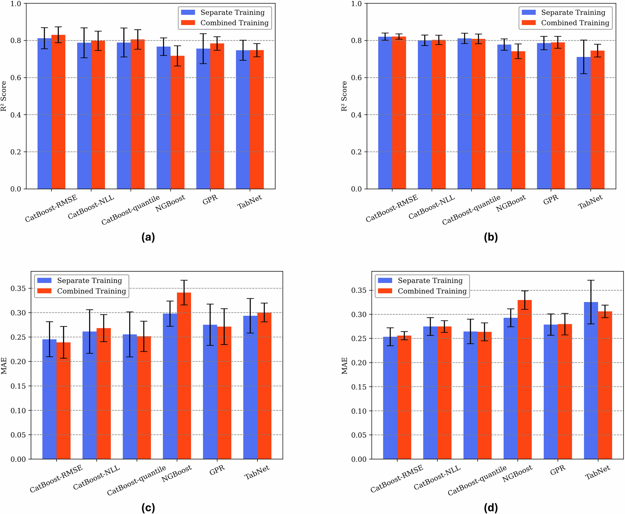
Fig. 4: Performance metrics of the evaluated ML models under separate and combined training modes.

a R² in BWR conditions, b R² in PWR conditions, c MAE in BWR conditions, and d MAE in PWR conditions. Error bars represent standard deviations across cross-validation folds.