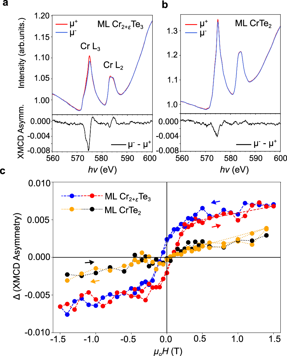
Fig. 3: X-ray magnetic circular dichroism of Cr2+εTe3 and CrTe2.
From: From ferromagnetic semiconductor to antiferromagnetic metal in epitaxial CrxTey monolayers

a, b Total-electron yield XAS measurements performed using left- and right-circularly polarised X-rays (μ±), measured from (a) Cr2+εTe3 and (b) CrTe2 monolayer samples across the Cr L2,3 absorption edge at 10 K in a 1 T applied magnetic field. The corresponding XMCD asymmetry [\(({I}^{{\mu }^{-}}-{I}^{{\mu }^{+}})/({I}^{{\mu }^{-}}+{I}^{{\mu }^{+}})\)] is shown below. c Peak-to-peak span of the XMCD L3-edge asymmetry (Δ(XMCD Asymm.), see Supplementary Fig. 4) as a function of the applied magnetic field. Arrows indicate the direction of the magnetic field ramping.