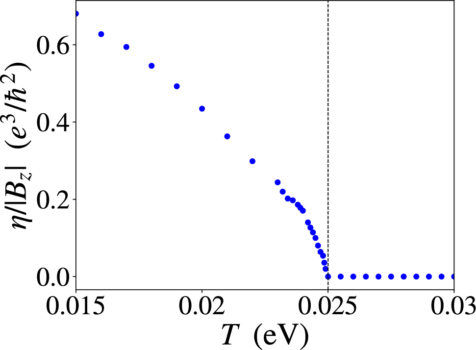
Fig. 4: Evolution of the magnetoconductivity anisotropy across an altermagnetic phase transition.
From: Berry curvature-induced transport signature for altermagnetic order

The anisotropy is calculated numerically from the tight-binding model given by Eq. (15). The chemical potential is set at μ = 0. The other parameters used are λ = 0.4 eV, t = 0.15 eV, J0 = 1 eV, and ℏ/τ = 0.066 eV. The dashed line indicates the critical temperature Tc.