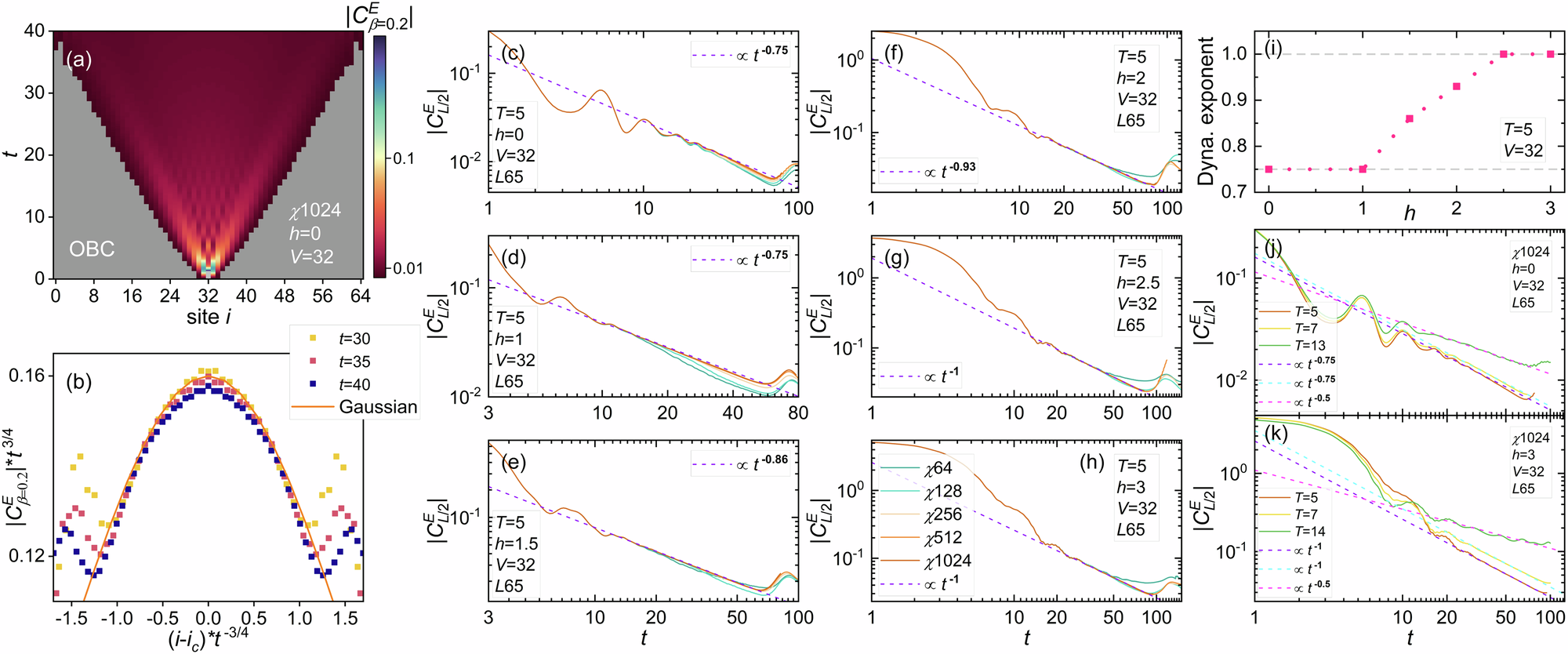
Fig. 4: Purified TEBD results for finite-V and finite-T energy transport of model (1).
From: Superdiffusive to ballistic transport in nonintegrable Rydberg simulator

a–d Focus on anomalous superdiffusion near pure transverse field limit h = 0. e–h Illustrate the realization of ballistic energy transport after enhancing longitudinal field strength to h = 2.5. i Summarizes dynamical exponents of c–h. Impacts from temperature variation are exemplified through (j, k). For explanations, see text.