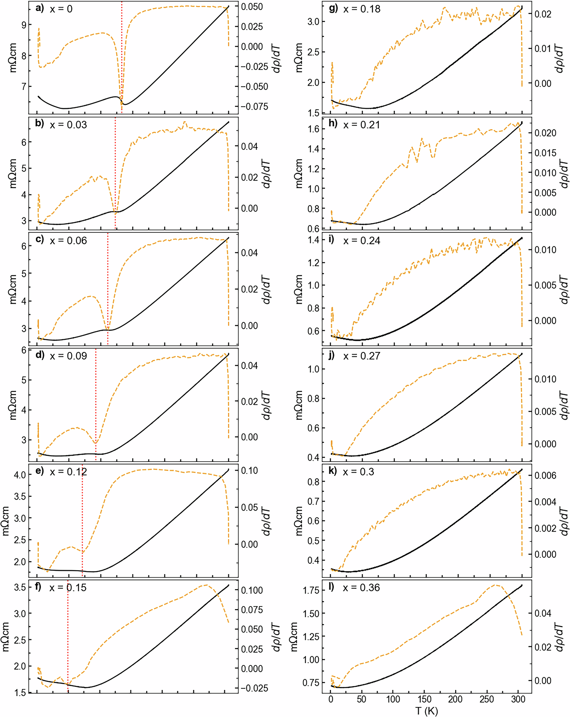
Fig. 1: Transport signatures of density-wave suppression with Cu.
From: Suppression of intertwined density waves in La4Ni3-xCuxO10+δ

a−f Temperature dependent resistivity of La4Ni3-xCuxO10+δ for selected doping levels, measured from 0 to 300 K. The black solid line depicts resistivity, while the orange dashed lines show the first derivative in resistivity with respect to temperature. The density wave transition, Tdw, is marked at the minima of \(\frac{d\rho }{{dT}}\) using a vertical red dotted line. As Cu content increases, Tdw shifts to lower temperature and the magnitude of the resistive anomaly progressively weakens. The width of the transition broadens with Cu substitution as well. At approximately \(x=0.15\), the inverted peak seen previously in the first derivative is nearly fully suppressed.