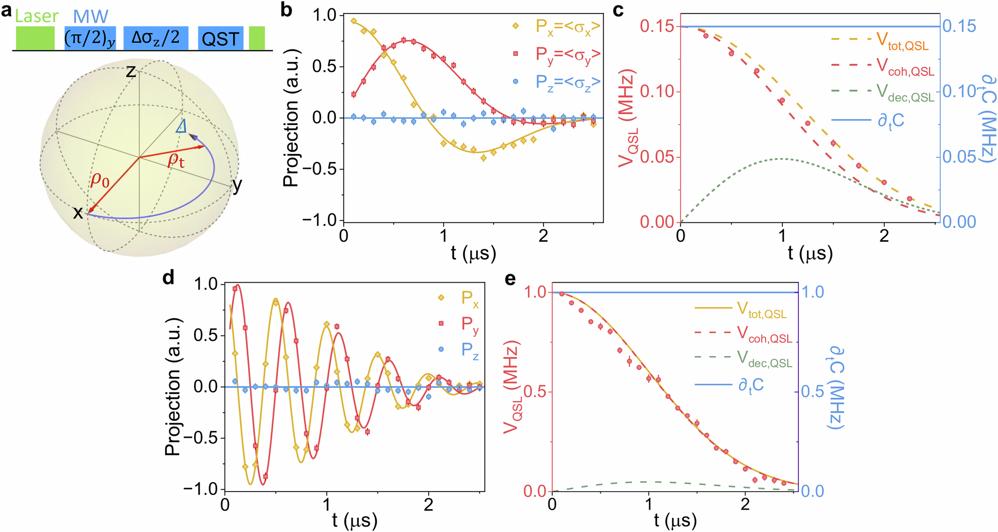
Fig. 4: Trade-off between speed and cost for an open quantum system.
From: Experimental investigation of the trade-off between quantum speed and energy cost

a The modified Ramsey interference protocol for investigating QSL in nonunitary dynamics with a non-zero detuning Δ. In this protocol, the first \({\left(\pi /2\right)}_{y}\) gate rotates the qubit from a initiate state \(\left\vert 0\right\rangle\) into a coherent superposition state \(\left(\left\vert 0\right\rangle +\left\vert 1\right\rangle \right)/\sqrt{2}\), which then evolves for a given time τ. After evolution, the last π/2 gate of the standard Ramsey interference protocol is replaced by QST. The dynamic process is shown with a Bloch-sphere. b Quantum state evolutions during the Ramsey interference with Δ = 0.3 MHz. Experiment results are fitted with different solid lines. c The instantaneous total quantum speed (red dots) and energy cost rate (solid blue line, theoretical prediction) for modify Ramsey interference protocol with Δ = 0.3 MHz. d, e Similar results of Fig. 4b and Fig. 4c with different detuning Δ = 2 MHz. Experiment results are denoted with red dots, while the remaining dashed lines represent theoretical predictions.