Fig. 5: Schematic representation of gate robustness characteristics.
From: Quantum computation via Floquet tailored Rydberg interactions

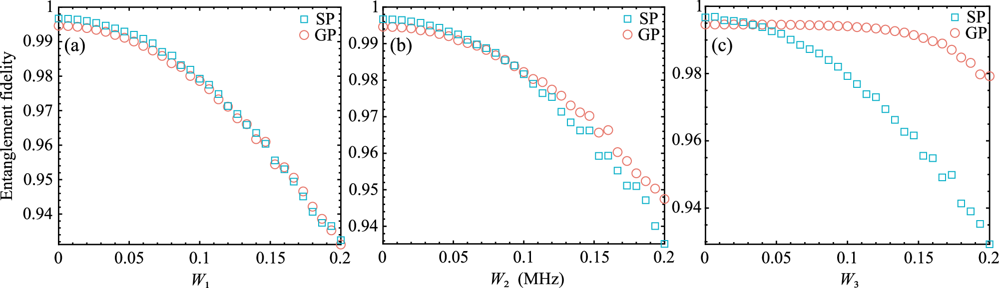
The impact of errors in the a Rabi frequency Ω, b detuning Δ0 and c gate time T on state fidelity is examined using square pulse and Gaussian pulse configurations. The relevant parameters remain consistent with V = ω0 = 2π × 70.18 MHz, Ω = 2π × 3.5 MHz, and the time-dependent Rabi frequency Ωg(t) as previously described. Each point denotes the average of 1001 results obtained by randomly picking 1001 disorders from [−Wk, Wk] with k = 1, 2, and 3 in (a), (b), and (c), respectively.