Abstract
The possibilities of combining several degrees of freedom inside a unique material have recently been highlighted in their dynamics and proposed as information carriers in quantum devices where their cross-manipulation by external parameters such as electric and magnetic fields could enhance their functionalities. An emblematic example is that of electromagnons, spin-waves dressed with electric dipoles, that are fingerprints of multiferroics. Point-like objects have also been identified, which may take the form of excited quasiparticles. This is the case for magnetic monopoles, the exotic excitations of spin ices, that have been recently proposed to carry an electric dipole, although experimental evidences remain elusive. Presently, we investigate the electrical signature of a classical spin ice and a related compound that supports quantum fluctuations. Our in-depth study clearly attributes magneto-electricity to the correlated spin ice phase distinguishing it from extrinsic and single-ion effects. Our calculations show that the proposed model conferring magneto-electricity to monopoles is not sufficient, calling for higher-order contributions.
Similar content being viewed by others
Introduction
Behind their strong interest for the stabilization of original magnetic states, magnetic frustrated systems provide a wealth of emergent excitations, which are prone to couple with multiple degrees of freedom. Among these, emergent magnetic monopoles in spin ices have been proposed by D. I. Khomskii to carry an electric dipole1 opening the route towards new magneto-electric effects and multiferroicity in spin ices and related phases.
The spin ice state is realized when magnetic moments on a lattice (featuring corner-sharing tetrahedra) have an Ising anisotropy along the local 〈111〉 directions and interact through effective ferromagnetic interactions J 2 (see Fig. 1). It is a macroscopically degenerate state in which spins obey a local constraint: on each tetrahedron, two spins point inward and the other two outward (the so-called ice rule, in reference to water ice). The magnetic excitations that emerge from this spin ice state can be described as magnetic charges (monopoles) located at the centers of the tetrahedra and which correspond to a violation of the local ice rule3,4. In the pyrochlore lattice, monopoles are created in pairs of opposite charges that can move apart.
Tetrahedra in the pyrochlore lattice are depicted in gray. Red, blue and black arrows represent the spins oriented along a local [111] direction. The gray double-head arrows feature a degeneracy in the orientation of the spins due to thermal fluctuations. Yellow to green arrows indicate the possible directions of electric dipole moments associated with one tetrahedron in Khomskii’s model1, from the least to the most likely at low temperature (typically 2.5 K). a Spin ice phase with the two-in two-out ice rule on each tetrahedron (left) with a pair of monopoles (middle) and their deconfinement (right). b Prediction of electric dipole depending on the spin configuration in one tetrahedron. c Experimental (dots) and calculated (lines) magnetization curves of Ho2Ti2O7 at several temperatures for different orientations of the magnetic field. The vertical dashed lines indicate the changes in the calculated permittivity (displayed in Fig. 3) associated with the different phases at 2.5 K. The corresponding spin arrangements at temperatures allowing the presence of monopoles are schematized in (d).
Magnetic monopoles have been successfully probed in the prototype Dy2Ti2O7 and Ho2Ti2O7 spin ice compounds using various techniques from neutron scattering to magnetic noise measurements5,6,7. It is worth noting that the spin ice ground state in zero magnetic field being a vacuum of monopoles, finite temperature and/or magnetic field are required to generate a finite density of monopoles. Typically in Ho2Ti2O7 where J ~1.8 K, a significant density of magnetic monopoles is expected for temperatures larger than 2 K8,9. In the presence of a magnetic field H, the degenerate spin ice phase is gradually suppressed. It gives rise to a monopole crystal when the field is applied along the [111] direction, a partially disordered phase for H // [110], and an ordered spin ice phase for H // [001] (see Fig. 1)10. Applying a magnetic field along these peculiar directions thus appears as a control parameter of choice to probe the possible magneto-electric effects associated with magnetic monopoles.
Magneto-electric effects were observed in Ho2Ti2O711 and Dy2Ti2O712,13 at low temperatures, for field applied along the [001] and [111] directions. In the latter field direction, the dielectric dynamics were proposed to have a critical behavior associated with monopole condensation13. Sample-dependent weak signatures of ferroelectricity were also reported14,15,16 and tentatively related to magnetic monopoles. The Tb2Ti2O7 pyrochlore compound, which does not present a classical spin ice behavior but rather a still debated quantum spin liquid one17, was also proposed theoretically to host magneto-electric monopoles in applied field18, whose observation was claimed in subsequent experimental studies19,20.
To obtain a unified experimental picture of these complex and sometimes contradictory results, we have performed an extensive dielectric and magneto-electric study by electric polarization and permittivity measurements on several single crystals of the classical spin ice Ho2Ti2O7 and the quantum spin liquid candidate Tb2Ti2O7. The full (H, T) phase diagram was investigated in the three main cubic directions ([111], [110] and [001]) in the 2.5–300 K temperature range. We show that, indeed, electric effects are present, with three different origins. The first one is extrinsic, sample-dependent, and associated with point defects. The second one, of magneto-dielectric character, is related to the individual rare earth magneto-dielectric response in cubic symmetry. The third one, only present in the Ho compound, is clearly associated with spin ice physics and correlated to the different phases of the (H, T) spin ice phase diagram. Our Monte Carlo simulations based on the electric dressing of monopoles within Khomskii’s model nevertheless show that these alone cannot explain the magneto-dielectric behavior of Ho2Ti2O7 and that more complex ingredients must be considered. These results provide a consistent picture of magneto-electric effects in the investigated pyrochlore oxides and enlighten different contributions not necessarily related to magnetic monopoles.
Results
Extrinsic electric response in the high temperature regime
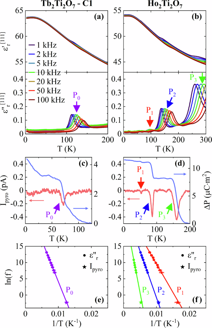
The complex permittivity for the Ho and Tb pyrochlores is shown in Fig. 2a, b up to 200 K and 300 K respectively. The two compounds behave similarly: \({\varepsilon }_{{\rm{r}}}^{{\prime} }\) hardens down to 30 K by 15–20% and then saturates. In addition, frequency-dependent dissipation peaks are visible in \({\varepsilon }_{{\rm{r}}}^{{\prime\prime} }\) associated with small anomalies in \({\varepsilon }_{{\rm{r}}}^{{\prime} }\). The two compounds also present at the same temperatures small pyroelectric current peaks (and therefore changes of the electric polarization of the order of 1 μCm−2 to 10 μCm−2) as seen in Fig. 2c. The frequency dependence of all the \({\varepsilon }_{{\rm{r}}}^{{\prime\prime} }\) peak positions follows an Arrhenius law \(f={f}_{0}\exp (-{E}_{a}/T)\) with an activation energy Ea in the 1500–5000 K range and a zero-point relaxation time τ0 = 1/(2πf0) of the order of 10−13 s, as visible in Fig. 2e, f. These values are typical of defects relaxation in oxides and have already been observed in pyrochlores21,22. Note that the measured small pyroelectric currents are a signature of the dynamics of these electric defects.
a, b Real part \({\varepsilon }_{{\rm{r}}}^{{\prime} }\) (top) and imaginary part \({\varepsilon }_{{\rm{r}}}^{{\prime\prime} }\) (bottom) of the permittivity measured at different frequencies from 1 to 100 kHz. Dissipation peaks P0 to P3 observed in \({\varepsilon }_{{\rm{r}}}^{{\prime\prime} }\) are associated with a frequency-dependent anomaly in \({\varepsilon }_{{\rm{r}}}^{{\prime} }\). c, d Pyroelectric current measured at a speed of v = 4 K/min and corresponding change of the electric polarization using a reference at 150 K (for Tb2Ti2O7) and 200 K (for Ho2Ti2O7). e, f Arrhenius plots associated with these \({\varepsilon }_{{\rm{r}}}^{{\prime\prime} }\) dissipation peaks: the measurement frequency is reported in a semi log plot as a function of the peak position in inverse temperature (dots). The straight lines are linear fits from which are extracted the activation energy and zero-point relaxation time. For the DC pyroelectric measurements (stars), we use a characteristic time of 10 s corresponding to a frequency of 0.1 Hz and the temperature was chosen at the initial rise of the pyroelectric current.
In Tb2Ti2O7, we tested the dependence of the electric response on defects concentration: two additional crystals, C2 and C3, were studied having a controlled and very small off-stoichiometry Tb2+xTi2−xO7+y with x equal to +0.003 and −0.003 respectively. We do see changes in the number of activated processes and the amplitude of the \({\varepsilon }_{{\rm{r}}}^{{\prime\prime} }\) peaks. The larger amplitude in crystal C1 (reported in Fig. 2) indicates a larger amount of defects in this sample (See Supplementary Note 1). This interpretation in terms of point defects is also supported by the absence of any clear dependence of these signals neither on the electric field orientation nor on a magnetic field up to 4 T (see Supplementary Notes 2 and 3).
Quadratic magneto-dielectric response in the intermediate temperature regime
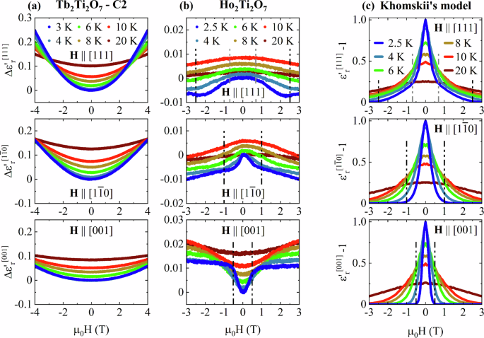
Figure 3a, b gives a view of the magneto-dielectric effects visible below 30 K for both Ho2Ti2O7 and Tb2Ti2O7 (crystal C2). All these measurements were done by applying an AC electric field E of frequency f = 10 kHz fast enough to avoid interfacial charge effects, but still much slower than the characteristic frequency of spin relaxation in Ho2Ti2O7 at 2.5 K (f ~107 Hz23) so that the electric field can safely be considered as static compared to the monopole dynamics. Since no detectable effects are present in \({\varepsilon }_{{\rm{r}}}^{{\prime\prime} }\), only \({\varepsilon }_{{\rm{r}}}^{{\prime} }\) is shown, as a function of the applied magnetic field in the same direction as the electric field. For both compounds, a quadratic dependence of \({\varepsilon }_{{\rm{r}}}^{{\prime} }\) with magnetic field is observed with a strength that increases when the temperature is lowered. Additional features superimposed on this quadratic behavior at the lowest temperatures for Ho2Ti2O7 are discussed in the next section.
Magnetic field variation of the dielectric permittivity in Tb2Ti2O7 (a) and Ho2Ti2O7 (b) below 30 K probed through the magnetic field variation of the permittivity with respect to its zero field value at 3 K and 2.5 K respectively. The electric field E is applied parallel to the static magnetic field H along the three main directions of the cubic pyrochlore structure. Note the different scales of \(\Delta {\varepsilon }_{{\rm{r}}}^{{\prime} }\) for the two compounds. For Ho2Ti2O7, the applied magnetic field was corrected from the demagnetization field to allow a correct comparison with the spin ice phase diagram. c Monte Carlo calculations of the dielectric susceptibility (εr − 1) using Khomskii’s model at the same temperatures and for the same field orientations as the measurements. It is normalized at 1 at 2.5 K and zero field. The vertical dashed lines in (c) point out to the changes in regime of the calculated dielectric susceptibility at 2.5 K. These lines are reported on the Ho2Ti2O7 measurements in panel (b) and on the magnetization measurements in Fig. 1c.
Strikingly, the sign of this quadratic effect is opposite in the two compounds for H // E ∥ [111] and \({\boldsymbol{H}}\,\parallel {\boldsymbol{E}}\,\parallel\, [1\bar{1}0]\) and identical for H // E ∥ [001]. It therefore depends on the compounds but also on the respective orientation of the electric and magnetic fields: The signs are globally inverted when E ⊥ H (see Supplementary Information part D). The amplitude of the magneto-dielectric effect is also different: it is much larger in Tb2Ti2O7, where it scales with the [111] component of the magnetic field. Finally, note that it is one order of magnitude larger than magneto-striction effects for both compounds24,25. These quadratic effects are reproducible as shown from measurements on the other Tb2Ti2O7 samples (see Supplementary Note 4). They are attributed to the dielectric response of the isolated rare-earth ions as discussed later.
Low temperature behavior in Ho2Ti2O7 and Monte Carlo simulations of Khomskii’s model
Below 10 K and down to 2.5 K, complex field dependencies are observed in Ho2Ti2O7 that are not visible in Tb2Ti2O7. Anomalies in the permittivity appear for all directions of the magnetic field: around ±2 T for H ∥ [111], around ±0.5 T for \({\boldsymbol{H}}\,\parallel\, [1\bar{1}0]\) and around ±0.75 T for H ∥ [001]. Note the different changes in shape and curvature depending on the amplitude and direction of the magnetic field. Magnetocapacitance measurements by Katsufuji et al. on a Ho2Ti2O7 single crystal give similar results for H ∥ E ∥ [001] and rather close ones for H ∥ E ∥ [111]11.
Since these features appear concomitantly to spin ice correlations, it is tempting to relate them to magneto-electric monopoles dynamics and to the spin ice phase diagram under a magnetic field. In the spin ice state, when a small magnetic field is applied along [111], in a given tetrahedron, the spin whose easy axis is parallel to the field aligns with the field, the other three remaining in a degenerate state, the kagome ice. The ice rule is nevertheless preserved. At a higher field, a crystal of monopoles is stabilized through a liquid-gas-like transition26.
For \({\boldsymbol{H}}\,\parallel\, [1\bar{1}0]\), the system can be viewed as two orthogonal chains, resulting in the polarization of the spins along the magnetic field, while the others remain disordered but have to obey the ice rule27. For H ∥[001], a topological transition, the Kasteleyn transition, occurs toward an ordered spin ice state, which maximizes the magnetization along the field28. At finite temperature, these behaviors are smoothed due to thermal fluctuations, but the magnetization curves are reminiscent of these field-induced transitions (see Fig. 1c, d).
To test if the electric signatures of the magnetic phase diagram observed in Ho2Ti2O7 are associated with the presence of monopoles, we have performed Monte Carlo simulations in the frame of Khomskii’s model using a first neighbor spin Hamiltonian6 that correctly reproduces the compound magnetization in the temperature and magnetic field range studied (Fig. 1c). The expected magneto-dielectric contribution was computed assuming that each monopole carries an electric dipole along the appropriate [111] direction (Fig. 1d). Note first that in the extended network of connected tetrahedra, the summed contribution of the local electric dipoles per tetrahedron may cancel resulting in a zero electric polarization. This is indeed what is calculated for all three directions of the magnetic field, in agreement with our measurements.
The permittivity calculated at 2.5 K is plotted in Fig. 3c. This quantity, related to the electric susceptibility, reflects the response of the electric dipoles to the modulated electric field according to their correlations. These results have to be discussed with respect to the field-induced behaviors recalled above. In zero magnetic field and at 2.5 K, spin ice correlations are present but thermal fluctuations are sufficient to produce monopole excitations and the associated local electric dipole moments, thus resulting in a non-zero dielectric permittivity. For H ∥[111], the permittivity vanishes in two steps when increasing the absolute value of the magnetic field: first, additional constraints on the possible monopoles/electric dipoles in the kagome ice phase reduces the signal and second, the stabilized crystal of monopoles and antimonopoles results into anti-aligned electric dipoles with a zero contribution. For \({\boldsymbol{H}}\,\parallel\, [1\bar{1}0]\), the signal goes to zero, despite the fact that thermally excited monopoles can be present. This is attributed to the fact that the corresponding electric dipoles are oriented perpendicular to the exciting field \({\boldsymbol{E}}\,\parallel [1\bar{1}0]\). For H ∥ [001], the signal vanishes rapidly, as expected, since the saturated phase supports no magnetic monopole.
The magnetic fields corresponding to the changes of regime in the calculated Khomskii’s electric susceptibility (indicated by vertical dashed lines in Fig. 3 and reported on the magnetization curves of Fig. 1c) indicate the field-induced spin reorientations. They coincide quite well with the features observed in our permittivity measurements, establishing the electric sensitivity of Ho2Ti2O7 to the magnetic phase diagram of its spin ice ground state dressed with monopoles. However, the shape of the measured dielectric permittivity is not globally reproduced by the calculation, as discussed below.
Discussion
We can then describe the electric effects in these pyrochlores with three different contributions. The first one, observable in Ho as well as in Tb compounds, is associated with defect relaxation processes and has no magnetic field dependence. These defects are probably related to Ti and O ions since they are present in both compounds. Similar activated processes were previously observed in Dy2Ti2O7 and Ho2Ti2O714,22 with comparable activation energies. It should be emphasized that this defect contribution is certainly responsible for the small electric polarization measured previously in Dy, Ho and Tb compounds14,15,16,19: a few μC × m−2 in these systems14,15,16 to be compared to 6 × 105 μC × m−2 in the well known multiferroic BiFeO329. We unambiguously show that these signals were therefore wrongly attributed to the monopole electrical contribution.
The second contribution, quadratic with magnetic field, is visible mainly below 30 K. It can be described phenomenologically through the quadratic magneto-dielectric tensor δ of these cubic pyrochlore systems. Indeed, the quadratic variation of \({\varepsilon }_{{\rm{r}}}^{{\prime} }\) can be expressed as
where ei,j and hk,l are the normalized components of the applied low frequency AC electric field E and static magnetic field H respectively and δijkl are the components of the quadratic magneto-dielectric tensor δ. Due to the high symmetry of pyrochlore compounds, only a few components are non-zero. The magnetic space groups of the different magnetic phases in the spin ice phase diagram, as well as the corresponding usual reduced 6 × 6 matrix form of the δ tensor, are given in Supplementary Note 5. Assuming continuous and small field-induced departures of the magnetic structure at T ≥ 20 K, we show that \(\Delta {\varepsilon }_{{\rm{r}}}^{{\prime} }(H)\), in all our experimental configurations, can be expressed as a function of only three independent δ components, δxx, δxy and δ44, of the paramagnetic space group \({\rm{Fd}}\bar{3}{\rm{m}}{1}^{{\prime} }\) (see Table 1 and Supplementary Information part F). From our experimental results, we further deduce that for both compounds δxy(T) ≈ 0 and δxx(T) > 0 with a value two times larger in Tb2Ti2O7. Finally, δ44(T) is positive for Tb2Ti2O7 and negative for Ho2Ti2O7, with a magnitude seven times larger in Tb2Ti2O7 (see Table 1).
This variability of behaviors according to the rare earth reveals a contribution of single-ion nature to the magneto-dielectric response functions. Possible mechanisms have been discussed in the framework of multiferroic rare-earth ferroborates30. Our measurements allow to quantify the magneto-dielectric response of these ions in the pyrochlore compounds, which is found much larger in Tb than in Ho compound. Interestingly, Tb2Ti2O7 is also known to present large dynamical spin-lattice couplings already at high temperature24,31,32,33,34 that contribute to the unconventional spin liquid behavior reported at very low temperature. The observed giant magneto-dielectric effect suggests that these dynamical spin-lattice fluctuations are electrically active.
The last and most original magneto-dielectric contribution, visible below 10 K only in Ho2Ti2O7, is strongly related to the spin ice magnetic phase diagram. The additional contributions to the quadratic dependency of \({\varepsilon }_{{\rm{r}}}^{{\prime} }\) are indeed observed at the phase boundaries between different spin arrangements for H ∥ [111] and \({\boldsymbol{H}}\,\parallel [1\bar{1}0]\). However, Khomskii’s model cannot account for some of the observed behavior as a function of magnetic field. For H ∥ [111], there is no peak centered at H = 0 in the measurements contrary to the calculations. Instead, a slow decrease followed by a steeper one is observed up to ±2 T. This is close to what is reported in the Dy2Ti2O7 spin ice12,13, with a signal around 1 T, broad at 2 K and narrowing down to 0.4 K, below which it disappears. This signal was attributed to a speeding up of criticality and therefore a drastic change of monopole density around the liquid-gas transition13. Another discrepancy, even more obvious, occurs for H ∥ [001]. There, we observe an increase in \(\Delta {\varepsilon }_{{\rm{r}}}^{{\prime} }(H)\) while the density of monopoles is known to decrease and fall to zero since the magnetic field is stabilizing an ordered two-in two-out spin structure without monopoles.
Additional ingredients should therefore be considered. First of all, our calculations include the magnetic dipolar interactions through their first neighbor part only, giving an effective first neighbor interaction J = 1.8 K. The long-range part, which manifests into Coulomb interactions between monopoles4, is known to play a role in particular in its lowest temperature range9,35. Dipolar electric interactions have not been included either, while they may stabilize ordered electric arrangement18. However, all these dipolar effects should only alter slightly the monopole density and therefore its contribution to the dielectric permittivity and therefore cannot explain, for instance, the change of sign of the magneto-dielectric effect between our calculations and the experiments when E ∥ H ∥ [001]. We therefore seek another contribution, especially large for H ∥ [001] when two-in two-out configurations are present, that would mask Khomskii’s contribution. Although neither exchange-striction nor spin currents are foreseen to generate electric dipoles in such symmetric local configurations, we performed additional calculations by imposing an arbitrary electric dipole proportional to the total magnetization of each tetrahedron. These were qualitatively able to reproduce the observed permittivity for H ∥[001]. However, no global agreement was achieved for other directions of the magnetic and electric fields. Additional calculations were attempted referring to several phenomenological proposals in the literature that associate the permittivity either to the nearest-neighbor spin correlations or to the nearest-neighbor tetrahedron magnetization correlations12. Those models were also unsuccessful in accounting for our measurements performed for many configurations of E and H, which therefore provide a very constrained set of data contrary to previous studies11,12,13. Note that the largest discrepancy between Khomskii’s model and our measurements occurs for H ∥ [001], which could be related to the topological nature of the transition to the saturated state at low temperature along this direction28.
The absence of a similar signal in Tb2Ti2O7 could be due to the departure of Tb2Ti2O7 from classical spin ice physics. The magnetic moments associated with the Tb3+ ions have a much weaker Ising character allowing them to tilt in a magnetic field, thus altering the spin ice phase diagram. Actually, the enhanced quantum fluctuations in Tb2Ti2O7 bring it closer to a quantum spin liquid. Khomskii’s mechanism, conferring an electric dipole to any monopole configuration, was nevertheless predicted to occur in Tb2Ti2O7 under magnetic field and to stabilize a bilayered crystal of monopoles18. We did not observe any magneto-electric signature of this behavior, probably because these subtle effects are masked by the strong single-ion quadratic magneto-dielectric contribution in this compound.
In conclusion, based on dielectric measurements, we have succeeded in disentangling the various contributions involved in the electrical response of pyrochlore compounds. In addition to extrinsic contributions at high temperature, we have isolated a quadratic single-ion response that seems particularly large in Tb2Ti2O7 and could shed further light on the pathological behavior of this quantum spin liquid material. At the lowest temperature, in the canonical spin ice Ho2Ti2O7, we observed a clear signature in the permittivity of the spin-ice correlation regime, in all magnetic field directions. These subtle features were confronted with calculations assuming the dressing of magnetic monopoles by electric dipoles as proposed by Khomskii1. The absence of full agreement between experiments and modelization clearly shows that the direct observation of the monopole electric moments is masked by other stronger contributions. One of them, which has not been considered so far, is the rare earth single-ion magneto-dielectric effect that we have shown to be present with a quadratic dependence on the magnetic field and an increased amplitude at low temperatures. This induced electric moment should interact with the electrically dressed monopoles and may be responsible for the complex magneto-dielectric response of this spin ice compound.
Methods
Ho2Ti2O7 and Tb2Ti2O7 single crystals were grown following the procedure described in ref. 36 with a slow growth rate of 2 mm/h. All crystals were then annealed in O2 atmosphere to remove thermal stress and adjust the oxygen stoichiometry. Tb2Ti2O7 samples C2 and C3 are those studied in ref. 37. The magnetic and magneto-electric characterizations were performed on three different plaquettes to probe the electric response along the three main directions of the cubic pyrochlore structure: [111], \([1\bar{1}0]\) and [001]. These plaquettes were cut from the same single crystal with typical dimensions of 3 × 3 × 0.2 mm3.
Magnetization measurements were performed using a custom extraction magnetometer in the temperature range 1.5–300 K using magnetic field up to 4 T. The plaquettes were aligned perpendicular to the magnetic field with an accuracy of a few degrees. Corrections for demagnetization fields were applied.
For magneto-dielectric measurements, silver paste was used as electrodes to constitute a parallel plate capacitor. The impedance was measured thanks to an impedance meter Agilent E4980A operating in the frequency range f = 1 kHz to 500 kHz with the applied AC electric field E perpendicular to the plaquette. Using an RC parallel circuit model, the real and imaginary parts of the sample (relative) permittivity (dielectric constant) εr was deduced from the following formula: \(C={\varepsilon }_{0}{\varepsilon }_{{\rm{r}}}^{{\prime} }S/d\) and \(1/R\omega ={\varepsilon }_{0}{\varepsilon }_{{\rm{r}}}^{{\prime\prime} }S/d\) where S is the plaquette surface, d its thickness, ε0 is the vacuum permittivity. Neglecting the magneto-striction and dilatation effects24,25, the temperature and magnetic field dependence of C and R are directly related to those of the permittivity \(\Delta C/C\,\approx\, \Delta {\varepsilon }_{{\rm{r}}}^{{\prime} }/{\varepsilon }_{{\rm{r}}}^{{\prime} }\) and \(\Delta R/R\approx -\Delta {\varepsilon }_{{\rm{r}}}^{{\prime\prime} }/{\varepsilon }_{{\rm{r}}}^{{\prime\prime} }\). A custom horizontal split-ring superconducting magnet allows to apply magnetic fields μ0H up to 4 T in different orientations with respect to the sample capacitor. Measurements with E ∥ H and E ⊥ H were performed in the temperature range 2.5–300 K. To ensure a good comparison with the spin ice phase diagram of Ho2Ti2O7, corrections for demagnetization fields were applied for the Ho2Ti2O7 plaquettes using a demagnetization coefficient of 0.9 for E ∥H and 0.05 for E⊥H.
Pyroelectric measurements were performed on the same capacitor-like samples using a femto-electrometer Keithley 6517B. The samples were cooled down to 2 K with an electric bias of 200 V. At 2 K, the electric bias was removed and the temperature stabilized for 30 min to ensure evacuation of the charges accumulated on the electrodes. The sample was then heated at a constant rate of \(4\,{\rm{K}}\cdot{\min }^{-1}\) and the pyroelectric current was measured as a function of time and then converted as a function of temperature. The polarization was obtained by integrating the pyroelectric current using a reference at high temperature.
The magnetization and permittivity curves have been calculated through Monte Carlo simulations, combining a single spin-flip Metropolis update with a loop algorithm38, on 16 × L3 lattice sites with L = 8 and periodic boundary conditions. The Hamiltonian includes an effective first neighbor ferromagnetic interaction J = 1.8 K between Ising spins, and a Zeeman contribution accounting for the applied magnetic field. The dielectric susceptibility was computed over 105 steps by evaluating the fluctuations of the electrical polarization following Khomskii’s model: an electric dipole was associated with each tetrahedron with a 3-in 1-out and 3-out 1-in configuration, the dipole being oriented from the center of the tetrahedron to the spin with a different orientation from the other three1. The associated permittivity was then derived from the susceptibility. The calculated magnetization curves were normalized to the measurements using a magnetic moment of 9.55 μB for the Ho3+ ion (see Fig. 1c).
Data availability
The datasets used or analyzed during the current study are available from the corresponding authors upon reasonable request.
Code availability
The code used for this study is not publicly available but may be made available to qualified researchers on reasonable request from the corresponding author.
References
Khomskii, D. I. Electric dipoles on magnetic monopoles in spin ice. Nat. Commun. 3, 904 (2012).
Harris, M. J., Bramwell, S. T., McMorrow, D. F., Zeiske, T. & Godfrey, K. W. Geometrical frustration in the ferromagnetic pyrochlore Ho2Ti2O7. Phys. Rev. Lett. 79, 2554 (1997).
Ryzhkin, I. A. Magnetic relaxation in rare-earth oxide pyrochlores. J. Exp. Theor. Phys. 101, 481 (2005).
Castelnovo, C., Moessner, R. & Sondhi, S. L. Magnetic monopoles in spin ice. Nature 451, 42 (2008).
Dusad, R. et al. Magnetic monopole noise. Nature 571, 234 (2019).
Bramwell, S. T. & Harris, M. J. The history of spin ice. J. Phys. Condens. Matter 32, 374010 (2020).
Udagawa, M. & Jaubert, L. (eds) Spin Ice, Vol. 197 (Springer, 2021).
den Hertog, B. C. & Gingras, M. J. P. Dipolar interactions and origin of spin ice in ising pyrochlore magnets. Phys. Rev. Lett. 84, 3430 (2000).
Jaubert, L. D. C. & Holdsworth, P. C. W. Magnetic monopole dynamics in spin ice. J. Phys. Condens. Matter 23, 164222 (2011).
Harris, M. J., Bramwell, S. T., Holdsworth, P. C. W. & Champion, J. D. M. Liquid-gas critical behavior in a frustrated pyrochlore ferromagnet. Phys. Rev. Lett. 81, 4496 (1998).
Katsufuji, T. & Takagi, H. Magnetocapacitance and spin fluctuations in the geometrically frustrated magnets R2Ti2O7 (R = rare earth). Phys. Rev. B 69, 064422 (2004).
Saito, M., Higashinaka, R. & Maeno, Y. Magnetodielectric response of the spin-ice Dy2Ti2O7. Phys. Rev. B 72, 144422 (2005).
Grams, C. P., Valldor, M., Garst, M. & Hemberger, J. Critical speeding-up in the magnetoelectric response of spin-ice near its monopole liquid-gas transition. Nat. Commun. 5, 4853 (2014).
Dong, X. W., Wang, K. F., Luo, S. J., Wan, J. G. & Liu, J.-M. Coexistence of magnetic and ferroelectric behaviors of pyrochlore Ho2Ti2O7. J. Appl. Phys. 106, 104101 (2009).
Liu, D. et al. Multiferroicity in spin ice Ho2Ti2O7: an investigation on single crystals. J. Appl. Phys. 113, 17D901 (2013).
Lin, L. et al. Experimental observation of magnetoelectricity in spin ice Dy2Ti2O7. N. J. Phys. 17, 123018 (2015).
Rau, J. G. & Gingras, M. J. Frustrated quantum rare-earth pyrochlores. Annu. Rev. Condens. Matter Phys. 10, 357 (2019).
Jaubert, L. D. C. & Moessner, R. Multiferroicity in spin ice: towards magnetic crystallography of Tb2Ti2O7 in a field. Phys. Rev. B 91, 214422 (2015).
Santhosh Kumar, B., Narayana Perumal, R. & Venkateswaran, C. Concurrence of ferroelectric, dielectric and magnetic behaviour in Tb2Ti2O7 pyrochlore. Phys. Lett. A 389, 127085 (2021).
Jin, F. et al. Experimental identification of electric dipoles induced by magnetic monopoles in Tb2Ti2O7. Phys. Rev. Lett. 124, 087601 (2020).
Kamba, S., Porokhonskyy, V., Pashkin, A., Bovtun, V. & Petzelt, J. Anomalous broad dielectric relaxation in Bi1.5Zn1.0Nb1.5O7 pyrochlore. Phys. Rev. B 66, 054106 (2002).
Yadav, P. K., Tolkiehn, M. & Upadhyay, C. Dielectric relaxations in Ho2Ti2O7 and Dy2Ti2O7 pyrochlores. J. Phys. Chem. Solids 134, 201 (2019).
Ehlers, G. et al. Dynamic spin correlations in stuffed spin ice Ho2+xTi2−xO7−δ. Phys. Rev. B 77, 052404 (2008).
Aleksandrov, I. V. et al. Crystal field effects and the nature of the giant magnetostriction in terbium dititanate. J. Exp. Theor. Phys. 62, 1287 (1985).
Stöter, T. Static and Dynamic Magnetoelastic Properties of Spin Ice. Ph.D. thesis, Technische Universität Dresden (2019).
Sakakibara, T., Tayama, T., Hiroi, Z., Matsuhira, K. & Takagi, S. Observation of a liquid-gas-type transition in the pyrochlore spin ice compound Dy2Ti2O7 in a magnetic field. Phys. Rev. Lett. 90, 207205 (2003).
Clancy, J. P. et al. Revisiting static and dynamic spin-ice correlations in Ho2Ti2O7 with neutron scattering. Phys. Rev. B 79, 014408 (2009).
Jaubert, L. D. C., Chalker, J. T., Holdsworth, P. C. W. & Moessner, R. Three-dimensional Kasteleyn transition: spin ice in a [100] field. Phys. Rev. Lett. 100, 067207 (2008).
Lebeugle, D. et al. Room-temperature coexistence of large electric polarization and magnetic order in BiFeO3 single crystals. Phys. Rev. B 76, 024116 (2007).
Popov, A. I., Plokhov, D. I. & Zvezdin, A. K. Quantum theory of magnetoelectricity in rare-earth multiferroics: Nd, Sm, and Eu ferroborates. Phys. Rev. B 87, 024413 (2013).
Mamsurova, L. G., Pigal’skiĭ, K. S. & Pukhov, K. K. Low-temperature anomaly of the elastic modulus in Tb2Ti2O7. J. Exp. Theor. Phys. Lett. 43, 584 (1986).
Nakanishi, Y. et al. Elastic properties of the rare-earth dititanates R2Ti2O7 (R = Tb, Dy, and Ho). Phys. Rev. B 83, 184434 (2011).
Guitteny, S. et al. Anisotropic propagating excitations and quadrupolar effects in Tb2Ti2O7. Phys. Rev. Lett. 111, 087201 (2013).
Constable, E. et al. Double vibronic process in the quantum spin ice candidate Tb2Ti2O7 revealed by terahertz spectroscopy. Phys. Rev. B 95, 020415(R) (2017).
Hallén, J. N., Grigera, S. A., Tennant, D. A., Castelnovo, C. & Moessner, R. Dynamical fractal and anomalous noise in a clean magnetic crystal. Science 378, 1218–1221 (2022).
Gardner, J., Gaulin, B. & Paul, D. Single crystal growth by the floating-zone method of a geometrically frustrated pyrochlore antiferromagnet, Tb2Ti2O7. J. Cryst. Growth 191, 740 (1998).
Alexanian, Y. et al. Vibronic collapse of ordered quadrupolar ice in the pyrochlore magnet Tb2+xTi2−xO7+y. Phys. Rev. B 107, 224404 (2022).
Lefrançois, E. et al. Fragmentation in spin ice from magnetic charge injection. Nat. Commun. 8, 209 (2017).
Author information
Authors and Affiliations
Contributions
The project was initiated by S.dB. The single crystals were grown and characterized structurally by C.D.; they were shaped and oriented by Y.A. and J.D. Their magnetic properties were measured and analyzed by Y.A. and S.dB., and their magneto-dielectric properties by Y.A., J.S., F.G. and S.dB. Monte Carlo simulations were performed by Y.A. and J.R. The results were discussed and then shaped into the manuscript by Y.A., C.D., J.R., R.B., E.L., V.S. and S.dB.
Corresponding authors
Ethics declarations
Competing interests
The authors declare no competing interests.
Additional information
Publisher’s note Springer Nature remains neutral with regard to jurisdictional claims in published maps and institutional affiliations.
Supplementary information
Rights and permissions
Open Access This article is licensed under a Creative Commons Attribution-NonCommercial-NoDerivatives 4.0 International License, which permits any non-commercial use, sharing, distribution and reproduction in any medium or format, as long as you give appropriate credit to the original author(s) and the source, provide a link to the Creative Commons licence, and indicate if you modified the licensed material. You do not have permission under this licence to share adapted material derived from this article or parts of it. The images or other third party material in this article are included in the article’s Creative Commons licence, unless indicated otherwise in a credit line to the material. If material is not included in the article’s Creative Commons licence and your intended use is not permitted by statutory regulation or exceeds the permitted use, you will need to obtain permission directly from the copyright holder. To view a copy of this licence, visit http://creativecommons.org/licenses/by-nc-nd/4.0/.
About this article
Cite this article
Alexanian, Y., Saugnier, J., Decorse, C. et al. Exploring possible magnetic monopoles-induced magneto-electricity in spin ices. npj Quantum Mater. 9, 72 (2024). https://doi.org/10.1038/s41535-024-00676-w
Received:
Accepted:
Published:
Version of record:
DOI: https://doi.org/10.1038/s41535-024-00676-w





