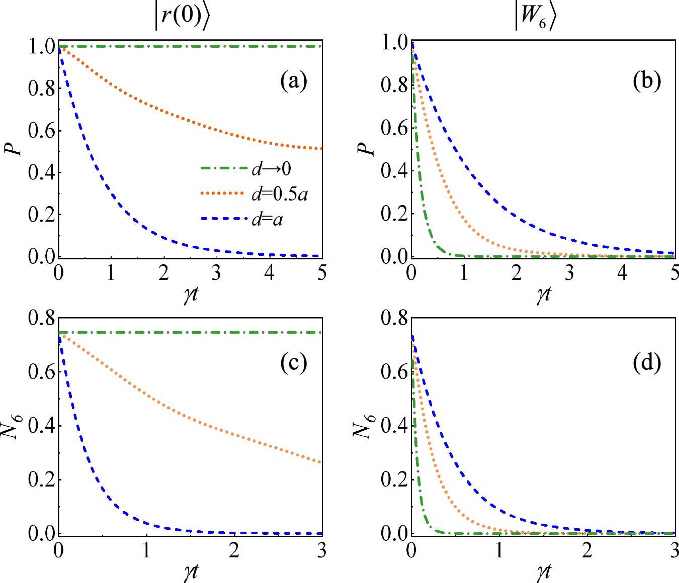
Fig. 5: A comparison of emission dynamics between the autonomous subradiant state \(\left\vert r(0)\right\rangle =\frac{1}{\sqrt{6}}(\left\vert {\boldsymbol{1}}\right\rangle -\left\vert {\boldsymbol{2}}\right\rangle +\left\vert {\boldsymbol{3}}\right\rangle -\left\vert {\boldsymbol{4}}\right\rangle +\left\vert {\boldsymbol{5}}\right\rangle -\left\vert {\boldsymbol{6}}\right\rangle )\) and W-state under different separation distances d = a (dashed blue lines), d = 0.5a (dotted orange lines), and d → 0 (dash-dotted green lines) in a free-space.
From: Deterministic steady-state subradiance within a single-excitation basis

Panels (a) and (b) represent the population dynamics, and (c) and (d) denote the evolution of multipartite entanglement.