Abstract
Quantum steering enables one party to influence another remote quantum state by local measurement. While steering is fundamental to many quantum information tasks, the existing detection methods in the literature are mainly constrained to either specific measurement scenario or low-dimensional systems. In this work, we propose a majorization lattice framework for steering detection, which is capable of exploring the steering in arbitrary dimension and measurement setting. Steering inequalities for two-qubit states, high-dimensional Werner states and isotropic states are obtained, which set even stringent bars than what has been reached yet. Notably, the known high-dimensional results turn out to be some kind of approximate limits of the new approach.
Similar content being viewed by others
Introduction
The concept of quantum steering can be traced back to the renowned debate on the completeness of quantum mechanics initiated by Einstein, Podolsky, and Rosen in 19351, along with the subsequent responses from Schrödinger2. Quantum steering refers to the ability of one party (Alice) in a composite quantum system to influence the quantum state of another party (Bob) through local measurements. This phenomenon implies a distinct form of non-local correlations that are found to exist between quantum entanglement and Bell non-locality3,4,5.
Recently, a lot of efforts have been made to characterize and understand quantum steering by means of local hidden state (LHS) models and steering inequalities. In seminal works3,6, Wiseman et al. established the steering thresholds for Werner states and isotropic states under projective measurements by constructing LHS models (c.f. also refs. 7,8). Subsequent advances by Nguyen and Gühne determined the new thresholds for the restricted case of dichotomic measurements performed by Alice9. Very recently, people found the Wiseman et al.’s threshold condition remains valid for positive operator-valued measurements (POVMs) in qubit systems10,11, which challenges the presumed advantage of POVMs in quantum steering scenario. Moreover, similar to Bell non-locality, quantum steering can be identified as well by the violation of some inequalities. This provides a practical way to detect the quantum steering in experiments. To this aim, various steering inequalities have been proposed, including the well-known Reid criteria12, linear steering inequalities13,14, and steering inequalities based on various uncertainty relations15,16,17,18,19,20,21,22, among others (see reviews5,23,24). Due to the equivalence between quantum steering and incompatibility of measurements25, the results of measurement incompatibility can also be employed to characterize quantum steering26. In recent years, high-dimensional quantum steering has garnered significant attention due to its enhanced robustness against noise and loss27,28,29,30,31, while limited inequalities are established, merely applicable to qubit system or systems with specific measurement settings, such as mutually unbiased bases (MUBs).
Over the past few decades, majorization theory has found widespread applications across various aspects of quantum information science32,33,34,35,36,37,38,39,40,41,42,43. Of particular significance is the majorization lattice44,45,46,47, which establishes an algebraic structure for the set of probability distributions, providing a framework that is naturally congruent with the probabilistic descriptions inherent to quantum theory. Recently, majorization theory has been applied to quantum steering22,48,49 in lower-dimensional systems.
In this paper, we present a systematic approach to the detection of quantum steering based on the probability majorization lattice. Notably, this method is applicable to any measurement setting and any dimension, by which the quantum correlation information encoded in joint probabilities can then be fully extracted through tailored aggregation operations. This leads to lossless information extraction in contrast to conventional methods relying on functions of probability distributions, such as entropy and variance. To illustrate the efficacy of our approach, we derive steering inequalities for two-qubit systems, as well as for arbitrary-dimensional Werner states and isotropic states. In the MUBs scenario, our approach not only yields stronger steering inequalities compared to existing ones, but also indicates that previous high-dimensional steering inequalities can be systematically obtained in a series of approximations. In the following we present first the preliminary preparation for later use, then the derivation of our central theorem, and representative examples confronting to the yet known results.
Results
Preliminaries
Majorization theory establishes a partial ordering relation between any two vectors \(\vec{x},\vec{y}\in {{\mathbb{R}}}^{n}\) with \({\sum }_{i=1}^{n}{x}_{i}={\sum }_{i=1}^{n}{y}_{i}\), denoted \(\vec{x}\prec \vec{y}\), i.e. \(\vec{x}\) is majorized by \(\vec{y}\), if and only if50
Here, the superscript ↓ denotes the components of \(\vec{x}\) and \(\vec{y}\) in decreasing order. For n-dimensional probability vectors with components in decreasing order, we can define
The set \({{\mathcal{P}}}_{n}\), equipped with the majorization relation defined in Eq. (1), forms a lattice44 (see51 for a thorough discussion). In mathematics, a lattice is defined as a quadruple, and a probability majorization lattice can be represented as \(\langle {{\mathcal{P}}}_{n},\prec ,\vee ,\wedge \rangle\), where for \(\forall \vec{p},\vec{q}\in {{\mathcal{P}}}_{n}\) there is a unique infimum \(\vec{p}\wedge \vec{q}\) and a unique supremum \(\vec{p}\vee \vec{q}\). It is proved that the probability majorization lattice is a complete lattice and we have45,46,47
Lemma 1
A probability majorization lattice is a complete lattice, meaning that for every subset \(S\subseteq {{\mathcal{P}}}_{n}\), both the supremum \({\bigvee }S\in {{\mathcal{P}}}_{n}\) and the infimum \({\bigwedge }S\in {{\mathcal{P}}}_{n}\) exist.
Probability majorization lattice provides an elegant formalism to establish state-independent uncertainty relation (UR). For any observables A, B in a d-dimensional Hilbert space \({\mathcal{H}}\), one can define the measurement distribution set as
Here, \({{\mathcal{P}}}_{A}\) and \({{\mathcal{P}}}_{B}\) are respectively the sets of probability vectors corresponding to the measurements A and B, such as \({{\mathcal{P}}}_{A}=\{{(p({a}_{1}| A),\cdots \,,p({a}_{d}| A))}^{T}| \rho \in {\mathcal{D}}({\mathcal{H}})\}\) with the set of density matrices \({\mathcal{D}}({\mathcal{H}})\) for d-dimensional Hilbert space \({\mathcal{H}}\); ⊙ denotes any binary operation that preserve the majorization relation, including direct sum, direct product, and vector sum, i.e. ⊙ ∈ { ⊗ , ⊕ , + }. In light of Lemma 1, a probability majorization lattice is a complete lattice and there exists a supremum for the subset \({{\mathcal{P}}}_{A,B}\subset {{\mathcal{P}}}_{n}\), which formulates the majorization-based state-independent UR:
where \(\vec{\omega }(A,B)=\bigvee {{\mathcal{P}}}_{A,B}\). Clearly, the statements above can be generalized to the scenario involving N measurements. Note that the bound \(\vec{\omega }(A,B)\) with binary operations { ⊗ , ⊕ } has been extensively studied in refs. 37,38,39,40,41,42,43,48. Let Iμ ⊂ [d] be a subset of [d], where [d] be the set of all integers from 1 to d. For binary operation ⊕ , we have \(\vec{\omega }({\mathcal{B}})=({\Omega }_{1},{\Omega }_{2}-{\Omega }_{1},\cdots \,,{\Omega }_{Nd}-{\Omega }_{N(d-1)},0,\cdots \,,0)\), where ΩL for N measurements \({\mathcal{B}}=({B}_{1},\cdots \,,{B}_{N})\) is defined as
Here, ∥ ⋅ ∥ denotes the operator norm and \(| {b}_{i}^{(\mu )}\rangle \langle {b}_{i}^{(\mu )}|\) is μ-th projector of measurement base Bμ (see Methods for more details).
Probability majorization lattice and quantum steering
Assuming that Alice and Bob each possess one of the two subsystems of a bipartite state and measure on bases A and B respectively, in projective measurement, quantum theory predicts the joint probability
with projectors \({\Pi }_{ij}=| {a}_{i}\rangle \langle {a}_{i}| \otimes | {b}_{j}\rangle \langle {b}_{j}|\). Considering of all alternative measurements, a bipartite quantum state corresponds to the infinite set of joint probability p(ai, bj∣A, B; ρ), i.e.
If the LHS description does not exist, i.e. \(p({a}_{i},{b}_{j}| A,B;\rho )\ne {\sum }_{\xi }\wp ({a}_{i}| A,\xi )Tr[{\Pi }_{j}^{B}{\rho }_{\xi }^{B}]{\wp }_{\xi }\) for certain measurements A and B, Alice can then demonstrably steer Bob’s state, hence exhibiting the quantum steering3. Here, {ξ, ℘ξ}, ℘(ai∣A, ξ) and \({\rho }_{\xi }^{B}\) denote the possible hidden variables, Alice’s measurement distribution and Bob’s local state, respectively.
In practical experiments, only a finite number of measurement settings can be implemented. We define the set of the joint distributions of non-steerable states in N-measurement scenario as follows:
Here, \({{\mathcal{D}}}_{ns}\) signifies the set of non-steerable states. Clearly, \({{\mathcal{P}}}_{ns}^{N}\) sets up a subset of the probability majorization lattice \({{\mathcal{P}}}_{n}\). Moreover, by Lemma 1, there exists a supremum over all non-steerable states, from which the steerability condition follows:
Lemma 2
Given the orthonormal complete base sets \({\mathcal{A}}=({A}_{1},\cdots \,,{A}_{N})\) and \({\mathcal{B}}=({B}_{1},\cdots \,,{B}_{N})\) for Hilbert spaces \({{\mathcal{H}}}_{A}\) and \({{\mathcal{H}}}_{B}\), the violation of the following majorization inequality
signifies the steerability of the quantum state ρ.
Although Lemma 2 establishes a direct connection between quantum steering and probability majorization lattice, calculating the supremum \(\vec{\delta }({\mathcal{A}},{\mathcal{B}})\) presents an intractable challenge. It can be shown that in the quantum steering scenario, the supremum \(\vec{\delta }({\mathcal{A}},{\mathcal{B}})\) can be replaced by the majorization UR bound \(\vec{\omega }({\mathcal{B}})\), thereby formulating an operational steering detection framework. To this end, we employ the concept of aggregating a probability distribution48,52,53,54. Given probability vectors \(\vec{p}\in {{\mathcal{P}}}_{n}\) and \(\vec{q}\in {{\mathcal{P}}}_{m}\), \(\vec{q}\) is referred as an aggregation of \(\vec{p}\) if there is a partition \({\mathcal{I}}\) of {1, ⋯ , n} into disjoint sets I1, ⋯ , Im such that \({q}_{j}={\sum }_{i\in {I}_{j}}{p}_{i}\), for j = 1, ⋯ , m. The vector \(\vec{q}\) can then be denoted as \(\vec{q}={\mathcal{I}}(\vec{p})\) and we have the following theorem (proof shown in Supplementary Note 1):
Theorem 1
Given orthonormal complete base sets \({\mathcal{A}}=({A}_{1},\cdots \,,{A}_{N})\) and \({\mathcal{B}}=({B}_{1},\cdots \,,{B}_{N})\) for Hilbert spaces \({{\mathcal{H}}}_{A}\) and \({{\mathcal{H}}}_{B}\), the violation of the following majorization inequality
signifies the steerability of quantum state ρ (from Alice to Bob). Here, \(\vec{\omega }({\mathcal{B}})\) is the majorization UR bound of \({\mathcal{B}}=({B}_{1},\cdots \,,{B}_{N})\) for binary operations ⊙ ∈ { ⊗ , ⊕ , + } and \({\mathcal{I}}(\vec{p}{({A}_{\mu }\otimes {B}_{\mu })}_{\rho })\) denotes all aggregations of \(\vec{p}{({A}_{\mu }\otimes {B}_{\mu })}_{\rho }\) with partitions \({\mathcal{I}}\) satisfying \({\mathcal{I}}(\vec{p}\otimes \vec{q})\prec \vec{q}\); \({\mathcal{E}}\) denotes the local transformations preserving the majorization UR bound \(\vec{\omega }({\mathcal{B}})\), i.e., \(\vec{\omega }({\mathcal{E}}({\mathcal{B}}))=\vec{\omega }({\mathcal{B}})\); \({\mathcal{J}}\) represents any local transformation of measurement Alice performs.
Theorem 1 provides a criterion for quantum steering that is applicable to arbitrary finite dimension and measurement settings. It offers a novel perspective that quantum correlation information embedded in the joint probability can be extracted through appropriate aggregation operations of joint probability distributions. Next, to exhibit the capacity of the above theorem in steering detection, we first develop some steering inequalities from it and then apply the inequalities to some typical states.
Witnessing quantum steering via the majorization formalism
For illustration, we herein focus on the binary operation ⊕ and present some practical steering inequalities. Employing the Bloch representation, a bipartite state is expressed in the form of
Here, the coefficient matrix entries are \({u}_{\mu }=Tr[{\rho }_{A}{\pi }_{\mu }]\), \({v}_{\mu }=Tr[{\rho }_{B}{\pi }_{\mu }]\) and \({{\mathcal{T}}}_{\mu \nu }=Tr[\rho {\pi }_{\mu }\otimes {\pi }_{\nu }]\) with generators \({\{{\pi }_{\mu }\}}_{\mu =1}^{{d}^{2}-1}\) of \({\mathfrak{su}}(d)\) Lie algebra. Let us consider the partition \({\mathcal{I}}=\{{I}_{1},\cdots \,,{I}_{d}\}\) of {(1, 1), ⋯ , (1, n), ⋯ , (i, j), ⋯ , (d, d)} with elements
where k = 1, ⋯ , d. It has been proved that the partition \({\mathcal{I}}=\{{I}_{1},\cdots \,,{I}_{d}\}\) satisfies \({\mathcal{I}}(\vec{p}\otimes \vec{q})\prec \vec{q}\), which is equivalent to the degenerate case of Lemma 1 in ref. 35. The partition \({\mathcal{I}}\) results in an aggregation \(\vec{\Upsilon }\) of p(ai, bj∣A, B; ρ) with components
where \({\vec{a}}_{i}({\vec{b}}_{j})\) is Bloch vectors of projectors. Based upon Theorem 1, we obtain the following majorization steering inequality:
which yields a family of aggregation \(\vec{\Upsilon }\) steering inequalities
Here, \({[\cdot ]}_{k}^{\downarrow }\) denotes the largest k-th component of a vector and \({\overline{\Omega }}_{L}=\frac{{\Omega }_{L}}{L}\) with \({\Omega }_{L}={\sum }_{k=1}^{L}{[\vec{\omega }({\mathcal{B}})]}_{k}^{\downarrow }\). Similarly to the qubit situation13, we define the quantity \({{\mathcal{S}}}_{L}\) as the steering parameter for N measurement settings in arbitrary dimensional Hilbert space. The calculation of ΩL is a typical combinatorial optimization problem (COP). We derive three computational simple upper bounds ΛL, ΘL and ΓL for ΩL in the Supplementary Note 2. Especially, we have upper bounds for ΩL in the case of MUBs:
where \(\Phi (L)=N{\lfloor \frac{L}{N}\rfloor }^{2}+(L-N\lfloor \frac{L}{N}\rfloor )(2\lfloor \frac{L}{N}\rfloor +1)\) with the floor function ⌊ ⋅ ⌋ and 1 ≤ L ≤ N(d − 1). Note that the upper bounds in Eq. (17) satisfy ΓL≤ΘL for a complete set of MUBs (see Supplementary Note 2 for proofs and details). Note that the authors of ref. 26 defined the exact same quantity ΩL and obtained the same upper bound ΘL in terms of measurement incompatibility.
Applications
Next, we formulate quantum steering inequalities in two-qubit systems, arbitrary-dimensional Werner states, isotropic states and general scenario, with detailed calculations given in Supplementary Note 3.
Two qubits system
Given spin observables \({A}_{\mu }={\vec{a}}_{\mu }\cdot \vec{\sigma }\) and \({B}_{\mu }={\vec{b}}_{\mu }\cdot \vec{\sigma }\) with Pauli matrices vector \(\vec{\sigma }\), we have the aggregated joint probability for a two-qubit system
Here, \(\vec{t}=({t}_{1},{t}_{2},{t}_{3})\) is the singular value vector of \({\mathcal{T}}\); ∘ denotes Hadamard product. Considering the two-qubit Werner state \({\rho }_{W}=(1-w){\mathbb{1}}/4+w| {\psi }_{-}\rangle \langle {\psi }_{-}|\) with \(| {\psi }_{-}\rangle =\frac{1}{\sqrt{2}}(| 01\rangle -| 10\rangle )\) and setting \({\vec{a}}_{\mu }={\vec{b}}_{\mu }\), we have \({\Upsilon }_{\pm }=\frac{1\pm w}{2}\) and
which yields a steering threshold for the two-qubit Werner state: \({w}^{* }=2{\overline{\Omega }}_{N}-1\). Throughout this paper, we define the steering threshold as the minimum value of the state parameter (e.g., the visibility \({w}\) for Werner states) sufficient to violate the steering inequalities under a given measurement setting. Notably, this result is equivalent to the linear steering inequality established by Saunders et al.13. Furthermore, when measurements are conducted over the entire hemisphere of the Bloch sphere, there exists a limit of \({\mathrm{lim}}_{N\to \infty }\frac{{\Omega }_{N}}{N}=\frac{3}{4}\), which leads to a threshold of 1/2.
Isotropic state and Werner state in dimension d
Without loss of generality, one can set \({A}_{\mu }={\vec{a}}_{\mu }\cdot \vec{\pi }\) and \({B}_{\mu }={\vec{b}}_{\mu }\cdot \vec{\pi }\) with μ = 1, ⋯ , N, where \({\vec{a}}_{\mu },{\vec{b}}_{\mu }\) are (d2 − 1) dimensional real vectors. For isotropic states and Werner states, we have the aggregated joint probabilities
and steering parameters
Here, w and η ∈ [0, 1] are noise parameters for the isotropic and Werner state, respectively. By Eq. (16), we obtain the steering thresholds for isotropic and Werner states, respectively
For the case of two measurement settings, we obtain \({\overline{\Omega }}_{2}=(1+c)/2\) with \(c={\max }_{i,j}| \langle {a}_{i}| {b}_{j}\rangle |\) representing the maximal overlap of the two bases. The steering threshold is then \({w}^{* }=\frac{d(1+c)-2}{2(d-1)}\), which implies that the results in refs. 29,55,56 are the special cases corresponding to pairs of MUBs. A notable correspondence exists between the steering thresholds derived from the majorization lattice framework and those obtained from the measurement incompatibility perspective26,57,58. This relationship becomes apparent when reformulating Eq. (23) ang (24) in terms of ΩN and ΩN(d−1), as shown in Table 1. Remarkably, for the isotropic states, our result coincides exactly with the noise robustness derived from the perspective of measurement incompatibility57,58.
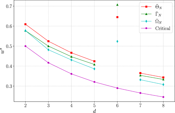
Utilizing upper bounds derived in Eq. (17), we obtain approximate steering thresholds for isotropic states and Werner states, as summarized in Table 2. These bounds provide an excellent approximation for isotropic state steering scenario involving MUBs, which significantly simplifies the analysis of steering in high-dimensional system. Note, the thresholds in refs. 20,27,31 are compatible with the upper bounds of \({\overline{\Theta }}_{N}\) and \({\overline{\Gamma }}_{N}\), respectively, which indicates that those previous results are not optimal ones for isotropic state. As illustrated in Fig. 1, we compute the optimal steering thresholds for various isotropic states with MUBs dimensions, from d = 2 to 8 for illustration, and compare these thresholds with those from \({\overline{\Gamma }}_{N},{\overline{\Theta }}_{N}\), as well as the critical values from LHS model3,7,8.
The red and green lines represent the steering threshold derived from the approximate upper bounds \({\overline{\Theta }}_{N}\) and \({\overline{\Gamma }}_{N}\), respectively. The cyan line indicates the optimal steering threshold from \({\overline{\Omega }}_{N}\), while the magenta line represents the critical value of isotropic states derived from the LHS model3,7,8. Note that, due to the existence problem of 6-dimensional MUBs, the threshold for d = 6 is calculated using only three MUBs.
It is noteworthy that for d > 2, the steering threshold of Werner states in Table 2 exceeds 1, i.e. η*≥1, which indicates that MUBs fail to witness the steerability of Werner states in high dimensions. Intuitively, this follows from \({\eta }^{* }=1-\frac{d}{N}(N-{\Omega }_{N(d-1)})\), where ΩN(d−1) is close to N for MUBs. Conversely, non-MUB measurements with ΩN(d−1) < N are expected to perform better. It is worth noting that Nguyen et al. showed that MUBs can never detect steering for Werner states in odd prime-power dimensions, a limitation that appears to hold asymptotically for even prime-power dimensions (e.g. η* = 0.9174 for d = 4)58. These findings highlight an intriguing fact that while MUBs effectively capture the steerability of isotropic states, they perform poorly for witnessing the steerability of Werner states in high dimensions.
Notice that the new approach enables the investigation of optimal measurement settings for quantum steering. Consequently, we are tasked with addressing the optimization problem
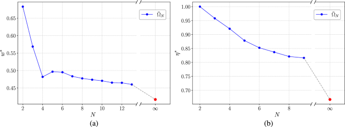
In Fig. 2, we examine the optimal settings for qutrit isotropic and Werner states using the Cross-Entropy Method (CEM)59,60, a powerful technique for solving complex continuous optimization problems and machine learning tasks. As shown in Fig. 2a, b, we compute the steering thresholds for qutrit isotropic states in N = 2 to 13 measurement settings and for qutrit Werner states in N = 2 to 8 measurement settings. Our results indicate that MUBs remain optimal for N = 2, 3, 4 in isotropic scenario. Notably, Bavaresco et al. obtained smaller upper bounds for projective measurements using semidefinite programming (SDP) and search algorithms61, resulting in a small gap between their results and our lower bounds. A plausible explanation is that both the CEM and the search algorithms are heuristic optimization methods, which do not guarantee finding the global optimum. To certify the steerability of qutrit Werner states, the optimal measurement settings always be non-MUBs. Lower thresholds are achieved as the number of measurement settings N increases. We conjecture that the critical values 5/12 and 2/3 can be attained in the limit as N → ∞ for both qutrit isotropic and Werner states, respectively, similarly to the scenario in two-qubit Werner states.
Here, we plot the steering threshold of qutrit isotropic states (a) and Werner states (b) obtained from the Cross-Entropy Method (CEM) for N = 2 to 13 and N = 2 to 8, respectively. The red points represent the critical values 5/12 and 2/3 of qutrit isotropic and Werner states from LHS model3,7,8. a Qutrit isotropic states. b Qutrit Werner states.
General scenario
Here, we formulate the steering detection in a general scenario where Alice’s measurements are related to Bob’s measurements via unitary or anti-unitary transformations, i.e., \({A}_{\mu }={\mathcal{J}}({B}_{\mu })\). This leads to the following steering inequality:
Since the joint probability distributions \(\vec{\Upsilon }\) depend on the choice of \({\mathcal{J}}\), there exists an optimal alignment between Alice’s and Bob’s measurements for steering detection. The optimal alignment mechanism necessarily minimizes the entropy of the aggregated joint probability distributions. Therefore, the optimal \({\mathcal{J}}\) can be obtained by solving the optimization problem:
where H( ⋅ ) denotes the Shannon entropy.
We now apply the above procedure to detect steerability in a general scenario. Consider the following family of qutrit states:
where \(| \psi (\theta ,\phi )\rangle =\cos \theta \sin \phi | 00\rangle +\sin \theta \sin \phi | 11\rangle +\cos \phi | 22\rangle\), with λ ∈ [0, 1], θ ∈ [0, π/4] and ϕ ∈ [0, π/2]. This state reduces to the isotropic state when θ = π/4 and \(\phi =\arctan \sqrt{2}\). We consider the measurement setting \({\mathcal{B}}=({B}_{1},{B}_{2},U{B}_{3}{U}^{\dagger },U{B}_{4}{U}^{\dagger })\) with \(U={e}^{i\delta {J}_{z}}\), where B1, B2, B3, B4 are MUBs and Jz is the z component of the angular momentum operator. In Fig. 3, we plot the Lorenz curves of Eq. (26) for ρ(λ, θ, ϕ) with Schmidt rank 1 (θ = 0, ϕ = π/2), rank 2 (θ = π/4, ϕ = π/2), and rank 3 (θ = ϕ = π/3, \(\theta =\pi /4,\phi =\arctan \sqrt{2}\)) for both MUBs (Fig. 3a) and non-MUBs (Fig. 3b) cases. The Lorenz curve of a probability distribution vector \(\vec{p}\) is defined as \({f}_{\vec{p}}(k)\equiv {\sum }_{i=1}^{k}{p}_{i}^{\downarrow }\) with \({f}_{\vec{p}}(0)=0\). Note that Lorenz curves have been previously applied to investigate optimal uncertainty relations42. Genuine high-dimensional steering has attracted extensive attention recently62,63,64. These studies show that high-dimensional entanglement, as quantified by the Schmidt number, can lead to a stronger form of steering that is provably impossible to obtain via entanglement in lower dimensions. The results in Fig. 3 and Table 3 indicate that states with higher Schmidt rank reveal stronger robustness to noise (corresponding to a larger shaded area above the majorization bound curve). Conversely, lower Schmidt rank states (e.g., θ = π/4, ϕ = π/2) exhibit more pronounced sensitivity to noise and the choice of measurement settings.
The black solid line represents the majorization bound \(\vec{\omega }({\mathcal{B}})\). The shadow region above the majorization bound curve indicates the steerable region detected by Eq. (26). a Steering of state ρ(λ, θ, ϕ) with MUBs. b Steering of state ρ(λ, θ, ϕ) with non-MUBs.
Discussion
In this paper, we have established a connection between quantum steering and the probability majorization lattice, leading to a novel framework for detecting quantum steering. This framework is applicable to arbitrary finite dimensions and measurement settings. By introducing the concept of aggregating probability distributions, we have formulated a family of aggregation-based steering inequalities and applied them to the two-qubit systems, arbitrary-dimensional Werner and isotropic states and general scenarios.
From the perspective of information theory, our approach facilitates the extraction of quantum correlation information embedded in the joint probability without loss, utilizing appropriate aggregation operations that differ from those based on entropies and variances. In the context of mutually unbiased bases (MUBs), our approach not only reproduces known steering inequalities as approximate cases but also provides improved thresholds and new insights into the optimal measurement settings for detecting quantum steerability.
For high-dimensional Werner states, non-MUB measurements outperform MUBs in witnessing steerability. We investigate the optimal N-measurement settings for qutrit isotropic and Werner states using the Cross-Entropy Method (CEM), revealing that MUBs remain optimal for N = 2, 3, 4 for isotropic states, while non-MUBs are required for qutrit Werner states. Our framework can also be employed to explore quantum steering in more general scenarios by optimizing the alignment between Alice’s and Bob’s measurements. We illustrate this by examining a family of non-symmetric qutrit states.
High-dimensional quantum systems have garnered significant attentions in quantum information processing due to their enhanced resilience to noise, reduced susceptibility to loss, and greater information capacity. These advantages render them particularly valuable for applications in quantum communication65,66,67, quantum cryptography68, and superdense coding69. Hopefully, the majorization-based framework for quantum steering may enlighten our understanding of quantum correlation and facilitate practical applications across these areas.
Methods
Ω L of N measurement bases
Given N orthonormal and complete bases \({\{{| b\rangle }_{i}^{(\mu )}\}}_{i=1}^{d}\) for μ = 1, 2, ⋯ , N, we define the index set I = {1, 2, ⋯ , d} and the subsets I1, I2, ⋯ , IN ⊂ I, where Iμ denotes the index set of the μ-th basis Aμ. Assuming we choose L base vectors from the N bases, with each basis selecting ∣Iμ∣ vectors, we can define L projectors \(\{| {x}_{j}\rangle \langle {x}_{j}| \}\), \(j=1,2,\cdots \,,L={\sum }_{\mu =1}^{N}| {I}_{\mu }|\) as follows:
Then, we can reformulate ΩL as
Here, ∥ ⋅ ∥ denotes the operator norm, i.e. the largest singular value of the operator. Especially, if L > d(N − 1) we have ΩL = N (the maximal value possible), which occurs if I1 = ⋯ = IN−1 = I and IN = {l}, \(\rho =| {a}_{l}^{(N)}\rangle \langle {a}_{l}^{(N)}|\). The solution of ΩL is a typical combinatorial optimization problem (COP), which has a discrete set of feasible solutions with a size of \((\begin{array}{c}Nd\\ L\end{array})\). Next, we provide a few equivalent expressions of ΩL for N measurements.
Bloch representation of Ω L
Let \(\{{\vec{x}}_{j}\}\) be Bloch vectors of \(\{| {x}_{j}\rangle \}\). Under Bloch representation, the projectors are in form of \(| {x}_{j}\rangle \langle {x}_{j}| =\frac{1}{d}{\mathbb{1}}+\frac{1}{2}{\vec{x}}_{j}\cdot \vec{\pi }\). Thus, we have
Here, \({\vec{o}}_{L}=\frac{1}{2}{\sum }_{j=1}^{L}{\vec{x}}_{j}\). Clearly, a concise expression can be derived for the qubit system
Transition matrix representation
Here, we formulate ΩL via the transition matrices between measurement bases.
Here, we have employed the property of operator norm in the last line and \({\lambda }_{\max }({\mathcal{X}})\) denotes the largest eigenvalue of the operator \({\mathcal{X}}=X{X}^{\dagger }\) and \(X=(| {x}_{1}\rangle ,| {x}_{2}\rangle ,\cdots \,,| {x}_{k}\rangle )\). The operator \({\mathcal{X}}\) is defined as
where \({{\mathbb{1}}}_{| {I}_{\mu }| }\) is the identity matrix of size ∣Iμ∣ × ∣Iμ∣ and U(i, j)[Iμ, Iν] is the submatrix of entries that lie in the rows of the transition matrix \({U}_{(i,j)}={\{\langle {a}_{i}^{(\mu )}| {a}_{j}^{(\nu )}\rangle \}}_{i,j=1}^{d}\) indexed by Iμ and the columns indexed by Iν, i.e. \({U}_{(i,j)}[{I}_{\mu },{I}_{\nu }]={\{\langle {a}_{i}^{(\mu )}| {a}_{j}^{(\nu )}\rangle \}}_{i\in {I}_{\mu },j\in {I}_{\nu }}\).
Two measurement bases scenario
When the involved measurement bases are two orthonormal complete bases, i.e., N = 2, we have
In light of Theorem 7.3.3 in ref. 70, we have \({\lambda }_{\max }({\mathcal{X}})=1+{\sigma }_{\max }(U[{I}_{1},{I}_{2}])\), and thus
Here, \({\sigma }_{\max }(\cdot )\) denotes the maximal singular value and \(U[{I}_{1},{I}_{2}]={\{{u}_{ij}\}}_{i\in {I}_{1},j\in {I}_{2}}\) for \({u}_{ij}=\langle {a}_{i}^{(1)}| {a}_{j}^{(2)}\rangle\). If ∣I1∣ = 1 or ∣I2∣ = 1, we have \({\sigma }_{\max }(U[{I}_{1},{I}_{2}])=\sqrt{{\sum }_{j\in {I}_{n}}| {u}_{ij}{| }^{2}}\) or \({\sigma }_{\max }(U[{I}_{m},{I}_{1}])=\sqrt{{\sum }_{i\in {I}_{m}}| {u}_{ij}{| }^{2}}\). So, the first three terms have the analytical expressions
Mutually unbiased bases
For a pair of mutually unbiased bases (MUBs), the transition matrix U between them is a discrete Fourier transformation (DFT) matrix, i.e.
where ω = e2πi/d is a d-th root of unity. For a pair of d-dimensional MUBs, we conjecture the following expression. It is noted that the matrix U is only one possible example of pairs of MUBs. sThere exist inequivalent pairs of MUBs57,71.
Conjecture
Here, ⌊ ⋅ ⌋ and ⌈ ⋅ ⌉ denote the floor and the ceiling functions, respectively.
Data availability
All relevant data used for Examples and Figs. are available from the authors.
Code availability
The codes used to generate the results presented in this paper are available at the repository https://github.com/yangmacheng/High-Dimensional-Quantum-Steering.
References
Einstein, A., Podolsky, B. & Rosen, N. Can quantum-mechanical description of physical reality be considered complete? Phys. Rev. 47, 777 (1935).
Schrödinger, E. Discussion of probability relations between separated systems. Math. Proc. Camb. Philos. Soc. 31, 555–563 (1935).
Wiseman, H. M., Jones, S. J. & Doherty, A. C. Steering, entanglement, nonlocality, and the Einstein-Podolsky-Rosen paradox. Phys. Rev. Lett. 98, 140402 (2007).
Quintino, M. T. et al. Inequivalence of entanglement, steering, and Bell nonlocality for general measurements. Phys. Rev. A 92, 032107 (2015).
Uola, R., Costa, A. C. S., Nguyen, H. C. & Gühne, O. Quantum steering. Rev. Mod. Phys. 92, 015001 (2020).
Jones, S. J., Wiseman, H. M. & Doherty, A. C. Entanglement, Einstein-Podolsky-Rosen correlations, bell nonlocality, and steering. Phys. Rev. A 76, 052116 (2007).
Werner, R. F. Quantum states with Einstein-Podolsky-Rosen correlations admitting a hidden-variable model. Phys. Rev. A 40, 4277 (1989).
Almeida, M. L., Pironio, S., Barrett, J., Toth, G. & Acin, A. Noise robustness of the nonlocality of entangled quantum states. Phys. Rev. Lett. 99, 040403 (2007).
Nguyen, H. C. & Guhne, O. Some quantum measurements with three outcomes can reveal nonclassicality where all two-outcome measurements fail to do so. Phys. Rev. Lett. 125, 230402 (2020).
Zhang, Y. & Chitambar, E. Exact steering bound for two-qubit Werner states. Phys. Rev. Lett. 132, 250201 (2024).
Renner, M. J. Compatibility of generalized noisy qubit measurements. Phys. Rev. Lett. 132, 250202 (2024).
Reid, M. D. Demonstration of the Einstein-Podolsky-Rosen paradox using nondegenerate parametric amplification. Phys. Rev. A 40, 913 (1989).
Saunders, D. J., Jones, S. J., Wiseman, H. M. & Pryde, G. J. Experimental EPR-steering using Bell-local states. Nat. Phys. 6, 845–849 (2010).
Zheng, Y.-L. et al. Optimized detection of steering via linear criteria for arbitrary-dimensional states. Phys. Rev. A 95, 032128 (2017).
Walborn, S. P., Salles, A., Gomes, R. M., Toscano, F. & Ribeiro, P. H. S. Revealing hidden Einstein-Podolsky-Rosen nonlocality. Phys. Rev. Lett. 106, 130402 (2011).
Schneeloch, J., Broadbent, C. J., Walborn, S. P., Cavalcanti, E. G. & Howell, J. C. Einstein-Podolsky-Rosen steering inequalities from entropic uncertainty relations. Phys. Rev. A 87, 062103 (2013).
Zhen, Y.-Z. et al. Certifying Einstein-Podolsky-Rosen steering via the local uncertainty principle. Phys. Rev. A 93, 012108 (2016).
Maity, A. G., Datta, S. & Majumdar, A. S. Tighter Einstein-Podolsky-Rosen steering inequality based on the sum-uncertainty relation. Phys. Rev. A 96, 052326 (2017).
Riccardi, A., Macchiavello, C. & Maccone, L. Multipartite steering inequalities based on entropic uncertainty relations. Phys. Rev. A 97, 052307 (2018).
Costa, A. C. S., Uola, R. & Gühne, O. Steering criteria from general entropic uncertainty relations. Phys. Rev. A 98, 050104 (2018).
Kriváchy, T., Fröwis, F. & Brunner, N. Tight steering inequalities from generalized entropic uncertainty relations. Phys. Rev. A 98, 062111 (2018).
Li, J.-L. & Qiao, C.-F. Characterizing quantum nonlocalities per uncertainty relation. Quantum Inf. Process. 20, 109 (2021).
Cavalcanti, D. & Skrzypczyk, P. Quantum steering: a review with focus on semidefinite programming. Rep. Prog. Phys. 80, 024001 (2017).
Xiang, Y., Cheng, S., Gong, Q., Ficek, Z. & He, Q. Quantum steering: practical challenges and future directions. PRX Quantum 3, 030102 (2022).
Uola, R., Budroni, C., Guhne, O. & Pellonpaa, J. P. One-to-One Mapping between Steering and Joint Measurability Problems. Phys. Rev. Lett. 115, 230402 (2015).
Designolle, S., Skrzypczyk, P., Frowis, F. & Brunner, N. Quantifying measurement incompatibility of mutually unbiased bases. Phys. Rev. Lett. 122, 050402 (2019).
Skrzypczyk, P. & Cavalcanti, D. Loss-tolerant Einstein-Podolsky-Rosen steering for arbitrary-dimensional states: Joint measurability and unbounded violations under losses. Phys. Rev. A 92, 022354 (2015).
Skrzypczyk, P. & Cavalcanti, D. Maximal randomness generation from steering inequality violations using qudits. Phys. Rev. Lett. 120, 260401 (2018).
Zeng, Q., Wang, B., Li, P. & Zhang, X. Experimental high-dimensional Einstein-Podolsky-Rosen Steering. Phys. Rev. Lett. 120, 030401 (2018).
Srivastav, V. et al. Quick quantum steering: overcoming loss and noise with qudits. Phys. Rev. X 12, 041023 (2022).
Qu, R. et al. Retrieving high-dimensional quantum steering from a noisy environment with N measurement settings. Phys. Rev. Lett. 128, 240402 (2022).
Nielsen, M. A. Conditions for a class of entanglement transformations. Phys. Rev. Lett. 83, 436 (1999).
Nielsen, M. A. & Vidal, G. Majorization and the interconversion of bipartite states. Quantum Inf. Comput. 1, 76–93 (2001).
Nielsen, M. A. & Kempe, J. Separable states are more disordered globally than locally. Phys. Rev. Lett. 86, 5184–7 (2001).
Gühne, O. & Lewenstein, M. Entropic uncertainty relations and entanglement. Phys. Rev. A 70, 022316 (2004).
Partovi, M. H. Entanglement detection using majorization uncertainty bounds. Phys. Rev. A 86, 022309 (2012).
Partovi, M. H. Majorization formulation of uncertainty in quantum mechanics. Phys. Rev. A 84, 052117 (2011).
Friedland, S., Gheorghiu, V. & Gour, G. Universal uncertainty relations. Phys. Rev. Lett. 111, 230401 (2013).
Puchała, Z., Rudnicki, Ł & Życzkowski, K. Majorization entropic uncertainty relations. J. Phys. A: Math. Theor. 46, 272002 (2013).
Rudnicki, L., Puchała, Z. & Zyczkowski, K. Strong majorization entropic uncertainty relations. Phys. Rev. A 89, 052115 (2014).
Li, T. et al. Optimal universal uncertainty relations. Sci. Rep. 6, 35735 (2016).
Li, J.-L. & Qiao, C.-F. The optimal uncertainty relation. Ann. Phys. 531, 1900143 (2019).
Puchała, Z., Rudnicki, Ł, Krawiec, A. & Życzkowski, K. Majorization uncertainty relations for mixed quantum states. J. Phys. A: Math. Theor. 51, 175306 (2018).
Cicalese, F. & Vaccaro, U. Supermodularity and subadditivity properties of the entropy on the majorization lattice. IEEE Trans. Inf. Theory 48, 933–938 (2002).
Alberti, P. M. and Uhlmann, A. Stochasticity and partial order (Springer Dordrecht, 1982).
Bapat, R. B. Majorization and singular values. III. Linear Algebra Appl. 145, 59–70 (1991).
Bondar, J. V. Comments on and complements to Inequalities: theory of majorization and its applications: by Albert W. Marshall and Ingram Olkin. Linear Algebra Appl 199, 115–130 (1994).
Li, J.-L. & Qiao, C.-F. An optimal measurement strategy to beat the quantum uncertainty in correlated system. Adv. Quantum Technol. 3, 2000039 (2020).
Zhu, G. et al. Experimental investigation of conditional majorization uncertainty relations in the presence of quantum memory. Phys. Rev. A 108, L050202 (2023).
Marshall, A. W., Olkin, I. & Arnold, B. C. Inequalities: theory of majorization and its applications (Springer, 1979).
Davey, B. A. & Priestley, H. A. Introduction to Lattices and Order (Cambridge University Press, Cambridge, 2002), 2nd edition.
Vidyasagar, M. A metric between probability distributions on finite sets of different cardinalities and applications to order reduction. IEEE Trans. Autom. Control 57, 2464–2477 (2012).
Cicalese, F., Gargano, L., & Vaccaro, U. Approximating probability distributions with short vectors, via information theoretic distance measures (2016).
Cicalese, F., Gargano, L. & Vaccaro, U. Minimum-entropy couplings and their applications. IEEE Trans. Inf. Theory 65, 3436–3451 (2019).
Li, C. M. et al. Genuine high-order Einstein-Podolsky-Rosen steering. Phys. Rev. Lett. 115, 010402 (2015).
Guo, Y. et al. Experimental measurement-device-independent quantum steering and randomness generation beyond qubits. Phys. Rev. Lett. 123, 170402 (2019).
Designolle, S., Farkas, M. & Kaniewski, J. Incompatibility robustness of quantum measurements: a unified framework. N. J. Phys. 21, 113053 (2019).
Nguyen, H. C., Designolle, S., Barakat, M, & Gühne, O. Symmetries between measurements in quantum mechanics, arXiv:2003.12553 (2020).
de Boer, P.-T., Kroese, D. P., Mannor, S. & Rubinstein, R. Y. A Tutorial on the Cross-Entropy Method. Ann. Oper. Res. 134, 19–67 (2005).
Botev, Z. I., Kroese, D. P., Rubinstein, R. Y. & L’Ecuyer, P. The Cross-Entropy Method for Optimization, 35-59, Handbook of Statistics (2013).
Bavaresco, J. et al. Most incompatible measurements for robust steering tests. Phys. Rev. A 96 (2017).
Designolle, S. et al. Genuine high-dimensional quantum steering. Phys. Rev. Lett. 126, 200404 (2021).
de Gois, C., Plavala, M., Schwonnek, R. & Guhne, O. Complete hierarchy for high-dimensional steering certification. Phys. Rev. Lett. 131, 010201 (2023).
D’Alessandro, N., Carceller, C. R. I. & Tavakoli, A. Semidefinite relaxations for high-dimensional entanglement in the steering scenario. Phys. Rev. Lett. 134, 090802 (2025).
Branciard, C., Cavalcanti, E. G., Walborn, S. P., Scarani, V. & Wiseman, H. M. One-sided device-independent quantum key distribution: security, feasibility, and the connection with steering. Phys. Rev. A 85, 010301 (2012).
Islam, N. T., Lim, C. C. W., Cahall, C., Kim, J. & Gauthier, D. J. Provably secure and high-rate quantum key distribution with time-bin qudits. Sci. Adv. 3, e1701491 (2017).
Cozzolino, D., Da Lio, B., Bacco, D., & Oxenløwe, L. K. High-dimensional quantum communication: benefits, progress, and future challenges. Adv. Quantum Technol. 2 (2019).
Gröblacher, S., Jennewein, T., Vaziri, A., Weihs, G. & Zeilinger, A. Experimental quantum cryptography with qutrits. N. J. Phys. 8, 75–75 (2006).
Hu, X. M. et al. Beating the channel capacity limit for superdense coding with entangled ququarts. Sci. Adv. 4, eaat9304 (2018).
Horn, R. A. & Johnson, C. R. Matrix analysis (Cambridge University Press, 2013), Theorem 7.3.3.
Brierley, S., Weigert, S. & Bengtsson, I. All mutually unbiased bases in dimensions two to five. Quantum Inf. Comput. 10, 803–820 (2010).
Acknowledgements
This work was supported in part by the National Natural Science Foundation of China (NSFC) under the Grant Nos. 12475087 and 12235008, the Fundamental Research Funds for Central Universities, and China Postdoctoral Science Foundation funded Project No. 2024M753174.
Author information
Authors and Affiliations
Contributions
All authors have equally contributed to the main result, the examples and the writing. All authors have given approval for the final version of the manuscript.
Corresponding author
Ethics declarations
Competing interests
The authors declare no competing interests.
Additional information
Publisher’s note Springer Nature remains neutral with regard to jurisdictional claims in published maps and institutional affiliations.
Supplementary information
Rights and permissions
Open Access This article is licensed under a Creative Commons Attribution-NonCommercial-NoDerivatives 4.0 International License, which permits any non-commercial use, sharing, distribution and reproduction in any medium or format, as long as you give appropriate credit to the original author(s) and the source, provide a link to the Creative Commons licence, and indicate if you modified the licensed material. You do not have permission under this licence to share adapted material derived from this article or parts of it. The images or other third party material in this article are included in the article’s Creative Commons licence, unless indicated otherwise in a credit line to the material. If material is not included in the article’s Creative Commons licence and your intended use is not permitted by statutory regulation or exceeds the permitted use, you will need to obtain permission directly from the copyright holder. To view a copy of this licence, visit http://creativecommons.org/licenses/by-nc-nd/4.0/.
About this article
Cite this article
Yang, MC., Qiao, CF. Witness high-dimensional quantum steering via majorization lattice. npj Quantum Inf 12, 55 (2026). https://doi.org/10.1038/s41534-026-01204-3
Received:
Accepted:
Published:
Version of record:
DOI: https://doi.org/10.1038/s41534-026-01204-3





