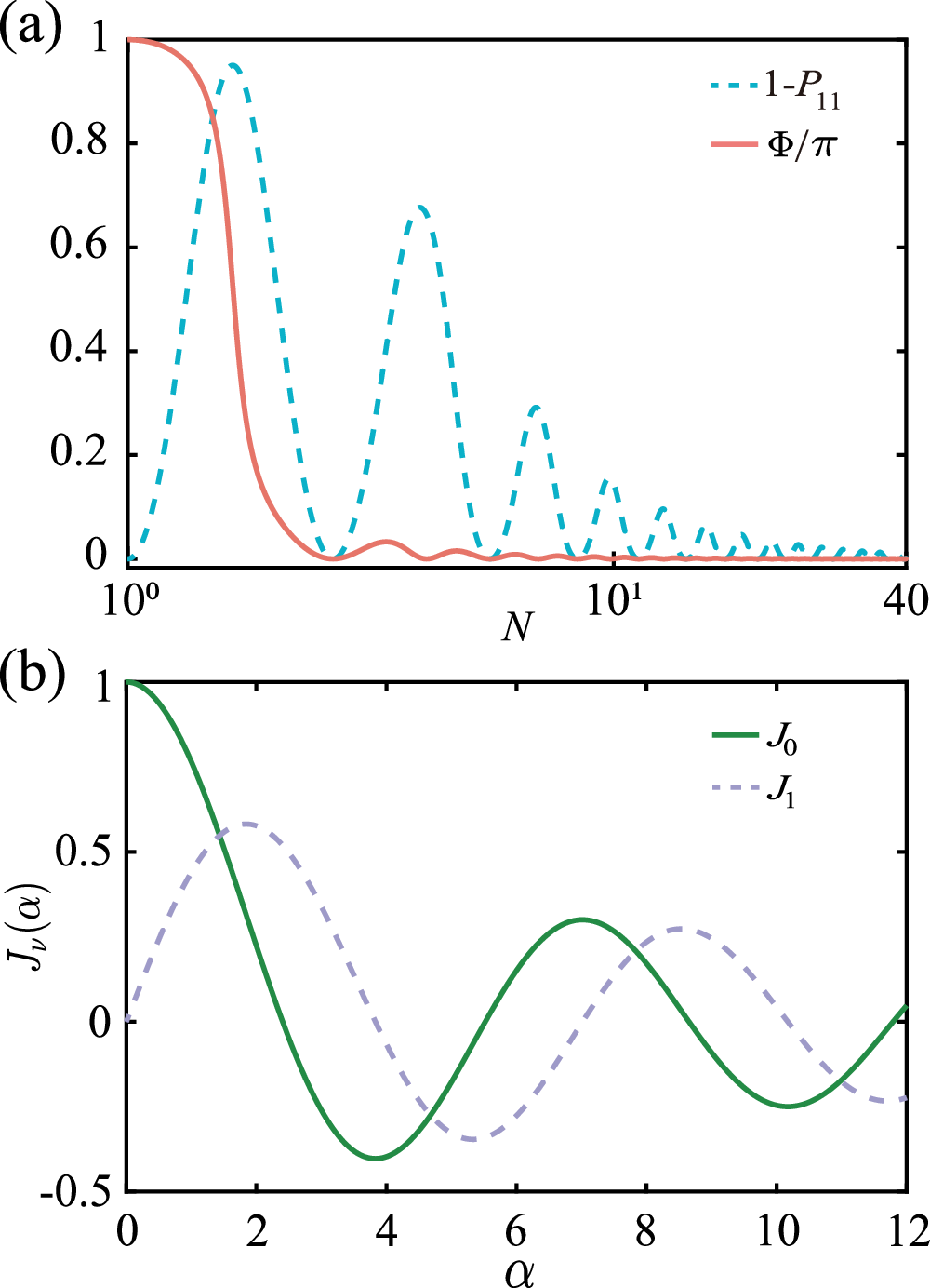
Fig. 3: Schematic diagram of population and phase dynamics in the \(\left\vert 11\right\rangle\) state and the evolution of the Bessel function.
From: Quantum computation via Floquet tailored Rydberg interactions

a Diagram illustrating the variations in population and phase of \(\left\vert 11\right\rangle\) as the ratio N of ∣Ωb(t)∣ to ∣Ωa(t)∣ is altered. b Evolution of the Bessel function of the first kind with respect to the modulation index α, denoting J0 and J1 as the zeroth and first order Bessel functions of the first kind, respectively.