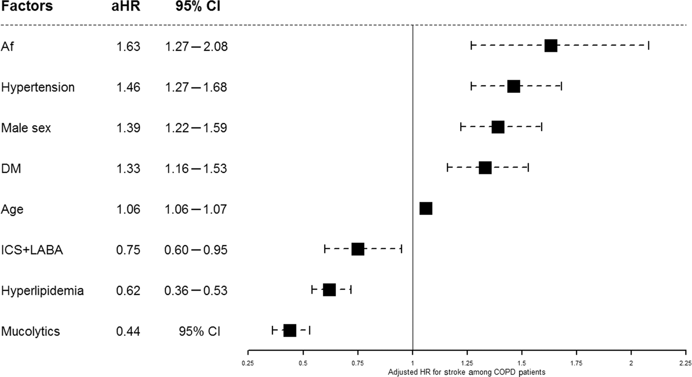
Fig. 3: Cox proportional hazards regression in time-to-event model for stroke risk factors analysis in COPD and allied conditions patients.

Multivariate analysis revealed that age (hazard ratio [HR] = 1.06, 95% confidence interval [CI]: 1.06–1.07, p < 0.001), male sex (HR = 1.39, 95% CI: 1.22–1.59, p < 0.001), hypertension (HR = 1.46, 95% CI: 1.27–1.68, p < 0.001), diabetes mellitus (DM) (HR = 1.46, 95% CI: 1.16–1.53, p < 0.001), and atrial fibrillation (AF) (HR = 1.46, 95% CI: 1.27–2.08, p < 0.001) significantly increased the risk of stroke among patients with COPD and allied conditions. (ICS: inhaled corticosteroid, LABA long-acting inhaled beta-agonists).