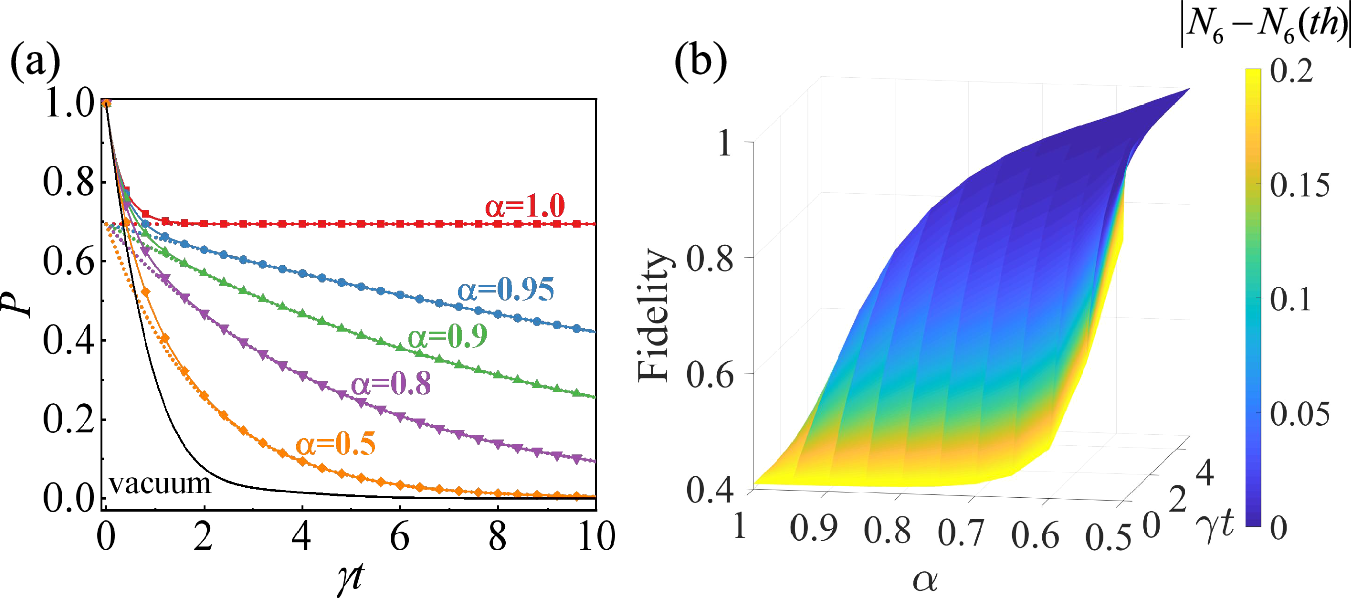
Fig. 2: Effects of incoherent couplings.
From: Deterministic steady-state subradiance within a single-excitation basis

a The numerical calculation of probability P of the system remains in the initial state \(\left\vert r(0)\right\rangle =\left\vert {\mathbf{1}}\right\rangle\) (marks) and our theoretical prediction (dashed lines) under different αs. b The fidelity between the numerical and theoretical states as a function of time and α. The color represents the difference of N6 between the numerical and theoretical states.