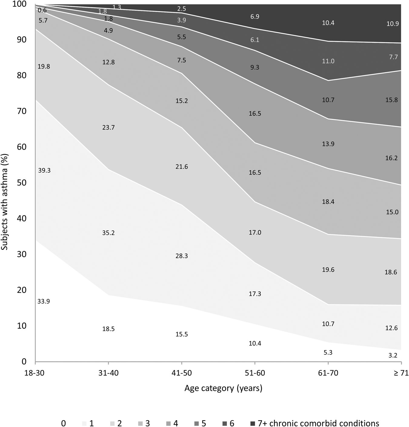
Fig. 2: Frequency of the cumulative number of chronic comorbid conditions in the different age categories in subjects with a self-reported diagnosis of asthma (n = 2387).
From: Chronic comorbid conditions and asthma exacerbation occurrence in a general population sample

The shade of grey represents the total number of comorbid conditions, the exact percentages are shown in the figure.