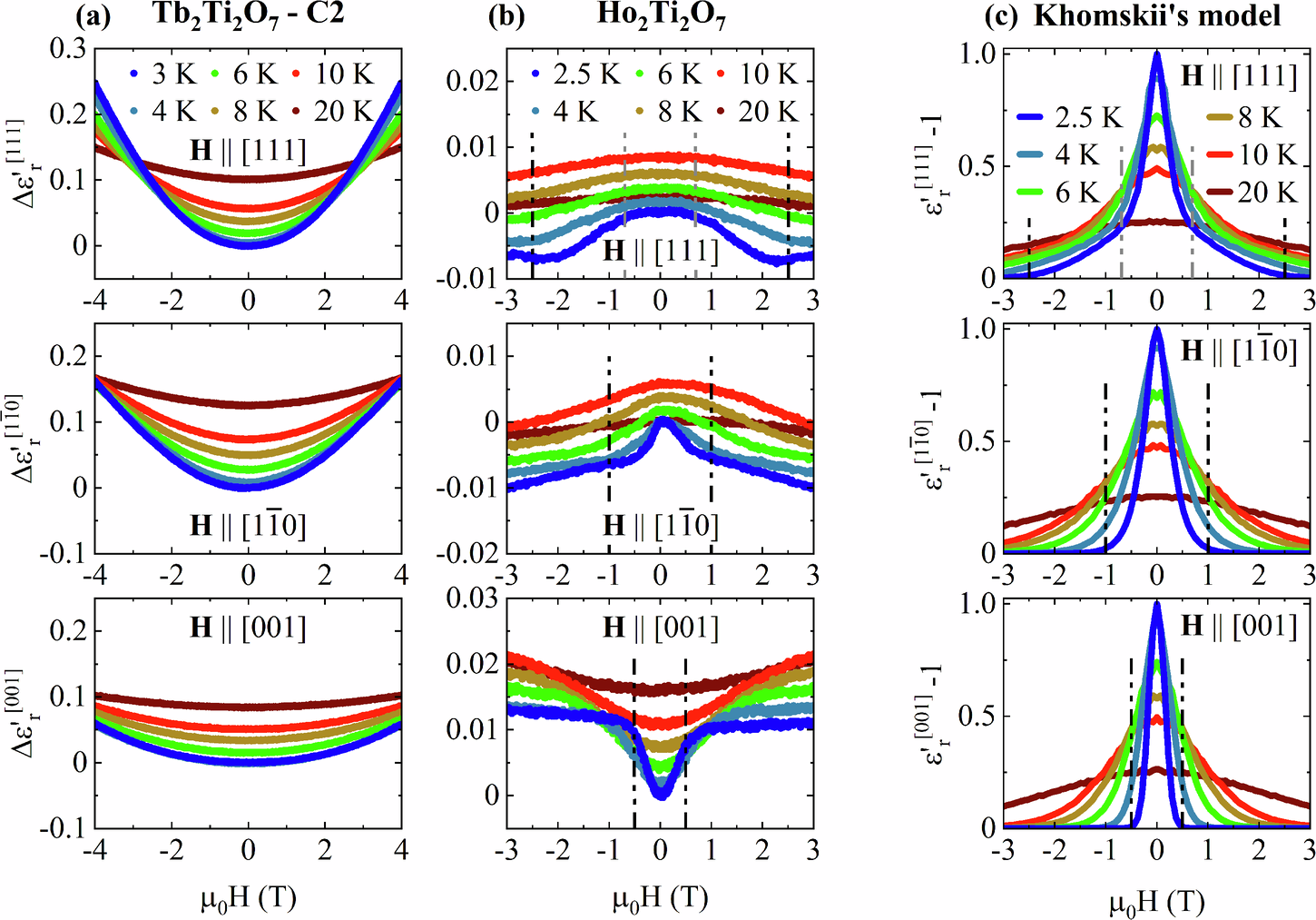
Fig. 3: Magneto-dielectric effects at low temperature in Tb2Ti2O7 and Ho2Ti2O7 compared to Khomskii’s model.
From: Exploring possible magnetic monopoles-induced magneto-electricity in spin ices

Magnetic field variation of the dielectric permittivity in Tb2Ti2O7 (a) and Ho2Ti2O7 (b) below 30 K probed through the magnetic field variation of the permittivity with respect to its zero field value at 3 K and 2.5 K respectively. The electric field E is applied parallel to the static magnetic field H along the three main directions of the cubic pyrochlore structure. Note the different scales of \(\Delta {\varepsilon }_{{\rm{r}}}^{{\prime} }\) for the two compounds. For Ho2Ti2O7, the applied magnetic field was corrected from the demagnetization field to allow a correct comparison with the spin ice phase diagram. c Monte Carlo calculations of the dielectric susceptibility (εr − 1) using Khomskii’s model at the same temperatures and for the same field orientations as the measurements. It is normalized at 1 at 2.5 K and zero field. The vertical dashed lines in (c) point out to the changes in regime of the calculated dielectric susceptibility at 2.5 K. These lines are reported on the Ho2Ti2O7 measurements in panel (b) and on the magnetization measurements in Fig. 1c.