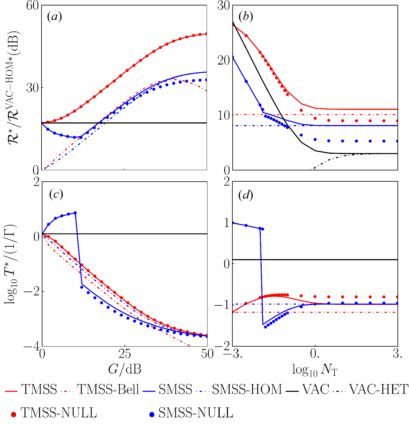
Fig. 7: Quantum advantage comparisons.
From: Quantum-enhanced dark matter detection with in-cavity control: mitigating the Rayleigh curse

a, b Quantum advantage in Fisher information rate over the classical protocol using a vacuum-state source with homodyne measurement (VAC-HOM), with waiting time T optimized; c, d Optimal waiting time T⋆. a, c Plotted versus squeezing gain G in decibel unit, NT = 0.01; b, d Plotted versus noise NT in logarithmic scale, G = 10 dB. For all four cases, ΓτA = 10−4, ΓidlerτA = 10−6. Solid lines are independent of measurement. Dot-dashed lines are for conventional quantum measurements: SMSS-HOM, SMSS source with homodyne measurement; TMSS-Bell, TMSS source with Bell homodyne measurement43,44; VAC-HET, vacuum source with heterodyne measurement. Dots are for our measurement proposal: TMSS/SMSS-NULL, TMSS/SMSS source with nulling receiver measurement. For the nulling receiver, we choose the anti-squeezing gain G⋆ such that the support of the output state is the photon-number basis, which is asymptotically optimal at the limit NT → 049. For large G SMSS-HOM always achieves SMSS-QFI, verified by aymptotic analysis at G → ∞.