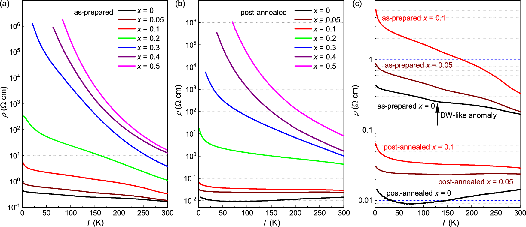
Fig. 3: Electrical transport properties of La3Ni2-xAlxO7-δ.
From: Stabilization of Tetragonal Phase and Aluminum-Doping Effect in a Bilayer Nickelate

Temperature dependence of electrical resistivity of the as-prepared a and post-annealed b samples of La3Ni2−xAlxO7−δ. The effect of post annealing is highlighted in panel c for x = 0, 0.05 and 0.1.