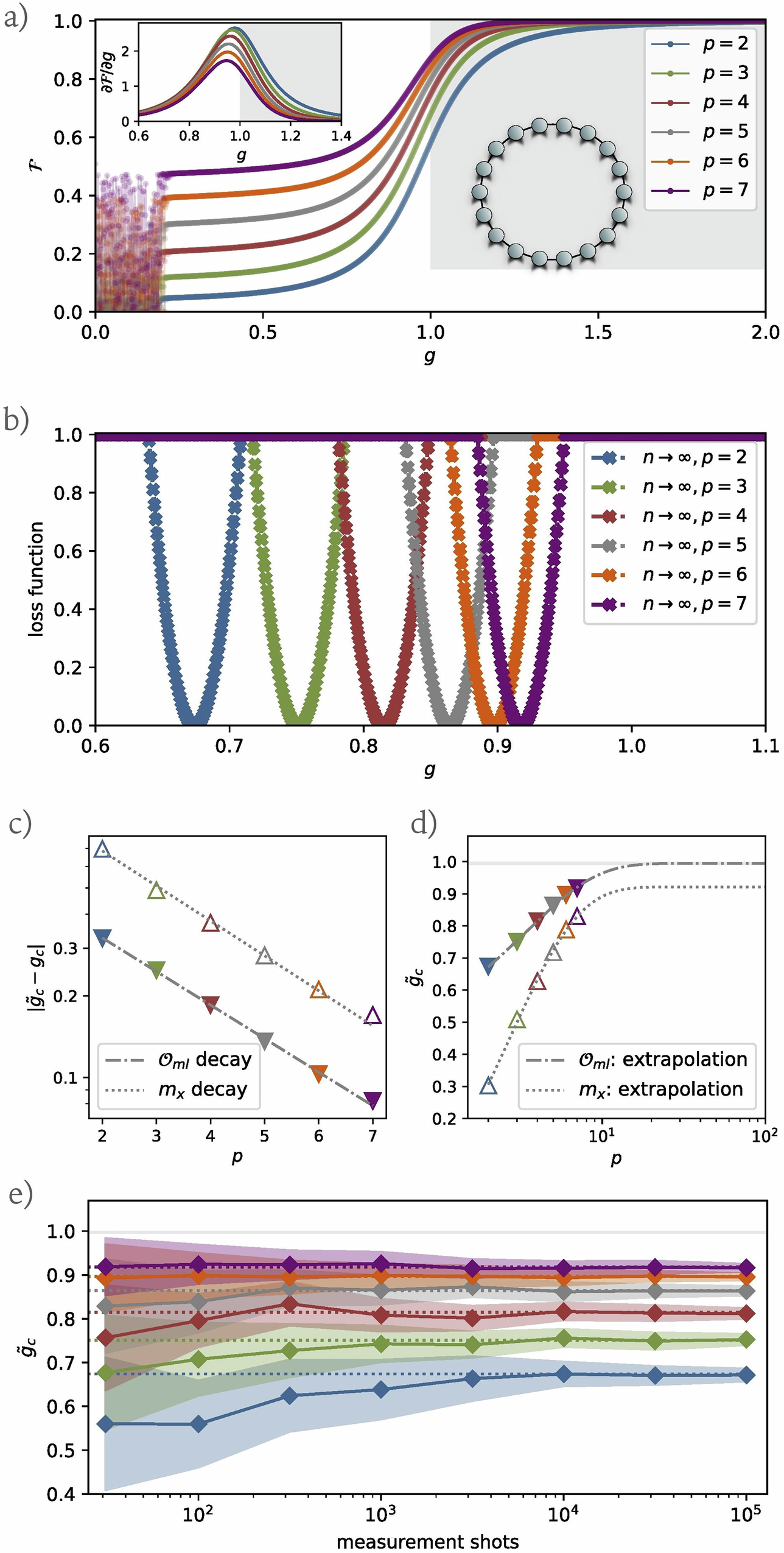
Fig. 3: Results of phase transition detection for the 1D transverse-field Ising model.
From: Unveiling quantum phase transitions from traps in variational quantum algorithms

a The fidelity between optimized states and the true ground states, evaluated across varying p and g values, with the system size fixed at n = 18. The inset shows the fidelity derivatives. b The normalized loss landscape generated by LASSO regression, with the minimum point indicating the predicted phase transition critical point \({\tilde{g}}_{c}(p)\). c The exponential decay trend of the difference between \({\tilde{g}}_{c}\) and the theoretical value gc = 1 as a function p. Hollow triangles represent values derived from x-magnetization and solid triangles denote values from our loss landscape. d Finite-depth exponential extrapolation to estimate the critical point in the thermodynamic limit. The extrapolated values obtained for x-magnetization and our loss landscape are 0.921 ± 0.004 and 0.995 ± 0.002, respectively. e The average and standard deviation (represented by the shaded areas) of the predicted critical point \({\tilde{g}}_{c}\) as a function of the number of shots. In all panels, colours correspond to the different values of p defined in panels (a, b).