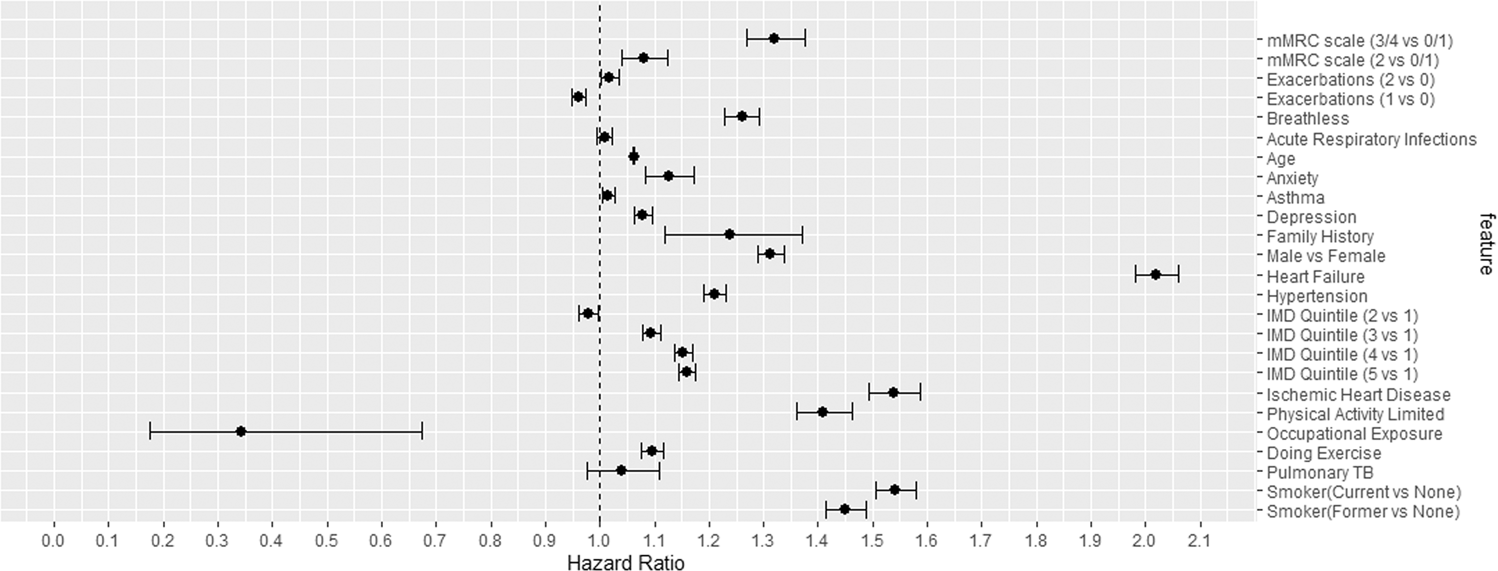
Fig. 4: Hazard ratio of various risk factors.

Hazard ratio of various risk factors of all-cause mortality (within 10 years) for COPD patients with associated 95% confidence intervals (Supplementary information provides the hazard ratios of all the features, and additional details on how to apply the prognostic model to new patient data).