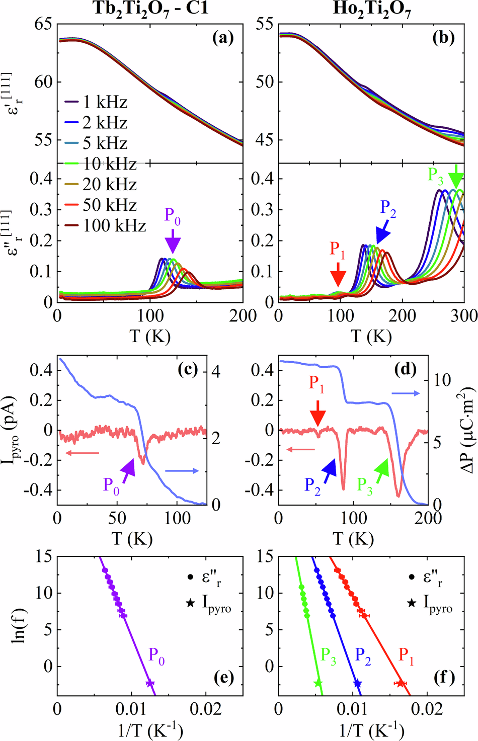
Fig. 2: Temperature dependence of the electric properties of Tb2Ti2O7 (left) and Ho2Ti2O7 (right) in zero magnetic field.
From: Exploring possible magnetic monopoles-induced magneto-electricity in spin ices

a, b Real part \({\varepsilon }_{{\rm{r}}}^{{\prime} }\) (top) and imaginary part \({\varepsilon }_{{\rm{r}}}^{{\prime\prime} }\) (bottom) of the permittivity measured at different frequencies from 1 to 100 kHz. Dissipation peaks P0 to P3 observed in \({\varepsilon }_{{\rm{r}}}^{{\prime\prime} }\) are associated with a frequency-dependent anomaly in \({\varepsilon }_{{\rm{r}}}^{{\prime} }\). c, d Pyroelectric current measured at a speed of v = 4 K/min and corresponding change of the electric polarization using a reference at 150 K (for Tb2Ti2O7) and 200 K (for Ho2Ti2O7). e, f Arrhenius plots associated with these \({\varepsilon }_{{\rm{r}}}^{{\prime\prime} }\) dissipation peaks: the measurement frequency is reported in a semi log plot as a function of the peak position in inverse temperature (dots). The straight lines are linear fits from which are extracted the activation energy and zero-point relaxation time. For the DC pyroelectric measurements (stars), we use a characteristic time of 10 s corresponding to a frequency of 0.1 Hz and the temperature was chosen at the initial rise of the pyroelectric current.