Fig. 4: Schematic representation of gate fidelity fluctuations.
From: Quantum computation via Floquet tailored Rydberg interactions

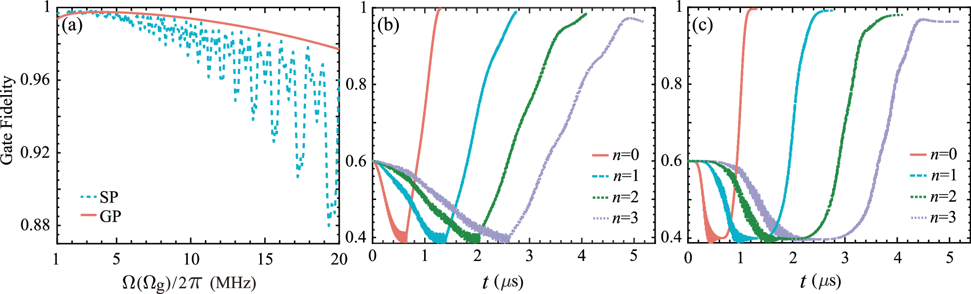
a The average fidelity of the constructed C-Phase gate fluctuates as the square pulse Rabi frequency Ω and the Gaussian pulse maximum amplitude Ωg ranges from 2π × 1 MHz to 2π × 20 MHz when n = 0. b The evolution of the average gate fidelity of the implemented C-Phase gate over time, when n equals 0,1,2,3. The time-independent Rabi frequency Ω = 2π × 3.5 MHz, V = ω0 = 2π × 70.18 MHz, and the gate duration being T = 2π/∣Ωa(t)∣. c The temporal progression of the average gate fidelity for the C-Phase gate utilizing Gaussian soft quantum control when n = 0,1,2,3. The time-dependent Rabi frequency is given by Ωg(t) with the maximum amplitude Ωg = 2π × 8.1 MHz, \({T}_{g}=(-1+a)\pi /| {\Omega }_{g}(t)| {J}_{0}(\alpha )(4a-\sqrt{\pi })\) and a gate time of T = 8Tg. Additionally, V = ω0 = 2π × 70.18 MHz.