Abstract
Altermagnetism has been detected in several materials using spin-sensitive probes. These measurements require rather complex setups that make it challenging to track variations in altermagnetic order, e.g., to identify a temperature-tuned altermagnetic phase transition. We propose a simple transport measurement that can probe the order parameter for d-wave altermagnetism. We suggest magnetoconductivity anisotropy—the difference between the two principal values of the magnetoconductivity tensor. This quantity can be easily measured as a function of temperature, without any spin-selective apparatus. It acquires a nonzero value in a C4K phase, where C4 rotations and time reversal K are not symmetries but their combination is. This effect can be traced to the modification of phase space density due to Berry curvature, which we demonstrate using semiclassical equations of motion for band electrons. As an illustration, we build a minimal tight-binding model with altermagnetic order that breaks C4 and K symmetries while preserving C4K.
Similar content being viewed by others
Transport measurements have emerged as powerful probes of band topology in condensed matter systems1,2,3,4,5,6,7,8. This is due to the strong effect of Berry curvature on charge carrier dynamics, analogous to external electromagnetic fields8,9. In the semiclassical transport regime, Berry curvature effects arise from two factors: (i) an anomalous contribution to wavepacket velocity and (ii) a correction to the density of states in phase space10,11,12,13. The former has received considerable attention, e.g., as providing an intrinsic contribution to various transport properties6,14. The latter is relatively less studied, especially in the context of electronic transport. Here, we demonstrate that this latter effect leads to a magnetoconductance anisotropy in C4K materials. We interpret this quantity as an order parameter which can be used to identify an altermagnetic phase transition.
It is well known that Berry curvature is highly constrained by symmetries. A Berry curvature monopole can only appear in systems that break time reversal (TR) symmetry. A Berry dipole requires breaking of inversion symmetry15. Recent studies have shown that a Berry curvature quadrupole can appear in systems with C4K symmetry16,17. Here, both TR symmetry (K) and a fourfold rotational symmetry (C4) are broken, while their combination C4K remains a symmetry. In such systems, there is no Berry curvature-induced conductivity in linear or quadratic orders in the applied electric field. It appears only at the third order in the applied electric field. In this paper, we focus on magnetoconductivity anisotropy—a transport signature that requires both external electric and magnetic fields. Crucially, being related to the Berry quadrupole, this quantity is present in d-wave altermagnetic materials that exhibit C4K symmetry18,19,20. Intriguingly, the very same symmetry requirements are also invoked in chiral higher-order topological crystalline insulators21. Here, we restrict our attention to metallic systems where conductivity can be viewed as a Fermi-surface property7,22.
Results
We consider a transport setup where the sample is a metal with C4K symmetry. We apply a weak external magnetic field \({\boldsymbol{B}}={B}_{z}\hat{{\boldsymbol{z}}}\), with the z axis taken to coincide with the fourfold axis. We apply an external dc electric field E in the xy plane. From current measurements, we extract the conductivity tensor \(\hat{\sigma }({B}_{z})\) as follows:
This tensor is non-diagonal in general, so we seek to calculate its principal values. This can be done by rotating the measurement apparatus about the z axis (\(x,y\to {x}^{{\prime} },{y}^{{\prime} }\)), until the off-diagonal elements are equal and opposite in sign, i.e., \({\sigma }_{{x}^{{\prime} }{y}^{{\prime} }}=-{\sigma }_{{y}^{{\prime} }{x}^{{\prime} }}\). This corresponds to a transverse response that has pure Hall character. The longitudinal response is captured by the diagonal entries \({\sigma }_{{x}^{{\prime} }{x}^{{\prime} }}\) and \({\sigma }_{{y}^{{\prime} }{y}^{{\prime} }}\), which constitute the principal values. We focus on the anisotropy parameter, defined as
In practice, the anisotropy can be determined without rotating the apparatus—by applying the electric field along two perpendicular axes, x and y, and measuring currents along x and y in each case – see discussion below.
Below, we focus on the weak field limit and expand the conductivity tensor as follows:
where the first term represents the conductivity in the absence of a magnetic field. We refer to the magnetic field-dependent contribution, αij, as the magnetoconductivity tensor.
We separate each element of \({\tilde{\sigma }}_{ij}\) and αij into two contributions: one that does not involve Berry curvature and one that does. The former ones, designated as “Drude” (D), are given by
Here, \({\epsilon }_{\ell n3}\) is the Levi-Civita symbol and \(\tau\) is the relaxation time. The transverse response, \({\alpha }_{xy}^{\,\text{D}\,}\), represents the conventional Hall conductivity, which originates from Lorentz force23,24, τ . The Berry curvature-dependent contributions (B) have the form
where Ωz is the Berry curvature, see Methods section below. The second line here corresponds to the anomalous Hall conductivity14,25. For the Berry-curvature contribution to the magnetoconductivity, we obtain
Here, in the interest of brevity, we have suppressed contributions that are proportional to the magnetic moment of the wavepacket. In the Supplementary Material26, we provide explicit expressions and argue that they have the same symmetry properties as the contribution from Eq. (8). Notably, \({\alpha }_{ij}^{\,\text{B}\,}\) above originates from the phase-space-volume modification factor D(k) (see Methods). From the expression (8), we see that this quantity is related to the quadrupole moment of the Berry curvature.
Symmetry arguments
We consider a material that undergoes a temperature-tuned altermagnetic phase transition as shown in Fig. 1. In the “normal” phase above Tc, the material has both C4 and K symmetries. In the altermagnetic phase below Tc, C4 and K are broken, but C4K is preserved. In addition, the material has C2 symmetry, as applying C4K twice results in C2. The symmetry properties of the velocity v and the Berry curvature Ωz are summarized in Table 1.
Symmetry change across a temperature-tuned d-wave altermagnetic phase transition.
In the normal phase, C4 symmetry immediately forces η = 0, i.e., there can be no conductivity anisotropy. In the altermagnetic phase, we consider the expressions obtained from Boltzmann transport in Eqs. ((4)-(8)). These expressions are strongly constrained by C4K symmetry. Namely, for the Drude contributions we have
For the Berry curvature-induced contributions to magnetoconductivity, we obtain
Note that the Berry curvature-induced contribution is purely symmetric.
To extract the anisotropy in conductivity, we express the conductivity tensor in Eq. (1) as
where \({\hat{\tau }}_{0}\) is the 2 × 2 identity matrix and \({\hat{\tau }}_{1,2,3}\) are Pauli matrices. Here,
-
σ0 represents the rotationally symmetric longitudinal conductivity arising from \({\hat{\tilde{\sigma }}}^{{\rm{D}}}\);
-
σ1 is the symmetric transverse response arising from \({\hat{\alpha }}^{{\rm{B}}}\);
-
σ2 represents the anti-symmetric transverse conductivity or the Hall response, originating from \({\hat{\alpha }}^{{\rm{D}}}\) (note that σ2 is purely imaginary);
-
σ3 is the anisotropic longitudinal response, also arising from \({\hat{\alpha }}^{{\rm{B}}}\).
To identify the principal axes of the conductivity tensor, we rotate the setup about the z axis by an angle θ. This is achieved by a transformation of the form \({\hat{\sigma }}^{{\prime} }={e}^{-i\theta {\hat{\tau }}_{2}}\hat{\sigma }{e}^{i\theta {\hat{\tau }}_{2}}\). With an appropriate choice of θ, we obtain
The off-diagonal part, given by \({\sigma }_{2}{\hat{\tau }}_{2}\), is purely anti-symmetric. It represents a Hall response that cannot be removed by rotating the axes. The \({\sigma }_{0}{\hat{\tau }}_{0}\) term represents an isotropic response.
We identify \(\sqrt{{\sigma }_{1}^{2}+{\sigma }_{3}^{2}}\) as the source of the conductivity anisotropy, defined in Eq. (2). Remarkably, according to the C4K symmetry constraints, see Eqs. (9) and (10), it arises solely due to the Berry curvature-induced component of magnetoconductivity:
We note that, in order to determine η, it suffices to apply an electric field along two directions: x and y. This allows for measuring all four components of the conductivity tensor. By recasting it in the form of Eq. (11), one can immediately find η.
In summary, η vanishes in the normal phase above Tc. It acquires a non-zero value in the ordered altermagnetic phase—due to the Berry curvature-induced magnetoconductivity of Eq. (8). Crucially, η can be measured with a simple transport apparatus, without any spin-selective components. Thus, η can serve as an easily-measurable “order parameter” for the altermagnetic transition.
Toy model
As a minimal model for a C4K material, we consider a two-band system in two dimensions (2D) described by a Hamiltonian \(\hat{H}({\boldsymbol{k}})={d}_{0}({\boldsymbol{k}}){\tau }_{0}+{\boldsymbol{d}}({\boldsymbol{k}})\cdot \hat{{\boldsymbol{\tau }}}\), where \(\hat{{\boldsymbol{\tau }}}\) is a vector of Pauli matrices that act on the spin degree of freedom. We have two bands with energies given by d0(k) ± ∣d(k)∣. At momenta that are invariant under C4K, we must necessarily have d(k) = 0, corresponding to a band degeneracy. In the neighbourhood of each such point, we have the following effective model17:
where k is measured from the degeneracy point. This is the most general form of a two-band Hamiltonian that is consistent with the antiunitary C4K symmetry. If additional symmetries are present, then some of the terms vanish. For example, if the symmetry group below Tc contains an additional mirror reflection σy, then b1 = m1 = 0.
To better understand the origin of various terms in the Hamiltonian, we construct a tight-binding model that reproduces Eq. (14) near the degeneracy points. As illustrated in Fig. 2, apart from the usual hopping processes, we have spin-dependent hoppings between next-nearest neighbours which arise from the Rashba spin-orbit coupling. We also introduce “altermagnetic order parameters”, J1 and J2, which encode preferential hopping of each spin along nearest and next-nearest neighbour bonds. Crucially, the J1 and J2 processes break both C4 and K symmetries, but preserve C4K. The Hamiltonian has the following form in momentum space:
where t denotes the hopping parameter and λ corresponds to the Rashba spin-orbit coupling. We set the lattice constant to unity. The band spectrum has Dirac points at two C4K-invariant momenta: k = (0, 0) and (π, π), corresponding to Γ and M points in the Brillouin zone, respectively.
a On an underlying square lattice, we have standard hopping processes between nearest neighbours. Along diagonals, we have Rashba-like hoppings shown as blue dotted lines. Altermagnetic order is captured in two spin-dependent hopping processes: J1 between nearest neighbours (red dashed lines) and J2 between next nearest neighbours (black dashed lines). b The C4K symmetry of the altermagnetic phase can be seen in the Berry curvature distribution, shown here for the upper band. The parameters used are λ = 0.4 eV, t = 0.15 eV, J1 = J2 = 1 eV.
Energy bands along a high-symmetry path in the Brillouin zone are shown in Fig. 3(a, c). The Γ and M points always host gapless Dirac nodes. Without altermagnetic order (J1 = J2 = 0), the system is invariant under both C4 and K, and two additional gapless Dirac nodes appear at X and Y. The band degeneracies at X and Y are removed by altermagnetic order. At zero chemical potential, two Fermi pockets form around each Dirac point, as shown in Fig. 3(b, d).
a Band energies along a high-symmetry contour and b Fermi surfaces in the altermagnetic phase with J1 = J2 ≠ 0. c, d Band structure and Fermi surfaces without altermagnetic order, i.e., with J1 = J2 = 0. The chemical potential μ is set to zero.
Conductivity tensor in the toy model
We now derive analytic expressions for conductivities. Starting from the tight-binding bands obtained from Eq. (15) and focusing on the vicinity of each Dirac point, we recover the long-wavelength form of Eq. (14)—see the Supplementary Material26. Around the Γ point, the model parameters are given by a0 = −2t, a1 = t/2, b1 = b2 = λ/2, m1 = − J1/2, m2 = J2/2. Near the M point, we have a0 = 2t, a1 = t/2, b1 = b2 = λ/2, m1 = J1/2, and m2 = J2/2.
At each Dirac node, we have an upper band and a lower band. Their Berry curvatures are given by
where ζ = +1 around Γ and −1 around M. The upper (lower) sign applies for the upper (lower) band. Note that the Berry curvature is nonzero only if both altermagnetic order and the spin-orbit coupling are present.
We assume that the Fermi energy is close to both Dirac points, resulting in two small Fermi pockets. For concreteness, we suppose that the Fermi energy crosses only the lower band at each pocket. We further assume weak altermagnetic order with J1 = J2 = J ≪ λ, which results in nearly circular Fermi surfaces (we find the same qualitative behaviour when J1 ≠ J226). Finally, assuming that temperature is much smaller than other energy scales, such as the bandwidth and the Fermi energy, we derive analytic expressions for the components of the conductivity tensor to leading order in J/λ.
Focusing on the anisotropy arising from Berry curvature-induced mangnetoconductivity, we obtain
where J is the altermagnetic order parameter and
with ϵΓ = ∣2t + μ∣ and ϵM = ∣2t − μ∣ being the energies of degenerate bands at the Dirac points. It is easy to see that the above expressions for the magnetoconductivity satisfy the Onsager relations27. Indeed, since both the applied magnetic field and the altermagnetic order parameter are odd under TR, one must have σij(Bz, J) = σji(− Bz, − J), i.e., αij(J) = − αji(−J).
The expressions (17) contribute to the σ1 and σ3 coefficients as defined in Eq. (11). From Eq. (13), we obtain the magnetoconductivity anisotropy as
We see that η is directly proportional to the altermagnetic order parameter. As we cross an altermagnetic phase transition from the normal phase to the ordered phase, η will develop a non-zero value.
Robustness of the Berry curvature contribution
To derive Eq. (19), we have used the long-wavelength model given by Eq. (14) with several assumptions. This provides an analytic expression for the conductivity anisotropy when the Fermi energy is close to the Dirac points. Next, we calculate the conductivities numerically, relaxing all assumptions. We work directly with the tight-binding model of Eq. (15). To study dependence on temperature, we suppose that altermagnetic order sets in via a second-order phase transition at a critical temperature Tc. Following standard Landau theory, we assume that the altermagnetic order parameter is given by27
where J0 is a constant that depends on material parameters. As T approaches Tc from below, the system transitions to the normal state (with C4 and K symmetries) where altermagnetic order vanishes.
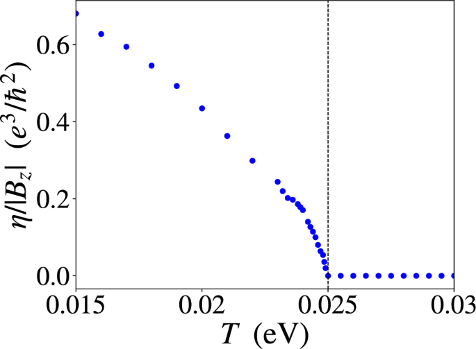
The results of a numerical calculation of η as a function of temperature are plotted in Fig. 4. At the critical temperature, η shows a pronounced square-root singularity with a divergent slope. This is a robust feature, regardless of details such as the strength of altermagnetic order, chemical potential, etc.
The anisotropy is calculated numerically from the tight-binding model given by Eq. (15). The chemical potential is set at μ = 0. The other parameters used are λ = 0.4 eV, t = 0.15 eV, J0 = 1 eV, and ℏ/τ = 0.066 eV. The dashed line indicates the critical temperature Tc.
Discussion
We have demonstrated a transport property that appears in materials with C4K symmetry and spin-orbit coupling. Altermagnets are usually defined as materials that retain spin polarization even in the absence of spin-orbit coupling. Nevertheless, any candidate material will have some spin-orbit coupling, however weak. For example, RuO2 has been estimated to have a spin-orbit coupling of ~ 160 meV28. This will inevitably lead to a nonzero Berry curvature, which will, in turn, give rise to a magnetoconductivity anisotropy with a singular temperature dependence. We have presented a two-dimensional toy model which allows for analytic calculation of this effect. Our arguments also apply to three-dimensional materials, as they only rely on C4K symmetry (with the magnetic field aligned along the symmetry axis).
Our results can be readily tested in materials such as KV2Se2O29, RuO2, MnO2, and MnF218,19. Our proposal is based on C4K symmetry, which corresponds to d-wave altermagnetism. An exciting future direction is to examine whether similar transport signatures exist in other altermagnetic systems, e.g., in g-wave altermagnets.
Methods
We consider the semiclassical description of transport in the presence of external electric and magnetic fields, E and B. The steady-state electric current density in a spatially uniform system can be expressed in terms of the distribution function f(k) as
where d is the dimensionality of the system, and the electron charge is −e. The measure D(k), which encodes a modification of the phase space volume arising from the noncanonical dynamics of semiclassical Bloch electrons, is given by the expression D(k) = 1 + (e/ℏ)B ⋅ Ω(k)30. Here \({\boldsymbol{\Omega }}({\boldsymbol{k}})=i\left\langle {\nabla }_{{\boldsymbol{k}}}u({\boldsymbol{k}})\right\vert \times \left\vert {\nabla }_{{\boldsymbol{k}}}u({\boldsymbol{k}})\right\rangle\) is the Berry curvature, with \(\left\vert u({\boldsymbol{k}})\right\rangle\) being the Bloch wavefunction of a particular band in the absence of external electromagnetic fields8,9,31. We assume that the spin degeneracy of bands is lifted. If there are multiple bands crossing the chemical potential, the semiclassical motion of electrons in different bands is independent, i.e. there are no interband transitions.
The expression (21) depends on the wavepacket velocity, \(\dot{{\boldsymbol{r}}}\), which can be obtained from the semiclassical equations of motion8,9,32,33
Here \({\tilde{\varepsilon }}_{{\boldsymbol{k}}}={\varepsilon }_{{\boldsymbol{k}}}-{{\boldsymbol{m}}}_{{\boldsymbol{k}}}\cdot {\boldsymbol{B}}\), εk is the Bloch eigenvalue without external fields, and mk is the total magnetic moment of the wavepacket. Details of calculations are given in the Supplementary Material26.
Following the Boltzmann transport paradigm, we define a non-equilibrium distribution function f(k, r, t), which satisfies the kinetic equation34
Here \({f}_{0}=1/[1+{e}^{\beta (\tilde{\varepsilon }-\mu )}]\) is the equilibrium Fermi-Dirac distribution function, μ is the chemical potential, and β = 1/kBT is the inverse temperature. We have used the isotropic relaxation time approximation for the collision integral. Assuming a spatially uniform steady state, we drop position and time dependence of the distribution function. Treating the applied electric and magnetic fields as perturbations, we solve the Boltzmann equation, assuming f(k) = f0 + δfk26.
Data availability
No datasets were generated or analysed during the current study.
References
Berry, M. V. Quantal phase factors accompanying adiabatic changes. Proc. R. Soc. Lond. A Math. Phys. Sci. 392, 45–57 (1984).
Xiao, D., Yao, Y., Fang, Z. & Niu, Q. Berry-phase effect in anomalous thermoelectric transport. Phys. Rev. Lett. 97, 026603 (2006).
Moore, J. E. & Orenstein, J. Confinement-induced Berry phase and helicity-dependent photocurrents. Phys. Rev. Lett. 105, 026805 (2010).
Qi, X.-L. & Zhang, S.-C. Topological insulators and superconductors. Rev. Mod. Phys. 83, 1057–1110 (2011).
Shapere, A. & Wilczek, F.Geometric Phases in Physics, vol. 5 (World Scientific, 1989).
Bohm, A., Mostafazadeh, A., Koizumi, H., Niu, Q. & Zwanziger, J.The geometric phase in quantum systems: foundations, mathematical concepts, and applications in molecular and condensed matter physics (Springer Science & Business Media, 2013).
Haldane, F. D. M. Berry curvature on the Fermi surface: anomalous Hall effect as a topological Fermi-liquid property. Phys. Rev. Lett. 93, 206602 (2004).
Xiao, D., Chang, M.-C. & Niu, Q. Berry phase effects on electronic properties. Rev. Mod. Phys. 82, 1959–2007 (2010).
Sundaram, G. & Niu, Q. Wave-packet dynamics in slowly perturbed crystals: gradient corrections and Berry-phase effects. Phys. Rev. B 59, 14915–14925 (1999).
Bliokh, K. On the Hamiltonian nature of semiclassical equations of motion in the presence of an electromagnetic field and Berry curvature. Phys. Lett. A 351, 123–124 (2006).
Bliokh, K. Y. Geometrical optics of beams with vortices: Berry phase and orbital angular momentum Hall effect. Phys. Rev. Lett. 97, 043901 (2006).
Duval, C., Horváth, Z., Horváthy, P. A., Martina, L. & Stichel, P. C. Berry phase correction to electron density in solids and “exotic” dynamics. Mod. Phys. Lett. B 20, 373–378 (2006).
Xiao, D., Yao, W. & Niu, Q. Valley-contrasting physics in graphene: Magnetic moment and topological transport. Phys. Rev. Lett. 99, 236809 (2007).
Chang, C.-Z., Liu, C.-X. & MacDonald, A. H. Colloquium: quantum anomalous Hall effect. Rev. Mod. Phys. 95, 011002 (2023).
Sodemann, I. & Fu, L. Quantum nonlinear Hall effect induced by Berry curvature dipole in time-reversal invariant materials. Phys. Rev. Lett. 115, 216806 (2015).
Zhang, C.-P., Gao, X.-J., Xie, Y.-M., Po, H. C. & Law, K. T. Higher-order nonlinear anomalous Hall effects induced by Berry curvature multipoles. Phys. Rev. B 107, 115142 (2023).
Farajollahpour, T., Ganesh, R. & Samokhin, K. V. Light-induced charge and spin Hall currents in materials with C4K symmetry. npj Quantum Mater. 10, 29 (2025).
Šmejkal, L., Sinova, J. & Jungwirth, T. Emerging research landscape of altermagnetism. Phys. Rev. X 12, 040501 (2022).
Šmejkal, L., Sinova, J. & Jungwirth, T. Beyond conventional ferromagnetism and antiferromagnetism: a phase with nonrelativistic spin and crystal rotation symmetry. Phys. Rev. X 12, 031042 (2022).
Fedchenko, O. et al. Observation of time-reversal symmetry breaking in the band structure of altermagnetic RuO2. Sci. Adv. 10, 4883 (2024).
Schindler, F. et al. Higher-order topological insulators. Sci. Adv. 4, 0346 (2018).
Wang, X., Vanderbilt, D., Yates, J. R. & Souza, I. Fermi-surface calculation of the anomalous Hall conductivity. Phys. Rev. B 76, 195109 (2007).
Hurd, C.The Hall Effect in Metals and Alloys (Springer Science & Business Media, 2012).
Ziman, J. M.Principles of the Theory of Solids (Cambridge University Press, 1979).
Nagaosa, N., Sinova, J., Onoda, S., MacDonald, A. H. & Ong, N. P. Anomalous Hall effect. Rev. Mod. Phys. 82, 1539–1592 (2010).
Supplementary material.
Landau, L. D. & Lifshitz, E. M.Statistical Physics, Part 1 (Butterworth-Heinemann, 2001).
Occhialini, C. A. et al. Local electronic structure of rutile RuO2. Phys. Rev. Res. 3, 033214 (2021).
Jiang, B. et al. A metallic room-temperature d-wave altermagnet. Nature 645–650 (2025).
Xiao, D., Shi, J. & Niu, Q. Berry phase correction to electron density of states in solids. Phys. Rev. Lett. 95, 137204 (2005).
Chang, M.-C. & Niu, Q. Berry phase, hyperorbits, and the Hofstadter spectrum: Semiclassical dynamics in magnetic Bloch bands. Phys. Rev. B 53, 7010–7023 (1996).
Samokhin, K. V. Spin-orbit coupling and semiclassical electron dynamics in noncentrosymmetric metals. Ann. Phys. 324, 2385–2407 (2009).
Littlejohn, R. G. & Flynn, W. G. Geometric phases in the asymptotic theory of coupled wave equations. Phys. Rev. A 44, 5239–5256 (1991).
Ashcroft, N. W. & Mermin, N. D.Solid State Physics (Holt, Rinehart and Winston, 1976).
Acknowledgements
This work was supported by the Natural Sciences and Engineering Research Council of Canada through Discovery Grants 2022-05240 (RG) and 2021-03705 (KS).
Author information
Authors and Affiliations
Contributions
T.F., R.G., and K.S. conceived and designed the research project. T.F. carried out the calculations. All authors contributed equally to the writing and editing of the manuscript.
Corresponding authors
Ethics declarations
Competing interests
The authors declare no competing interests.
Additional information
Publisher’s note Springer Nature remains neutral with regard to jurisdictional claims in published maps and institutional affiliations.
Supplementary information
Rights and permissions
Open Access This article is licensed under a Creative Commons Attribution-NonCommercial-NoDerivatives 4.0 International License, which permits any non-commercial use, sharing, distribution and reproduction in any medium or format, as long as you give appropriate credit to the original author(s) and the source, provide a link to the Creative Commons licence, and indicate if you modified the licensed material. You do not have permission under this licence to share adapted material derived from this article or parts of it. The images or other third party material in this article are included in the article’s Creative Commons licence, unless indicated otherwise in a credit line to the material. If material is not included in the article’s Creative Commons licence and your intended use is not permitted by statutory regulation or exceeds the permitted use, you will need to obtain permission directly from the copyright holder. To view a copy of this licence, visit http://creativecommons.org/licenses/by-nc-nd/4.0/.
About this article
Cite this article
Farajollahpour, T., Ganesh, R. & Samokhin, K.V. Berry curvature-induced transport signature for altermagnetic order. npj Quantum Mater. 10, 77 (2025). https://doi.org/10.1038/s41535-025-00805-z
Received:
Accepted:
Published:
Version of record:
DOI: https://doi.org/10.1038/s41535-025-00805-z






