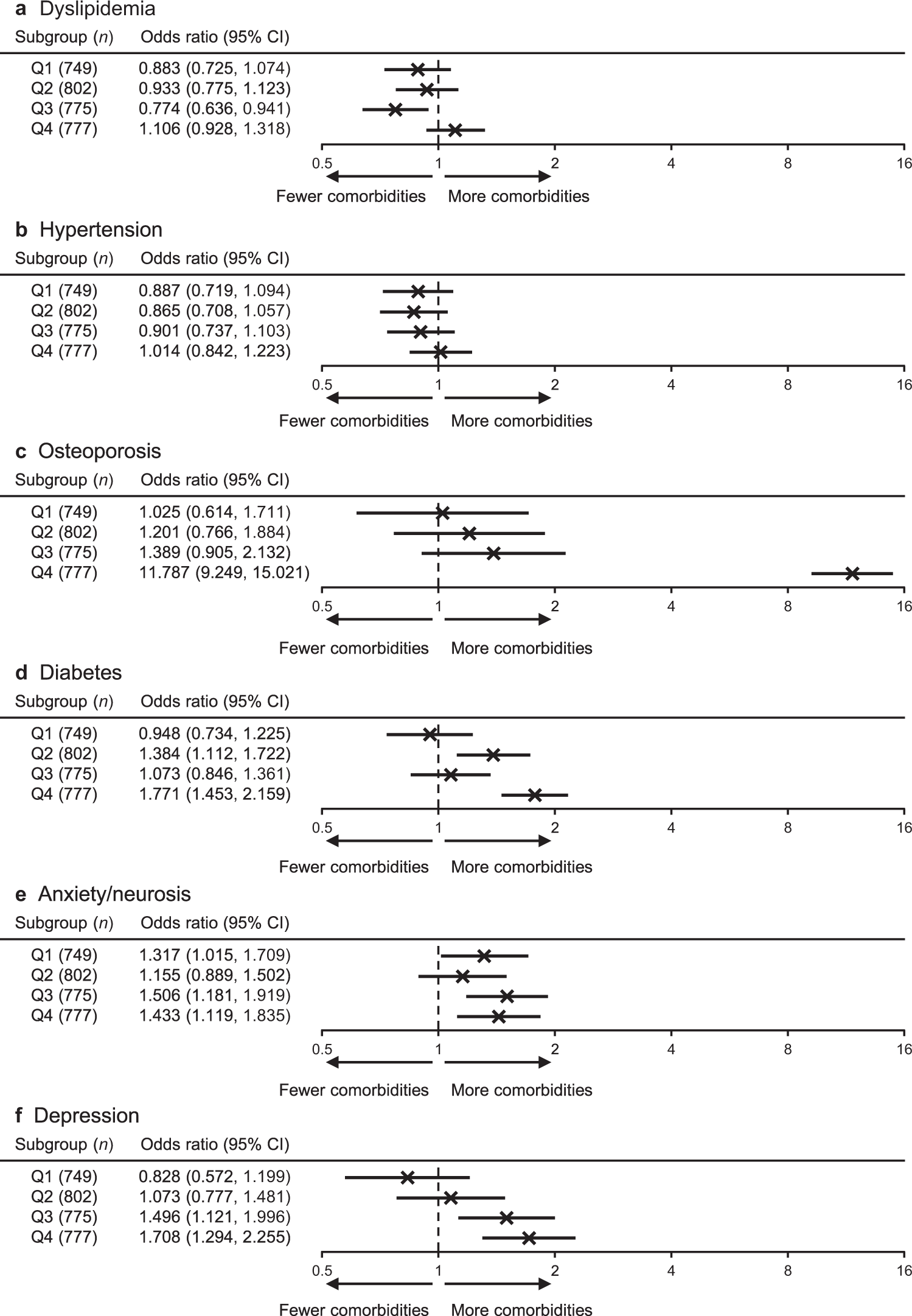
Fig. 4: Adjusted odds ratios of corticosteroids-related comorbidities according to cumulative systemic corticosteroid dosage.
From: Association of low-dosage systemic corticosteroid use with disease burden in asthma

Quartiles shown for a dyslipidemia, b hypertension, c osteoporosis, d diabetes, e anxiety/neurosis, and f depression. CI confidence interval, Q quartile.