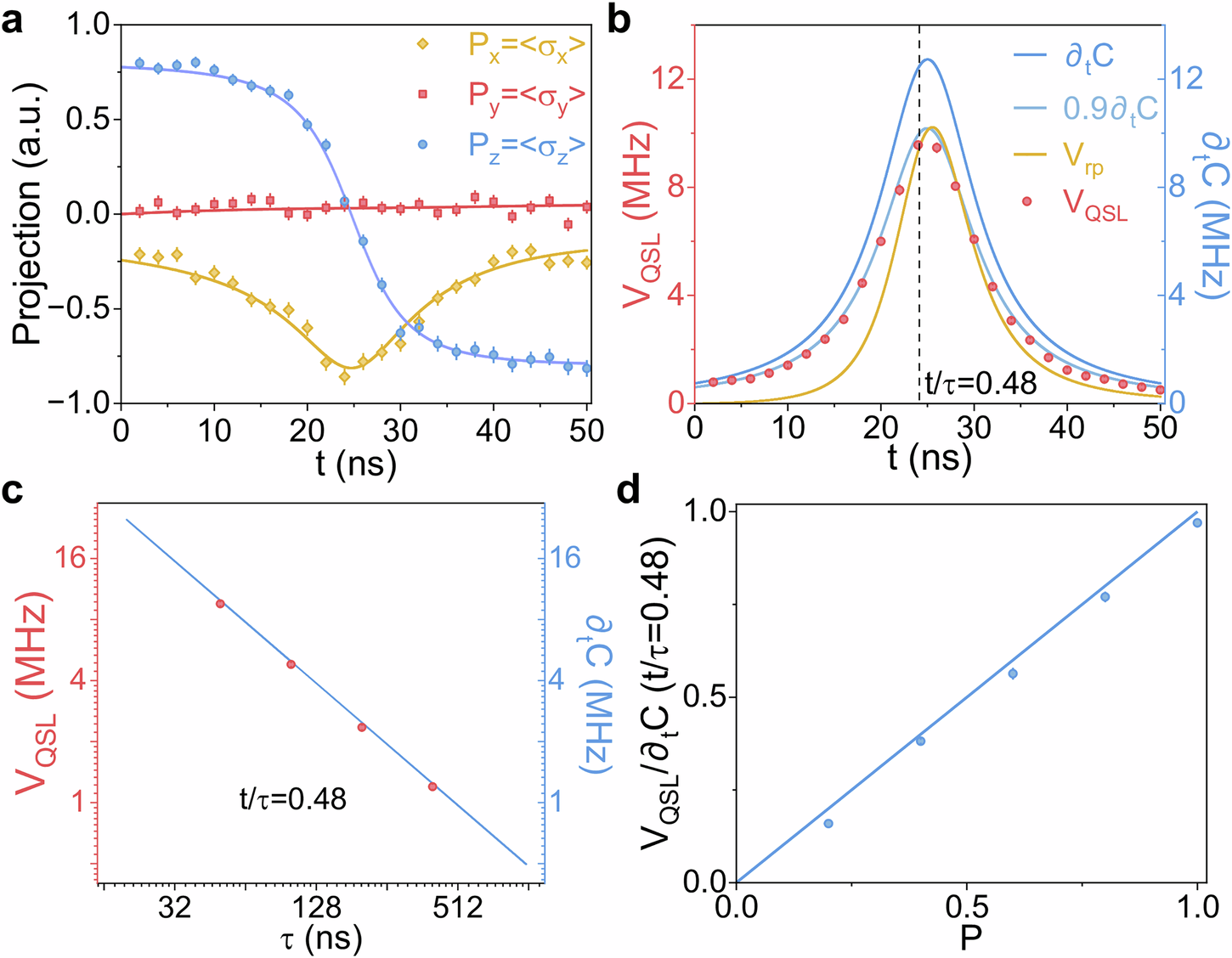
Fig. 3: Trade-off between speed and cost for the TES.
From: Experimental investigation of the trade-off between quantum speed and energy cost

a The TES trajectories with P = 0.9 under the Hamiltonian Ht. b Time evolution of the quantum speed VQSL (red dots) and energy cost rate (solid blue curves, theoretical prediction) of panel a. The gold line denotes the time evolution of quantum speed based on relative purity. c The instantaneous quantum speed (red dots) and energy cost rate (solid blue line, theoretical prediction) of TES with P = 0.9 for t = 0.48τ as a function of different passage times τ. d The normalized quantum speed as a function of the polarization of TES, while keeping the parameters of scan process fixed. The blue dots are experimental results and blue line is theoretical prediction. The parameters used in the scan process are Γ = 16(t/τ − 0.5) MHz and Ω = 2 MHz for (a–d).