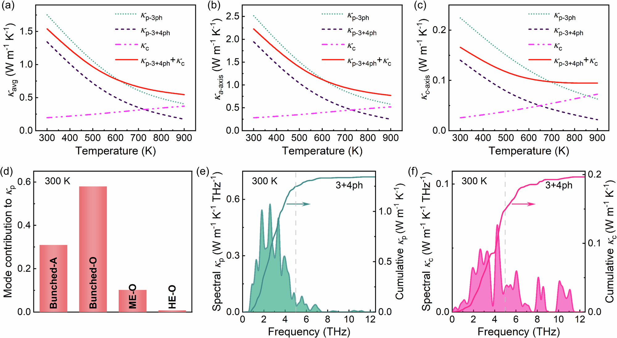
Fig. 4: Thermal conductivity of Na2CoSe2O.

a–c are the temperature-dependent average, in-plane, and out-of-plane thermal conductivities within particlelike three- (3 ph) and four- (4 ph) phonon processes (κp-3ph and κp-3+4ph) and wavelike tunnelling effect (κc). d Mode contribution to κp at 300 K. e, f are spectral and cumulative κp and κc, respectively. Dashed lines indicate the cut-off frequency of bunched phonons.