Abstract
Layered oxyselenides are of interest as promising mid- to high-temperature thermoelectric applications due to their tunable electrical properties and intrinsically low lattice thermal conductivity (κ). Understanding microscopic phonon mechanisms driving low-κ in these materials is essential for rational design. Here, we report a layer-differentiated phonon transport in Na2CoSe2O via solving the Wigner transport equation based on first-principles calculations, where CoSe6 and Na6O octahedra dominate acoustic and low-energy optical phonons, respectively, together inducing acoustic-optical bunching (a typical feature in homo-layered structures such as bilayer graphene and MoS2). In addition, Na6O generates high-energy flat optical phonons, in contrast to oxide-typical dispersive modes. This phonon dispersion feature, constrained by three-phonon scattering channels, necessitates interpretation via four-phonon processes, which simultaneously enhance wavelike coherent tunneling effects. Consequently, by considering anharmonic phonon renormalization, strong scattering of heat-carrying bunched phonons reduces κ by ~28%, with ~13% compensatory contribution from phonon coherence, yielding a low lattice thermal conductivity of 1.52 W m−1 K−1 at 300 K in Na2CoSe2O. This work provides new insights into the specific vibrational mechanisms, phonon bunching induced strong four-phonon scattering, highlights the critical role of distinct structural layers in governing thermal transport, and enriches the fundamental thermal transport mechanism in layered oxyselenides.
Similar content being viewed by others
Introduction
Oxides have been studied as promising mid- to high-temperature thermoelectric materials due to their chemical/thermal stability and eco-friendliness compared with alloy-based compounds1,2,3,4,5,6. Among these, transition-metal oxyselenides7,8, such as RMSeO (R = Bi/lanthanide and M = Cu/Ag)9,10,11,12,13, Bi2LnCu2Se2O4 (Ln = lanthanide)14, and Sr2QCu2Se2O2 (Q = Co, Ni, or Zn)15, have attracted significant interest. Their readily tunable electrical properties and intrinsically low lattice thermal conductivity (κ) stem from the natural superlattice structure comprising alternating copper/silver-selenide and heavy metal-oxide polyhedral layers. For example, in BiCuSeO, the CuSe4 tetrahedral layers primarily dominate mid-energy (ME) nondispersive optical phonons, imparting heat resistance, while the BiO4 tedrahedral layers determine acoustic and highly dispersive high-energy (HE) optical phonons, facilitating heat conduction16. However, such complex, anisotropic structures give rise to strong phonon overlaps and gaps, yielding diverse and often poorly understood microscopic phonon mechanisms responsible for their low κ based on three-phonon theory17,18. Consequently, specific vibrational phenomena, including high-order anharmonicity, phonon wave-particle duality, and interlayer interactions, have yet to be systematically elucidated.
Recently discovered Na2CoSe2O, a significant addition to the family of layered transition-metal oxyselenides, emerges as promising high-TC superconductor characterized by the superconductivity up to 6.3 K and high upper critical fields19. Additional behaviors, such as low electrical resistivity at room temperature (1.4 mΩ cm), moderate carrier concentration, and complex multi-band electronic structure, position Na2CoSe2O as a compelling candidate for oxide-based thermoelectric applications19. Structurally analogous to layered copper oxyselenides, Na2CoSe2O adopts a trigonal crystal lattice (space group \(R\bar{3}{m}\)) featuring a distinctive alternating layer structure, which comprises conductive CoSe2 layers, formed by edge-sharing CoSe6 octahedra with a triangular lattice of Co, separated by insulating Na6O blocking layers (Fig. 1a). Such superlattice inherently promotes favorable electronic transport within the CoSe2 planes while potentially impeding phonon transport across the layers. However, a critical knowledge gap persists: κ and the fundamental phonon dynamics governing heat transport remain unexplored. The absence of this vital information severely limits efforts to rationally optimize its thermal properties, which are crucial for optimizing thermoelectric performance. Thus, addressing this knowledge gap is essential to unlock their full potential and to guide targeted material design.
a Front view of the crystal structure, showing the layered feature of by alternating stacked CoSe6 and Na6O octahedra. Two-way arrow indicates the layer spacing. b Electron density difference (EDD) cut at the (110) plane. Red and blue indicate the accumulation and loss of electrons, respectively. c Electron localization function (ELF) cut at the (110) plane, where 0, 0.5, and 1 represent the delocalized, uniform, and fully localized electron states in the colorbar. d Crystal orbital bond index (COBI) and crystal orbital Hamilton population (COHP) of Na-O, Co-Se, and Na-Se pairs in Na2CoSe2O, and the cressponding integrated COBI (ICOBI) and COHP (ICOHP) are shown in (e), indicating the weak ionic/covalent bond characteristic of Na-O and Co-Se pairs, respectively.
In this study, we systematically investigate the thermal transport behavior in layered Na2CoSe2O by solving the Wigner transport equation based on first-principles calculations. Unique acoustic-optical bunching and high-energy flat optical phonon behaviors originating from Na6O octahedra are found in the renormalized dispersion, prominently differing from those in conventional layered oxyselenides. Constrained by restricted 3 ph scattering channels, such behaviors necessitate significant 4 ph scattering processes, especially the redistribution for ME and HE flat optical phonons, significantly suppressing κ by ~28%. Concurrently, a wavelike tunneling effect emerges among these dense optical phonons, contributing 13% to κ. Ultimately, these mechanisms yield a low lattice thermal conductivity of 1.52 W m−1 K−1 at 300 K in Na2CoSe2O, comparable to that in conventional layered oxyselenides.
Results and discussion
Chemical bonding in Na2CoSe2O
Figure 1b presents the electron density difference (EDD) for Na2CoSe2O on the (110) plane, revealing electron accumulation around Se and O atoms and electron depletion around Co and Na atoms. Electron localization function (ELF) characterizes the degree of electron localization and quantitatively identifies the character of chemical bonding. ELF = 0, 0.5, and 1 correspond to complete delocalization, homogeneous distribution, and full localization, respectively20. As illustrated in Fig. 1c, charges are predominantly localized around Se and O atoms. Significantly higher ELF values (white regions) are observed between Co and Se atoms, indicating weak covalent bonding, while those between Na and O atoms suggest ionic bonding. These ELF features show excellent agreement with the directional electron transfer in the Co-Se pairs and the non-directional transfer in the Na-O pairs in the EDD. In addition, Se atoms show an asymmetric electron distribution, similar to the effect of the lone pair, which may induce strong anharmonicity. Bader (Loewdin) charge analysis further reveals a charge transfer of 0.79e (0.75e) from each Na atom to O atoms and 0.98e (1.02e) from each Co atom to Se atoms, yielding the layer valence configuration of 0.41± (0.38±), consistent with Cheng et al.’s results19.
Based on the consistent electronic band structure calculations from both Cheng et al.19 and our work (Supplementary Fig. 1), the valence band maximum (VBM) is primarily contributed by Se-4p and O-2p orbitals. Co-3d orbitals dominate at energies below −1 eV, since Co4+ places its d-orbitals at a deep energy level. This electronic structure shows a significant difference from that in BiCuSeO/BiAgSeO, where the VBM is formed by hybridized Cu-3d/Ag-4d and Se-4p orbitals. Crystal orbital bond index (COBI) and Hamilton population (COHP) and their integrations (ICOBI and ICOHP) are also calculated to evaluate the chemical bonding characteristics21. In Fig. 1d, the -pCOHP reveals antibonding character in the Co-3d/Se-4p* orbitals, which is commonly observed in oxyselenides11,21. When antibonding states are present at the valence band, their occupation will increases the system energy, weakens chemical bonds, and enhances anharmonicity22. This is further demonstrated by the ICOBI value of 0.22 for Co-Se bonds (where 0 represents a totally ionic bond and 1 represents a totally covalent bond, Fig. 1e), analogous to the Cu/Ag-Se bonds in the representative layered oxyselenides BiCuSeO and BiAgSeO (Supplementary Fig. 2)11,16. Compared to BiCuSeO, the ICOBI value for Na-O bonds is 0.05, whereas that for Bi-O bonds is 0.39, indicating weaker ionic bonding in Na-O bonds. Additionally, for the interlayer nearest cases, the ICOBI value of Na-Se pairs is significantly smaller than that of Bi-Se pairs, indicating weaker interlayer interactions in Na2CoSe2O. This analysis is also in excellent agreement with the bonding strength results from ICOHP. These characteristics of the structure provide the possibility of different roles for polyhedral layers in thermal transport.
Layer-differentiated phonons in Na2CoSe2O
Figure 2a shows the anharmonic renormalized phonon dispersion of Na2CoSe2O from 300 to 900 K by fourth-order interatomic force constants (IFCs), showing the moderate temperature sensitivity. Dispersions are suppressed and nearly flat along the out-of-plane (Γ–A) direction, consistent with the typical behavior in layered materials due to weak interlayer interactions. Certain discrepancy emerging in dispersions with (300 K) and without phonon renormalization can be attributed to the introduction of fourth-order IFCs (Supplementary Fig. 3). Figure 2b shows the atomic projected phonon dispersions at 300 K. Notable features emerge along the in-plane direction (Γ–K and Γ–M): (1) For CoSe6 layers, Co and Se atoms dominate acoustic phonons below 4 THz, in contrast to conventional layered oxyselenides like BiCuSeO, where such phonons are typically from oxide layers (Supplementary Fig. 4). This difference can be accounted for by the mass distribution: the mass in BiCuSeO is concentrated in Bi-O layers whereas Co-Se layers are greater here. Additionally, acoustic branches of Na2CoSe2O are highly bunched, a phenomenon that will significantly restricts the three acoustic phonon scattering channel (AAA)23. The emergence of acoustic bunching may stem from the rhombohedral symmetry and mixed, weak ionic/covalent chemical bonding, resulting in partially degenerate transverse modes and a reduced difference in atomic restoring forces under shear versus compression. (2) For Na6O layers, Na atoms predominantly contribute to highly dispersive low-energy (LE) optical phonons below 5 THz, forming phonon bunching with CoSe6 layer dominated acoustic branches containing an avoided-crossing between the second transverse acoustic (TA2) and optical (TO2) branches. This acoustic-optical bunching, reminiscent of two-dimensional materials, such as bilayer graphene and MoS2, is attributed to weak interlayer interactions (weaker Na-Se bonds than Bi-Se bonds) and represents a distinct departure from BiCuSeO18, where Bi-O layer mainly dominate the acoustic and HE optical phonons while Cu-Se layer mainly dominate the ME optical phonons (Supplementary Fig. 4). Thus, due to these two bunching behaviors, the AAA and two acoustic and one optical (AAO) channels are significantly restricted. (3) O atoms contribute the most significantly to HE flat featured optical phonons, which contrasts sharply with that in BiCuSeO, where O atoms drive highly dispersive phonons that are steeper than acoustic modes13,16. Such a difference is attributed to the stronger Bi-O bonds than Na-O bonds as discussed above. (4) In addition, ME branches across 4–7 THz are relatively flat and densely overlapped, indicating the existence of wavelike phonon tunneling effect around this region24,25. Collectively, these four unusual behaviors imply that the conventional three-phonon theory is somewhat limited. Consequently, the contribution from higher-order phonon scattering and wave-like coherent tunneling effect is expected to be enhanced.
a Anharmonically renormalized phonon dispersions at finite temperatures (from T = 300–900 K). Viridis colorbar indicates temperatures. Pink ellipses indicate acoustic-optical bunching. b Atomic projected dispersions at 300 K by Na, O, Co, and Se atoms. Plasma colorbars represent the atomic contribution to each mode at each eigenvector normalized to 1.
To further investigate layer-differentiated phonons, we projected the phonon density of states (DOS) at 300 K onto individual atoms and anisotropic directions, as shown in Fig. 3a, b. Along the in-plane direction, Co and Se atoms dominate the continuous contributions up to 5 THz, while Na atoms contribute significantly across 1–5 THz. This overlapped pattern clearly reflects acoustic-optical phonon bunching. Notably, sharp peaks emerge above 4 THz, corresponding to the flat optical modes identified in Fig. 2. The DOS contribution of Na atoms is comparable to that of CoSe6 octahedra along the in-plane direction but substantially smaller along the out-of-plane direction. This indicates that Na atoms interact more strongly with CoSe6 in in-plane vibrational modes, while their interaction is weaker in out-of-plane modes. Sharp DOS peaks typically signify large atomic displacements, a feature reflected in the large mean square displacements of ionic (weak covalent) bonded Na (Co) and O (Se) atoms (Fig. 3c). Figure 3d displays the frequency-dependent group velocity sorted by the layer or atomic contributions. The group velocities of bunched phonons are found to be over four times higher than those of flat ME and HE phonons. Within the bunched phonons, longitudinal optical (LO) modes exhibit velocities comparable to longitudinal acoustic (LA) modes, a behavior mirrored by TO and TA modes. This characteristic facilitates rapid phonon propagation for heat transport and accounts for their dominant contribution to thermal conductivity (κ).
a, b Projected phonon density of states (DOS) at 300 K along the in-plane and out-of-plane directions, respectively. c Temperature-dependent mean square displacement (MSD) of each atom. d Frequency-dependent phonon group velocity at 300 K, showing dramatically higher values for bunched acoustic (A)-optical (O) phonons. LA and LO represent longitudinal acoustic and optical modes, respectively. TAx and TOx represent the transverse acoustic and optical modes, respectively. x (1 and 2) is the mode index with ascending frequency.
Thermal conductivity and transport in Na2CoSe2O
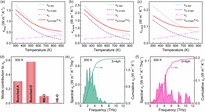
Figure 4a–c shows the average, in-plane (a-axis), and out-of-plane (c-axis) κs using renormalized second-order IFCs, respectively, including particlelike processes (3 ph and 4 ph scattering) and wavelike coherent tunneling effect (κc). When including 4 ph scattering, the particlelike contribution along the a-axis (κa-axis) is remarkably suppressed compared to the 3 ph prediction. At 300 K, κa-axis decreases from 2.51 to 1.94 W m−1 K−1, representing a reduction of approximately 23%. This suppression is attributed to the increased number of scattering channels for both bunched acoustic/optical phonons and redistribution processes involving densely packed flat optical phonons by the renormalized phonon dispersion. Notably, the suppression persists but becomes less pronounced at higher temperatures. κc-axis also exhibits significant reduction of 36%, as its baseline value is inherently low. This characteristic originates from weak interlayer interactions, which soften acoustic phonons and create a large frequency gap for flat optical phonons.
a–c are the temperature-dependent average, in-plane, and out-of-plane thermal conductivities within particlelike three- (3 ph) and four- (4 ph) phonon processes (κp-3ph and κp-3+4ph) and wavelike tunnelling effect (κc). d Mode contribution to κp at 300 K. e, f are spectral and cumulative κp and κc, respectively. Dashed lines indicate the cut-off frequency of bunched phonons.
The anisotropic behavior of phonon coherence differs significantly from that of the 4 ph scattering. As the temperature rises, κc becomes increasingly dominant along the c-axis, eventually exceeding the particlelike contribution to the total thermal conductivity. For instance, at 900 K, κc reaches 0.07 W m−1 K−1, three times than the value of κp (0.02 W m−1 K−1). A similar, although less pronounced, trend occurs along the a-axis: the wavelike contribution increases from ~13% at 300 K to over 60% at 900 K. This competition between the 4 ph scattering suppression and the growing influence of phonon coherence is closely related to dense, flat optical phonons. Consequently, Na2CoSe2O achieves a low average κ of 1.52 W m−1 K−1 at 300 K, comparable to conventional layered oxyselenides. It should be noted that for such theoretical prediction, a experimental validation, particularly measured phonon dispersion and anisotropic thermal conductivity, would be highly valuable, although such data are presently unavailable for the newly synthesized Na2CoSe2O and may vary due to differences in sample preparation and measurement techniques.
Figure 4d, e details the contribution of phonon modes to the average κ at 300 K. At this temperature, 80% of κp originates from bunched phonons within 0–5 THz, where CoSe6 dominated acoustic phonons contribute 30%, while Na-dominated optical phonons contribute ~60%. Notably, O-dominated HE optical phonons contribute only 1% (Fig. 4d), a value dramatically reduced compared with their ~30% contribution in BiCuSeO13,16. This distinct atomic contribution profile can be explained by the spectral and cumulative κp. As shown in Fig. 4e, the contribution increases rapidly from 0 to 5 THz, corresponding to the frequency range of bunched phonons. A prominent peak occurs at 2 THz, driven by highly dispersive, bunched phonons with moderate comparable contributions from the Co-Se layers and Na atoms. The contribution rate slows significantly above 5 THz and nearly vanishes above 6 THz (the ME region). In contrast, the contribution from phonon coherence initiates where flat phonons emerge (~2 THz) and increases gradually with frequency. This difference in contribution mechanisms, particlelike propagation dominating below 5 THz and wavelike tunneling taking over above ~5 THz, stems directly from the layer-differentiated phonon dispersion: dispersive modes reside predominantly below 5 THz, while flat modes dominate frequencies above ~5 THz.
We now analyze phonon scattering mechanisms in this low-κ system. As is commonly recognized, lattice thermal conductivity is primarily governed by the phonon group velocity and lifetime, given the negligible heat capacity at elevated temperatures. Crucially, the bunched acoustic and LE optical phonons exhibit exceptionally high group velocities up to ~5 Km s−1—significantly exceeding values in benchmark thermoelectrics such as PbTe (3.5 Km s−1) and SnSe (3.9 Km s−1)26,27, although slightly lower than the 5.9 Km s−1 optical phonon velocity driven by O atoms in BiCuSeO16. This high velocity necessitates the involvement of 4 ph scattering processes. Figure 5a–c demonstrates how 4 ph interactions release phase-space restrictions. Below 2 THz, 4 ph scattering rates match 3 ph predictions, between 4–7 THz, 4 ph rates exceed 3 ph values, and flat phonons exhibit strong suppression under 3 ph selection rules but are liberated via 4 ph redistribution (Fig. 5d). Notably, 3 ph scattering channels for bunched phonons (AAA + AAO) constitute only 10.8% of the total phase space (inset in Fig. 5b), dominated instead by one acoustic and two optical (AOO) and three optical (OOO) processes. Supplementary Fig. 5 presents the calculated mode-resolved scattering phase space for three- and four-phonon processes. A significant dip (~2 THz) is observed in the AAA channel, while the AAO channel shows a similar feature (~1.5 THz) for bunched optical phonons. This reveals that the limited scattering phase space in these channels is caused by acoustic-optical bunching based on selection rules. Higher values for acoustic phonons are attributed to interactions with HE optical phonons (Other). Thus, phonon bunching limits the AAA and AAO channels. In four-phonon processes, the AAAA and AAOO channels largely compensate for this dip. The significantly higher values in the AOO and OOO channels compared to AAA and AAO lead to no clear dip at ~2 THz in the total phase space. Consequently, at 300 K, 4 ph scattering rates rapidly approach 3 ph levels below 2 THz and surpass 3 ph predictions, particularly for O-atom-dominated HE phonons above 2 THz (Fig. 5d). This pronounced 4 ph scattering explains the observed reduction in thermal conductivity by ~28%.
a–c are the phase space volume available for total, three-phonon (3 ph), and four-phonon (4 ph) scattering processes, respectively. Dashed lines indicate the involvement of bunched optical phonons. Inset in (b) is the sorted 3 ph scattering channels, including three acoustic (AAA), two acoustic and one optical (AAO), one acoustic and two optical (AOO), and three optical (OOO) phonon processes. d 3 ph and 4 ph phonon scattering rates. e Phonon lifetime including 3 ph and 3 + 4 ph processes. Orange and red lines represent the Wigner limit, 1/Δωave, and Ioffe-Regel limit, 1/ω, respectively, where ω is the phonon angular frequency.
To probe phonon coherence effects, Fig. 5e compares 3 ph and 3 + 4 ph lifetime against two fundamental limits: the Wigner (1/Δωave, when phonon lifetime equals to the inverse of average interband spacing) and Ioffe-Regel (1/ω, when phonon lifetime equals to the inverse of frequency) limits. Generally, the lifetime located in the region above the Wigner limit represents phonon particle-like propagation, that between the Wigner and Ioffe-Regel limits represents wavelike tunneling, and that below the Ioffe-Regel limit represents phonon overdamping24,25. In the absence of 4 ph scattering, lifetime predominantly resides in the particlelike region. Upon incorporating 4 ph interactions, lifetime shifts toward the wave-like tunneling region, except for bunched phonons below 2 THz. Crucially, O atoms dominated phonons exhibit lifetime below the Wigner limit, confirming their significant contribution to wavelike thermal transport (κc).
In conclusion, through first-principles calculations and Wigner transport equation solutions, we reveal unique thermal transport in layered oxyselenide Na2CoSe2O, distinct from that in conventional oxyselenides. Compared to the homo-layered structures (e.g., bilayer graphene and MoS2 with acoustic-optical phonon bunching) and hetero-layered oxyselenides (e.g., BiCuSeO without such bunching), Na2CoSe2O exhibits three critical phonon dispersion features: (1) CoSe6 octahedra dominate acoustic phonons, (2) Na6O octahedra govern low-energy optical phonons, driving an unconventional acoustic-optical phonon bunching, and (3) Na6O sublattices generate high-energy flat optical phonons, contrasting sharply with typical dispersive oxygen-dominated modes. The first feature arises primarily from the heavy atomic masses of Co/Se, while the latter two stem from the ionic character of Na-O bonds. These dispersion features profoundly constrain three-phonon scattering channels, necessitating interpretation through enhanced four-phonon processes that simultaneously amplify the wavelike coherent tunneling effect. The combined effect yields a ~28% reduction in κ via the strong scattering of heat-carrying bunched phonons and a ~13% compensatory contribution from the phonon coherence effect at 300 K.
In fact, phonon bunching typically impedes thermal conductivity reduction by producing highly dispersive branches and constrained scattering phase space. To accurately understand thermal transport in such systems, high-order phonon effects must be considered. Na2CoSe2O presents a typical example: its additional high-energy flat phonons effectively enable four-phonon scattering processes for bunched phonons, thereby achieving ultralow thermal conductivity. This study, in line with numerous advanced theoretical investigations of thermal transport28,29,30, fundamentally provides insights into the microscopic origin of the low thermal conductivity in hetero-layered oxyselenides, highlighting how distinct structural sublattices dictate thermal transport in layered oxyselenides, and enriches the understanding of phonon engineering for advanced thermoelectric design.
Notably, this study focuses exclusively on the lattice thermal conductivity of Na2CoSe2O, as accurate electron-phonon coupling calculations remain computationally prohibitive for its large unit cell. According to Cheng et al.’s report (electrical resistivity at room temperature is 1.4 mΩ cm)19, we estimate the electronic thermal conductivity to be approximately 0.5 W m−1 K−1 using the Wiedemann–Franz law. Given the metal-like transport behavior, electronic contributions to thermal conductivity are expected to be lower at elevated temperatures. Nevertheless, the total thermal conductivity remains relatively low for thermoelectric studies. Interested researchers may further reduce the thermal conductivity experimentally through strategies such as doping, defect engineering, and high-entropy design, while simultaneously regulating electrical properties via analogous approaches. Theoretically, more rigorous electron-phonon coupling calculations will provide deeper insights. We acknowledge that a complete characterization would benefit from future experimental phonon dispersion, anisotropic thermal conductivity, and electrical data. This work thus also serves as a predictive foundation to guide such experimental endeavors.
Methods
First-principles calculations
First-principles calculations were performed in the projector-augmented wave framework, as implemented in the Vienna Ab Initio Simulation Package (VASP)31,32,33. The generalized gradient approximation of Perdew-Burke-Ernzerhof for the exchange-correlation functional was used, and the optPBE functional34 was used to evaluate the interlayer force after comparing with other fuctionals (Supplementary Table 1). The DFT + U method was applied with the Hubbard U parameter set to 4 eV for Co to address the 3d electrons16. An energy cutoff of 580 eV was set for the plane-wave basis. The Brillouin zone of the reciprocal space was sampled to be 6 × 6 × 3. The force components of each atom were smaller than 10−4 eV/Å, and the difference in the total energy was smaller than 10−8 eV. The lattice constants were fully relaxed and consistent with the experiment19, where a = b = 3.496 Å and c = 28.979 Å. No magnetic order or spin-orbit coupling effects were considered in the calculations.
Second-order interatomic force constants (IFCs) were extracted using the finite-displacement method35 as implemented in Phonopy36. A 3 × 3 × 3 supercell with 162 atoms was used to achieve good convergence for the phonon dispersions. To accurately and efficiently obtain the anharmonic third- and fourth-order IFCs, instead of the traditional finite-displacement approach, a machine-learning-based method called the compressive sensing lattice dynamics method (CSLD) was used by our in-house code (developed by one of the authors)37,38,39, where the compressive technique was implemented to collect the physically important terms of anharmonic IFCs using the limited displacement force datasets. To generate the force-displacement structures, the random-direction displacement of 0.01, 0.03, and 0.04 Å was used for the second-, third-, and fourth-order IFCs, respectively37,40. The real-space cutoff radii of 5.5 Å and 3.74 Å were applied for the third- and fourth-order IFCs extraction, respectively. The anharmonic phonon energy renormalization was performed using the self-consistent phonon approximation (SCP) formulated in the reciprocal space, as implemented in our in-house code37. The BZ was sampled as 3 × 3 × 2.
In Wigner transport equation, the particlelike propagation of phonons, can be evaluated using the single-mode relaxation time approximation41,42:
where ℏ is the reduced Planck constant, kB is the Boltzmann constant, T is the absolute temperature, υ is the volume of the cell, N is the total number of sampled wave vectors, \(\bar{N}\)(q)s is the equilibrium Bose–Einstein distribution. ω(q)s, Γ(q)s, and V(q)s,s are the renormalized phonon frequency, linewidth, and diagonal group velocity for branch s at wavevector q, respectively. Based on the Wigner transport equation, the contribution to κ from the off-diagonal terms, which corresponds to the wavelike tunneling of phonons, can be expressed as24,25:
where V(q)s,sʹ is the off-diagonal velocity, and can be obtained as:
Here, e(q)s is the phonon eigenvector, D(q) is the dynamical matrix, and ω2(q)s is the eigenvalue. It is worth noting that Eq. (1) and Eq. (2) are equivalent in the presence of degeneracy (s = sʹ). The converged phonon scattering process and the particlelike and wavelike thermal conductivities were captured using the modified ShengBTE41 and FourPhonon packages42. Related convergence tests are shown in Supplementary Fig. 6.
Data availability
The data supporting the findings of this study are available within this article. Additional data are available from the corresponding author on reasonable request.
References
Lin, Y.-H., Lan, J. & Nan, C.-W. Oxide Thermoelectric Materials (John Wiley & Sons, 2019).
Zhao, Z., Zhang, X. & Zhao, L.-D. Strategies for manipulating thermoelectric properties of layered oxides. Matter 6, 3274–3295 (2023).
Ge, B., Li, R., Wang, G., Zhu, M. & Zhou, C. Oxide semiconductors for thermoelectric: the challenges and future. J. Am. Ceram. Soc. 107, 1985–1995 (2023).
Ye, X. et al. Excellent thermoelectric performance of Fe2NbAl alloy induced by strong crystal anharmonicity and high band degeneracy. npj Quantum Mater. 9, 60 (2024).
Wang, W. et al. Photoinduced anisotropic lattice dynamic response and domain formation in thermoelectric SnSe. npj Quantum Mater. 6, 97 (2021).
Du, Q. et al. Vacancy defect control of colossal thermopower in FeSb2. npj Quantum Mater. 6, 13 (2021).
Tippireddy, S., Prem Kumar, D. S., Das, S. & Mallik, R. C. Oxychalcogenides as thermoelectric materials: an overview. ACS Appl. Energy Mater. 4, 2022–2040 (2021).
Ren, G.-K. et al. Layered oxygen-containing thermoelectric materials: mechanisms, strategies, and beyond. Mater. Today 29, 68–85 (2019).
Ren, G.-K. et al. Complex electronic structure and compositing effect in high performance thermoelectric BiCuSeO. Nat. Commun. 10, 2814 (2019).
Tang, W. et al. BiCuSeO based thermoelectric materials: Innovations and challenges. Mater. Today Phys. 35, 101104–101104 (2023).
Zhang, C. et al. Low thermal conductivity in heteroanionic materials with layers of homoleptic polyhedra. J. Am. Chem. Soc. 144, 2569–2579 (2022).
Yin, Z. et al. Ultrahigh pressure structural modification in BiCuSeO ceramics: dense dislocations and exceptional thermoelectric performance. Adv. Energy Mater. 15, 2403174 (2024).
Wei, B. et al. Synergistically optimizing electrical and thermal transport in layered BiCuSeO via biaxial strain modulation. Acta Mater. 286, 120699 (2025).
Yang, Y. et al. Seeking new layered oxyselenides with promising thermoelectric performance. Adv. Funct. Mater. 32, 22146 (2022).
Yang, Y. et al. Thermoelectric properties of layered oxyselenides with 3d transition metal ions. J. Am. Ceram. Soc. 106, 2918–2929 (2023).
Wei, B. et al. Local symmetry distortion induced anomalous thermal conduction in thermoelectric layered oxyselenides. npj Comput. Mater. 9, 160 (2023).
Wei, B., Sun, Q., Li, C. & Hong, J. Phonon anharmonicity: a pertinent review of recent progress and perspective. Sci. China Phys., Mech. Astron. 64, 117001 (2021).
Wei, B. et al. Optical phonons on thermal conduction in advanced materials. Appl. Phys. Rev. 12, 011324 (2025).
Cheng, J. et al. Superconductivity in a layered cobalt oxychalcogenide Na2CoSe2O with a triangular lattice. J. Am. Chem. Soc. 146, 5908–5915 (2024).
Savin, A. et al. Electron localization in solid-state structures of the elements: the diamond structure. Angew. Chem. Int. Ed. 31, 187–188 (1992).
Müller, P. C., Ertural, C., Hempelmann, J. & Dronskowski, R. Crystal orbital bond index: covalent bond orders in solids. J. Phys. Chem. C. 125, 7959–7970 (2021).
Yuan, J., Chen, Y. & Liao, B. Lattice dynamics and thermal transport in semiconductors with anti-bonding valence bands. J. Am. Chem. Soc. 145, 18506–18515 (2022).
Lindsay, L., Broido, D. A. & Reinecke, T. L. First-principles determination of ultrahigh thermal conductivity of boron arsenide: a competitor for diamond? Phys. Rev. Lett. 111, 025901 (2013).
Simoncelli, M., Marzari, N. & Mauri, F. Unified theory of thermal transport in crystals and glasses. Nat. Phys. 15, 809–813 (2019).
Simoncelli, M., Marzari, N. & Mauri, F. Wigner formulation of thermal transport in solids. Phys. Rev. X 12, 041011 (2022).
Zhang, M., Tang, G. & Li, Y. Hydrostatic pressure tuning of thermal conductivity for PbTe and PbSe considering pressure-induced phase transitions. ACS Omega 6, 3980–3990 (2021).
Li, C. et al. Orbitally driven giant phonon anharmonicity in SnSe. Nat. Phys. 11, 1063–1069 (2015).
Zheng, J. et al. Unravelling ultralow thermal conductivity in perovskite Cs2AgBiBr6: dominant wave-like phonon tunnelling and strong anharmonicity. npj Comput. Mater. 10, 30 (2024).
Park, J. W., Jung, Y.-K. & Walsh, A. Metal halide thermoelectrics: prediction of high-performance CsCu2I3. PRX Energy 2, 043004 (2023).
Liu, Y., Li, J., Liu, P. & Liu, Q. Unconventional spin textures emerging from a universal symmetry theory of spin-momentum locking. npj Quantum Mater. 9, 69 (2024).
Blöchl, P. E. Projector augmented-wave method. Phys. Rev. 50, 17953–17979 (1994).
Kresse, G. & Furthmuller, J. Efficiency of ab-initio total energy calculations for metals and semiconductors using a plane-wave basis set. Comput. Mater. Sci. 6, 15–50 (1996).
Kresse, G. & Furthmuller, J. Efficient iterative schemes for ab initio total-energy calculations using a plane-wave basis set. Phys. Rev. B 54, 11169–11186 (1996).
Klimes, J., Bowler, D. R. & Michaelides, A. Chemical accuracy for the van der Waals density functional. J. Phys. Condens. Matter 22, 022201 (2009).
Esfarjani, K. & Stokes, H. T. Method to extract anharmonic force constants from first principles calculations. Phys. Rev. B 77, 144112 (2008).
Togo, A. & Tanaka, I. First principles phonon calculations in materials science. Scr. Mater. 108, 1–5 (2015).
Lin, C., Han, J., Xu, B. & Marzari, N. First-principles phonon physics using the Pheasy code. Preprint at https://doi.org/10.48550/arXiv.2508.01020 (2025).
Zhou, F., Nielson, W., Xia, Y. & Ozoliņš, V. Lattice anharmonicity and thermal conductivity from compressive sensing of first-principles calculations. Phys. Rev. Lett. 113, 185501 (2014).
Lin, C., Poncé, S. & Marzari, N. General invariance and equilibrium conditions for lattice dynamics in 1D, 2D, and 3D materials. npj Comput. Mater. 8, 236 (2022).
Li, Z., Xia, Y. & Wolverton, C. First-principles calculations of lattice thermal conductivity in Tl3VSe4: uncertainties from different approaches of force constants. Phys. Rev. B 108, 184307 (2023).
Wu, L., Carrete, J., Katcho, N. A. & Mingo, N. Shengbte: a solver of the boltzmann transport equation for phonons. Comput. Phys. Commun. 185, 1747–1758 (2014).
Han, Z., Yang, X., Li, W., Feng, T. & Ruan, X. FourPhonon: an extension module to ShengBTE for computing four-phonon scattering rates and thermal conductivity. Comput. Phys. Commun. 270, 108179 (2022).
Acknowledgements
This work was financially supported by the Basic Science Center Project of the National Natural Science Foundation of China under grant No. 52388201. B.W. acknowledges the financial support from the National Science Foundation of China (12304040), GuangDong Basic and Applied Basic Research Foundation (2023A1515110762). Y.Z. acknowledges the financial support from Fuzhou University Testing Fund of precious apparatus (2025T003) and funding (XRC-25036-0180-511573). We thank the Beijing PARATERA Tech CO., Ltd. https://cloud.paratera.com.
Author information
Authors and Affiliations
Contributions
B.W. and Y.-H.L. conceived the idea. B.W. and M.C. conducted the simulation. B.W., M.C., C.L., J.L., Y.L., W.Z., E.M., C.L., X.C., M.H., Q.W., and Z.Z. conducted the analysis and discussion. Y.L., B.W, Y.Z. and Q.W. provided advice on this work. Y.-H.L. supervised the manuscript. All authors contributed to the writing and review of the manuscript.
Corresponding author
Ethics declarations
Competing interests
The authors declare no competing interests.
Additional information
Publisher’s note Springer Nature remains neutral with regard to jurisdictional claims in published maps and institutional affiliations.
Supplementary information
Rights and permissions
Open Access This article is licensed under a Creative Commons Attribution-NonCommercial-NoDerivatives 4.0 International License, which permits any non-commercial use, sharing, distribution and reproduction in any medium or format, as long as you give appropriate credit to the original author(s) and the source, provide a link to the Creative Commons licence, and indicate if you modified the licensed material. You do not have permission under this licence to share adapted material derived from this article or parts of it. The images or other third party material in this article are included in the article’s Creative Commons licence, unless indicated otherwise in a credit line to the material. If material is not included in the article’s Creative Commons licence and your intended use is not permitted by statutory regulation or exceeds the permitted use, you will need to obtain permission directly from the copyright holder. To view a copy of this licence, visit http://creativecommons.org/licenses/by-nc-nd/4.0/.
About this article
Cite this article
Wei, B., Chai, M., Liu, C. et al. Phonon bunching induced strong four-phonon scattering for low lattice thermal conductivity in layered Na2CoSe2O. npj Quantum Mater. 11, 3 (2026). https://doi.org/10.1038/s41535-025-00832-w
Received:
Accepted:
Published:
Version of record:
DOI: https://doi.org/10.1038/s41535-025-00832-w







