Abstract
Infant rice cereal (IRC), presents an increasing risk of allergic reactions upon initial exposure, effective assessment models remain underdeveloped. This study established an intestinal allergy model in female Wistar rats using lipopolysaccharide (LPS) as an adjuvant to simulate first-time IRC exposure. Clinical symptoms, physiological indicators, and immunological analyses results demonstrated that LPS triggered intestinal allergic responses and elevated serum levels of immunoglobulins (IgE, IgG, IgA, IgD, IgM), mast cell markers (mMCP-1 and MCT), and plasma histamine (HIS). Intestinal tissue analysis revealed significant increases in IgE, secretory IgA, HIS, and complement (C3, C4) in the jejunum and ileum, confirming these regions as key mucosal immune activation sites. Furthermore, LPS-induced responses were localized to the intestines and did not alter spleen or thymus cytokines. The proposed model effectively simulates IgE-mediated intestinal allergy to IRC, thereby offers a reliable platform for evaluating IRC allergenic variations and supporting safer infant complementary food development.

Similar content being viewed by others
Introduction
Infant rice cereal (IRC) is consumed globally, playing a critical role in early feeding and serving as one of the first complementary foods introduced during the transition from breastfeeding or formula feeding to solid foods1. In developed markets, such as Europe and the United States (US), the consumption structure ratio of cereal-based complementary foods, namely, IRC, snack-based complementary foods, and meal-supporting complementary foods, is approximately 4:4:2. In China, the market size of the infant complementary foods industry reached approximately 43.41 billion yuan in 2022, with IRC accounting for 50.4% of total consumption—equivalent to a market size of 21.88 billion yuan2.
Although IRC is generally regarded as hypoallergenic, evidence indicates an increasing trend in allergic responses among infants and young children upon initial exposure, with symptoms appearing more severe over time. These findings suggest that the early introduction of IRC may elevate the risk of allergic reactions in infants3. For example, in the United Kingdom (UK), a retrospective survey of 571 infants with a mean age of 6 months presented self-reported possible and confirmed food allergy prevalence rates of 4.6% and 2.8%, respectively, based on oral food challenge results within the infant oat rice cereal group. A 2019 Italian study involving 24 infants and toddlers (mean age: 16.3 months) sensitized to rice antigen reported high rice-specific IgE positivity, with some individuals exhibiting symptoms, such as rash, vomiting, diarrhea, and facial edema, following rice-product ingestion4. In Japan, the prevalence of rice allergy among infants and toddlers ranges from 0.1% to 0.5%. Furthermore, initial ingestion of rice flour in this population has been associated with allergic reactions, such as rash, itching, swelling, vomiting, and diarrhea. In rare cases, more severe symptoms, including respiratory distress, were reported. In South Korea, among 243 infants and toddlers with allergic conditions, 8.6% were diagnosed with rice allergy, with some exhibiting symptoms following consumption of rice cereal4. A cohort study in the US involving 488 infants linked the earlier introduction of rice cereal to increased risks of upper and lower respiratory tract infections, respiratory symptoms, fever, and allergic reactions3. Similarly, in Australia, a study of 1915 infants reported a food allergy prevalence of 8.2% among those under one year of age, with rice cereal identified as a common allergen. Affected infants also showed mild to moderate allergic symptoms upon first ingestion in the same study.
Reports of rice cereal-induced allergies are also emerging in Africa, as complementary foods gain popularity in the region. In China, official statistics on the incidence of “IRC allergy” are limited and not updated in real time. Based on an internal consumer complaint database (Source: Hunan Enoulite Nutritional Food Co., Ltd), IRC-related allergies account for 48.5% of all complaints regarding infant complementary food. In particular, stage 1 IRC (typically formulated with rice, oligofructose, coconut oil, vitamins, and minerals, and is free of eight major allergens) accounts for 74.3% of allergic reactions to IRC. The main symptoms include rashes, gastrointestinal (GI) discomfort, and respiratory symptoms, which are consistent with reports from other countries.
The gut is a critical immune organ and a primary entry point for allergens, rendering it particularly vulnerable to sensitization during early immune development. Gut-associated allergies have emerged as a major concern due to their involvement in the pathogenesis of various allergic reactions. Furthermore, intestinal epithelial dysfunction and altered gut microbiota composition have been reported to contribute to the increased susceptibility of infants to gut-related allergic responses5. Unlike common food intolerance, intestinal allergy involves a specific immune response and can be triggered through immunoglobulin E (IgE)-mediated or non-IgE-mediated mechanisms. IgE-mediated intestinal allergy is typically characterized by an acute immune response. Upon initial ingestion of a specific food, the immune system produces antigen-specific IgE antibodies that bind to mast cells or basophils. Subsequent exposure results in the cross-linking of these antibodies with food allergens, leading to the release of inflammatory mediators (e.g., HIS) and the onset of allergic symptoms, including severe abdominal pain, vomiting, and cutaneous manifestations6. In contrast, non-IgE-mediated intestinal allergies generally present as chronic GI conditions, such as persistent diarrhea, abdominal discomfort, and dyspepsia. These reactions are mediated by immune cells, such as T cells, and are associated with delayed symptom onset—often occurring hours to days after ingestion—due to the chronic inflammation of the intestinal mucosa. This type of immune dysregulation may lead to sustained mucosal inflammation with long-term implications for intestinal health7.
The assessment of allergenic potential in various types of IRC has gained increased attention as a proactive strategy to mitigate future allergic reactions. Unlike extensive research and well-established models investigating the allergenicity of milk powder in infant foods, the present study focuses on IgE-mediated intestinal allergic responses elicited by infants’ first exposure to IRC. This focus is scientifically significant, as it addresses the paradox whereby infants exhibit IgE-mediated hypersensitivity to rice antigens despite no prior known exposure. Unlike allergies that result from classic sensitization, this reaction may reflect cross-reactivity with previously ingested dietary proteins, such as cow’s milk proteins. Previous studies have suggested that certain cereal protein epitopes share structural similarities with milk protein antigens8,9. In infants with immature gut-associated lymphoid tissue (GALT), early exposure to milk may induce polyclonal IgE activation or bystander sensitization, which, in turn, promotes nonspecific IgE production that cross-reacts with novel cereal antigens. The investigation of IgE-mediated intestinal allergy in this context is essential due to its biological complexity and persistence. Accordingly, it is necessary to adopt a highly sensitive and specialized method to detect and analyze the potential allergenicity of IRC products at first exposure.
In response to the abovementioned problem, the use of immune adjuvants to induce allergic responses has been proposed as an effective strategy for evaluating food allergenicity10. These adjuvants trigger allergic reactions through various mechanisms, with a core function of promoting sensitized immune responses and disrupting immune homeostasis11. Adjuvants can induce Th2-type immune polarization that stimulates B cells to produce large quantities of IgE antibodies in response to cytokines, such as interleukin-4 (IL-4) and interleukin-5 (IL-5). These IgE antibodies bind to high-affinity FcεRI receptors on mast cells and basophils, predisposing the host to a sensitized state. Simultaneously, the adjuvant-mediated activation of pattern recognition receptors, such as toll-like receptors (TLRs), may cause local tissue injury and release proinflammatory cytokines (e.g., IL-6 and TNF-α) as well as damage-associated molecular patterns (DAMPs). In turn, such a condition leads to a persistent inflammatory microenvironment that further activates immune cells and enhances the secretion of inflammatory mediators12.
Moreover, certain adjuvants may inhibit regulatory T cell (Treg) activity, diminishing the suppression of the Th2 response and enhancing antigen presentation, which, in turn, facilitates additional IgE production. Some adjuvants, such as aluminum salts, also nonspecifically lower the activation threshold of mast cells, thus intensifying allergic responses13. Additionally, adjuvants increase antigen-cell contact, promote antigen retention at the site of administration, and extend antigen presentation duration through slow-release mechanisms, all of which enhance antigen uptake by macrophages14. This process significantly amplifies the magnitude and duration of the immune response.
Adjuvants also influence antibody affinity, specificity, and isotype distribution, as well as promote robust cell-mediated immune responses. By enhancing antigen-cell interactions and inducing localized inflammation, adjuvants facilitate antigen precipitation and delay release, further supporting efficient antigen recognition and immune activation14. Collectively, these mechanisms optimize antigen recognition and amplify immune responses, which are key processes for inducing and evaluating allergic reactions.
In accordance with their application field, immune adjuvants can be broadly classified as oral or injectable adjuvants. Compared with injectable forms, oral adjuvants are designed to enhance immune responses via the GI tract, thereby stimulating local immunity and promoting antibody production in mucosal tissues15. Furthermore, oral immune adjuvants more effectively simulate human food allergy conditions, mimicking natural exposure pathways and improving experimental reproducibility and stability. As these characteristics enhance the scientific validity and credibility of food allergy models16, this enables more accurate investigations into the mechanisms and influencing factors of allergic responses. Based on their biochemical composition, oral immune adjuvants can be categorized into protein, polysaccharide, lipid, inorganic, and microbial adjuvants14.
Animal models—including dogs, swine, guinea pigs, mice, and rats—have been widely used to assess food allergenicity17,18,19,20. Despite their established experimental utility, these species present distinct immunophysiological characteristics and applications21,22. BALB/c and C57BL/6 mice are uniquely valuable in allergy research owing to their well-defined Th2/IgE-biased immune mechanisms. Their small size, short breeding cycles, and well-characterized immune systems further enhance their experimental advantages. Nevertheless, murine allergy models demonstrate remarkable heterogeneity regarding strain selection, sensitization methodology, allergen classification, dosage parameters, and adjuvant incorporation. This heterogeneity reflects the intrinsic complexity of allergic responses while highlighting the difficulty of identifying a single reliable biomarker for protein sensitization potential23,24. Rat models maintain widespread implementation in nutritional-metabolism research25 and have an extensive experimental literature, making them an attractive model for investigating links between food allergy and nutritional metabolism26,27. Their characteristically moderate immune responsiveness facilitates the study of mild-to-moderate allergy mechanisms that may resemble certain human presentations. Wistar rats have been validated as a suitable model for IgE-mediated food allergies with gastrointestinal manifestations, and related sensitization/challenge studies have been published28,29,30,31. Furthermore, substantial evidence indicates that female subjects consistently demonstrate enhanced Th2/IgE polarization and amplified mast cell–mediated responses compared to their male counterparts. From a translational perspective, comparative gastroenterology studies suggest that rats display human-like gastrointestinal physiology across multiple parameters (e.g., motility patterns and bile acid milieu). In certain contexts, the Wistar strain shows more pronounced clinical and histological alterations, which is particularly valuable for clinically oriented studies—especially those comparing symptoms with intestinal pathology17. This strengthens the face validity of gut-centered immunotoxicology research and may improve extrapolation to infant populations, whose mucosal immune systems are immature and strongly influenced by the microbiota and innate immune pathways. In summary, while mouse models remain indispensable for gene-targeted discovery, the female Wistar rat model offers methodological advantages and greater clinical relevance for evaluating initial exposure to intestinal allergens.
Compared with traditional oral gavage, natural ingestion better simulates real-world allergen exposure under physiological conditions. This approach reflects typical human dietary intake patterns and more accurately models intestinal allergic processes.
Therefore, to simulate initial exposure and allergic reactions to IRC, the current study used casein as a standardized protein antigen under suited immune adjuvant conditions and IRC as an allergy provocation agent. The evaluation was conducted using a comprehensive set of indicators, namely, clinical symptoms, physiological parameters, blood and intestinal biochemical markers, and immune function, all of which are based on natural food intake to closely replicate physiological conditions. The primary aim of this study was to establish an effective intestinal allergic model for the initial introduction of IRC using female Wistar rats. This model provides a reliable platform for investigating early-stage immune responses to rice cereal and is essential for elucidating the immunopathological mechanisms involved in food allergy development. By mimicking first-time exposure to IRC, the proposed model facilitates the detailed analysis of its immunogenicity and allergenic potential. This approach not only contributes to a deeper understanding of allergic mechanisms but also offers a practical tool for testing strategies aimed at preventing or mitigating allergic reactions. The relevance of this model lies in its potential to support the development of safer infant food products and to inform public health strategies for reducing the incidence of food allergies, particularly in vulnerable populations.
Results
Evaluation of immune adjuvants in inducing IRC allergy in rats: Clinical symptom score and body temperature across groups
In the current study, clinical allergic symptoms were assessed 1 h following the allergic challenge, and severity was graded in accordance with the criteria described in the Materials and Methods section. As shown in Supplementary Fig. 1A, all rats in the blank control group scored zero for clinical symptoms. In the immune adjuvant groups, one or two rats in each group exhibited mild symptoms, specifically scratching and rubbing around the nose and mouth, which correspond to a clinical score of 1. Notably, in the LPS group, one rat showed a more pronounced reaction, including puffiness around the mouth and reduced activity, resulting in a score of 2. These symptoms were more evident than those in the other groups. Among all groups, the LPS group exhibited the most pronounced allergic symptoms.
In the current study, rectal temperatures were recorded following IRC allergen provocation induced by different immune adjuvants. As shown in Supplementary Fig. 1B, rats in the blank group maintained normal body temperatures, with an average of 36.12 °C. In contrast, the LPS group showed the lowest mean body temperature at 35.02 °C, followed by the CHI group. Other adjuvant groups remained within the normal temperature range.
Evaluation of immune adjuvants in inducing IRC allergy in rats: serum Ig levels across groups
The serum levels of IgE, IgG, IgA, IgD, and IgM in young rats across different immune adjuvant groups are presented in Fig. 1. In the blank group, the serum levels of all Ig classes were the lowest. In contrast, all immune adjuvant groups showed varying degrees of elevation in Ig levels. The LPS group exhibited the highest levels across all Ig types, indicating the strongest allergic response among the groups. Furthermore, LPS-induced enhancement in Ig levels was not limited to IgE alone. All Ig classes, including IgG, IgA, IgD, and IgM, were significantly elevated. Apart from the LPS group, a more pronounced increase in Ig levels was observed in the CHI group.
Evaluation of immune adjuvants in inducing IRC allergy in rats: serum mMCP-1, MCT, and plasma HIS levels across groups
As shown in Fig. 2A, serum mMCP-1 levels were significantly elevated in all immune adjuvant groups compared with the blank group, thus mirroring the trends observed for Ig levels. This indicates that different immune adjuvants enhance the immunogenicity of IRC antigens. Among all groups, the LPS group exhibited the highest increase in mMCP-1, suggesting that LPS is the most potent adjuvant in triggering allergic responses. Additionally, the CHI group showed a marked elevation in mMCP-1 levels, supporting the role of CHI in enhancing food antigen immunogenicity. As illustrated in Fig. 2B, MCT levels were significantly elevated in all immune adjuvant groups compared with the blank group. The LPS group showed the highest MCT levels, followed by the CHI group. As shown in Fig. 2C, compared with the blank group, the LPS group exhibited the highest plasma HIS levels, indicating a strong allergic activation effect mediated by mast cell degranulation. Excluding the Zn(OH)₂ group, all other immune adjuvant groups—β-glucan, CHI, LBP, APS, MOS, Man, B2, and Gin—also showed significantly elevated HIS levels relative to the blank group, indicating that these adjuvants effectively contribute to the allergic response and stimulate HIS release.
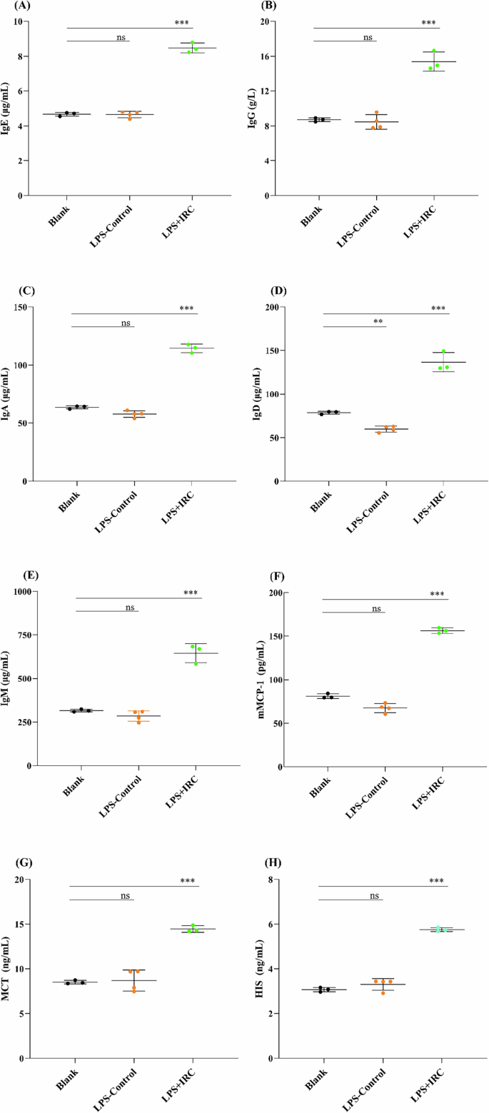
Serum and plasma indicator verification of LPS-induced IRC allergy in rats
Based on the preceding results, LPS was identified as the most effective immune adjuvant in enhancing the immunogenicity of IRC allergens, eliciting the strongest immune response in the IRC allergy model. To further validate this finding, the study compared allergic indicators between an LPS control group and an LPS + IRC group. This comparison aimed to determine the specific contribution of LPS-induced allergic responses following exposure to IRC. The serum and plasma levels of Ig, MCT, mMCP-1, and HIS in these groups are presented in Fig. 3. The results showed that, with the exception of a significant reduction in serum IgD levels in the LPS control group, no significant differences were observed between the LPS control group and the blank group for any other indicators (p > 0.01). IgD is primarily involved in the early stages of immune system activation, and its decreased levels may be associated with initial immune modulation by the adjuvant32. In contrast, the LPS + IRC group exhibited the highest levels of all measured biomarkers, with statistically significant increases across all indicators (p < 0.001). This group also demonstrated the most pronounced allergic reaction, confirming that LPS significantly enhances the allergenic potential of IRC33. Importantly, the data also indicated that the LPS adjuvant alone, at the tested dosage, did not independently trigger allergic reactions in the absence of antigen exposure. This finding confirms that the adjuvant itself does not induce allergic symptoms but facilitates allergy in the presence of the rice cereal allergen. Overall, these findings validate the effectiveness of the established allergy model, as it resulted in elevated immune markers only upon stimulation with IRC. Clear differences in allergic response were observed before and after allergen introduction.
A Serum immunoglobulin IgE levels, B Serum immunoglobulin IgG levels, C Serum immunoglobulin IgA levels, D Serum immunoglobulin IgD levels, E Serum immunoglobulin IgM levels, F Serum mMCP-1 levels, G Serum MCT levels, H Plasma HIS levels. Significant differences between groups: *p < 0.001, p < 0.01, p < 0.05; “ns” indicates no significance.
Cytokine expression in spleen and thymus and spleen histological analysis in LPS-induced IRC allergy rats
To identify the primary immune organs involved in the allergic responses of this model, the thymus and spleen—both key lymphoid organs—were selected for cytokine profiling and histological analysis. As shown in Supplementary Fig. 2, no significant differences were observed between the blank group and the LPS + IRC group in terms of the levels of cytokines in either the spleen or thymus.
Due to the small size of the thymus, which imposes technical challenges for precise sectioning and immunohistochemical staining, this study focused exclusively on spleen tissue for histological evaluation. Among the markers examined, CD8⁺ T cells are frequently used to assess immune regulation and cytotoxic activity, with altered levels often reflecting immune imbalance; thus, it plays a crucial role in IgE-mediated allergic inflammation34. Mast cells, which play a central role in allergic reactions, serve as primary effectors by releasing HIS and cytokines upon activation. Their presence and activation state have been shown to be closely associated with the severity of allergic responses35.
Representative spleen tissue images and quantitative analyses of CD8⁺ T cells and mast cells in both the blank group and the LPS + IRC group are presented in Supplementary Fig. 3. The results showed no significant differences in the number or distribution of these immune cell types between the two groups. These findings indicate that LPS-induced IRC allergy did not induce measurable changes in splenic immune cell populations within the timeframe studied.
Intestinal tissue analysis in LPS-induced IRC allergy rats: Ig levels in different intestinal segments
Figures 4–8 present the levels of IgE, IgG, IgA, IgD, and IgM across the duodenum, jejunum, ileum, cecum, and colon in the LPS + IRC group, compared with the LPS-control and blank groups.
For IgG (Fig. 5), IgA (Fig. 6), and IgM (Fig. 8), a clear and consistent pattern was observed: in all intestinal segments, levels were significantly higher in the LPS + IRC group compared to the blank and LPS-control groups (p < 0.001). No significant differences were observed between the blank and LPS-control groups. Additionally, IgG, IgA, and IgM levels were relatively uniform across segments, suggesting widespread humoral activation along the intestinal tract.
For IgE (Fig. 4) and IgD (Fig. 7), a similar trend was observed, with the LPS + IRC group exhibiting significantly elevated levels in most intestinal segments, especially the jejunum. However, no significant differences were detected between the blank and LPS-control groups. Minor inconsistencies across segments—likely due to individual variability in one rat—did not alter the overall pattern of elevated immune reactivity in the LPS + IRC group.
Taken together, the LPS + IRC group showed significant increases in all Ig classes across each intestinal segment compared with LPS-controls. Notably, the jejunum demonstrated the most marked increases in IgE and IgG, identifying it as a primary site for mucosal immune activation. Furthermore, elevated IgA, IgD, and IgM levels reflect the intestine’s broader immune surveillance role in responding to dietary antigens and microbiota. These findings confirm that LPS, as a potent immune adjuvant, significantly enhances mucosal immune responses to IRC. The resulting Ig profiles validate the model’s effectiveness in simulating intestinal allergic reactions following first-time IRC exposure.
Intestinal tissue analysis in LPS-induced IRC allergy rats: sIgA and HIS levels in different intestinal segments
As shown in Figs. 9 and 10, the data provide essential insights into the intestinal immune landscape in LPS-induced IRC allergy rats. Figure 9 illustrates the distribution of sIgA levels, showing significantly elevated concentrations specifically in the jejunum and ileum. This finding emphasizes the strategic immunological role of these segments in antigen neutralization and immune surveillance. The significant increase in sIgA levels (p < 0.001) observed in the jejunum and ileum of the LPS + IRC group, compared to the blank and control groups, reflects mucosal immune activation and an allergic response state in this group. Consistent with these findings, Fig. 10 demonstrates elevated HIS levels in the same intestinal regions—particularly the jejunum and ileum—in the LPS + IRC group. This HIS distribution aligns with observed allergic symptoms, thus supporting the known role of HIS as a downstream effector of mast cell degranulation and a contributor to allergic pathophysiology. The significant increases in HIS levels (p < 0.001) further validate the activation of mast cell-driven allergic mechanisms.
A noteworthy observation is the strong concordance in the segmental trends among IgE, IgD, sIgA, and HIS levels. This consistency highlights a coordinated immunological response across these key biomarkers within the allergic model, with the jejunum consistently emerging as a primary site of immune activation.
Intestinal tissue analysis in LPS-induced IRC allergy rats: complement C3 and C4 levels in different intestinal segments
As shown in Figs. 11 and 12, C3 and C4 levels were respectively significantly elevated in different intestinal segments of rats in the LPS + IRC group compared with the blank and LPS-control groups (p < 0.001). Allergies can cause complement changes, and this distinct pattern of complement activation hints at a possible role of the complement system in mediating allergic inflammation in the intestinal tract. Thus, complement components might not only be involved in antigen clearance but also contribute to exacerbating allergic responses through inflammatory amplification. The increased C3 and C4 levels highlight the involvement of intestinal segment, particularly the jejunum and ileum, as critical sites of immune activation and allergic response. These findings further underscore the intestine as a key target for intervention strategies aiming to regulate complement activation and reduce inflammation. Overall, the results not only support the integral role of the complement system in food allergy pathogenesis but also provide a scientific foundation for designing targeted therapies that mitigate complement-mediated intestinal allergenicity inflammation.
Discussion
Exposure to allergens typically triggers a cascade of clinical allergic reactions, including nausea, vomiting, and diarrhea, and clinical symptom scores are a standard method for evaluating the severity of such allergic responses36; in animal allergy models, a decline in body temperature is commonly observed during allergic reactions, particularly in cases of systemic allergies or anaphylactic shock37, and in the current study, rectal temperatures were recorded following IRC allergen provocation induced by different immune adjuvants, with the decrease in body temperature consistent with previous findings and potentially related to systemic vasodilation and the release of mediators during allergic reactions38; additionally, stress responses in rats lead to decreased body temperature and should thus be considered as a contributing factor39, and to minimize distress of rats and reduce handling-related stress during temperature assessment, non-contact infrared thermography (IRT) and/or RFID microchip thermometry were available as refinement options and are prioritized in subsequent iterations.
Serum IgE serves as a key biomarker in allergic diseases. It is synthesized and secreted by B lymphocytes and plays a central role in type I hypersensitivity reactions. For this reason, elevated IgE levels are closely associated with the severity of allergic responses and are used to assess an animal model’s sensitivity to specific antigens, such as food or environmental allergens. Therefore, IgE is a critical indicator of successful allergy model establishment; Serum IgG levels in allergic models reflect immune tolerance and memory, facilitating evaluations of inflammatory intensity and the effectiveness of desensitization or treatment protocols40. Meanwhile, IgA plays a vital role in maintaining mucosal barrier integrity and preventing antigen penetration, serving as a marker of mucosal immune function41. IgD is associated with B-cell activation and the sensitization process in allergy development; IgM, the first antibody produced during a primary immune response, indicates the body’s reaction to initial or repeated allergen exposure. Thus, elevated IgM levels may suggest acute allergic reactions or primary immune activation32. The findings of this study are consistent with prior studies, which have demonstrated that LPS serve as potent immunostimulants. In particular, LPS promotes sensitization by activating the innate immune system, leading to the increased production of antigen-specific IgE and a Th2-skewed immune response33. Furthermore, LPS-induced enhancement in Ig levels was not limited to IgE alone. All Ig classes, including IgG, IgA, IgD, and IgM, were significantly elevated. This broad increase may be attributed to several factors, namely, LPS-induced B-cell activation and proliferation, Th2-type cytokine secretion, and general enhancement of the humoral immune response42. LPS may also promote polyclonal B-cell activation or enhance antigen presentation, resulting in a generalized upregulation of antibody production. Therefore, the elevation of IgE and other Ig classes reflects the ability of LPS to broadly amplify immune activation and allergenic sensitization in the IRC model. Apart from the LPS group, a more pronounced increase in Ig levels was observed in the CHI group. This phenomenon may be attributed to the ability of CHI to enhance the activity of antigen-presenting cells and promote T-cell activation, which, in turn, indirectly stimulates B-cell differentiation and antibody production.
Studies have shown that mMCP-1, MCT, and HIS serve as direct biomarkers for evaluating allergic responses. As mast cells are activated during an allergic reaction, they release various inflammatory mediators, including enzymes and other bioactive substances. mMCP-1, a key inflammatory mediator released during mast cell or basophil degranulation, is considered a reliable indicator of mast cell activity and the severity of allergic responses43. The findings of this study are consistent with prior studies showing that LPS activates the immune system through interaction with Toll-like receptor 4 (TLR4), thus promoting the release of cytokines, type I interferons, and other proinflammatory mediators, including mMCP-1 as a marker of allergic inflammation44. It is known that CHI helps promote immune system activation, contributing to mast cell degranulation and downstream allergic responses. Overall, the findings demonstrate that various immune adjuvants can significantly increase the allergenic effect of IRC, with the LPS group inducing the most pronounced effect. Serum MCT is another inflammatory marker closely associated with mast cell degranulation and allergic reaction severity45. These data further confirm the capacity of immune adjuvants to enhance the immunogenicity of IRC allergens and underscore their role in reinforcing allergic immune responses. Previous research has established the critical role of IgE and mast cells in the pathophysiology of allergic reactions. Upon activation, mast cells release inflammatory mediators, including HIS and MCT, that contribute to increased vascular permeability, smooth muscle contraction, vasodilation, and other effects, ultimately resulting in symptoms, such as diarrhea, rash, anaphylaxis, or asthma46. Notably, serum MCT levels are positively correlated with the severity of allergic responses and are commonly used in clinical diagnostics45. Therefore, the elevated MCT levels observed in the LPS group in the present study suggest a heightened allergic response, which is likely due to enhanced recognition of and reaction to allergens via activation of specific immune pathways. In turn, such heightened immunogenicity leads to mast cell degranulation and the release of inflammatory mediators, thereby exacerbating allergic symptoms. In addition, HIS release is triggered during tissue damage or allergic reactions. This release, which increases capillary permeability, potentially results in local edema and other allergic symptoms. Furthermore, the concentration of plasma HIS is positively correlated with the severity of the allergic response. This result may be attributed to the ability of LPS to activate immune cells and promote proinflammatory responses, thereby increasing circulating HIS levels33.
Beyond its roles in digestion and nutrient absorption, the intestine is essential for immune regulation and maintaining epithelial barrier function. Dietary antigens primarily interact with the immune system within the intestinal tract. Intestinal immune cells and secretory components modulate systemic immune responses and tolerance to dietary antigens. When this immunological balance is disrupted, the intestinal immune system may become overactivated in response to allergens, resulting in exaggerated allergic reactions and clinical symptoms47. Therefore, the present study further explored allergic responses to IRC in young rats from an intestinal immunity perspective, aiming to elucidate the primary immune organs involved in the allergic responses of this model.
Intestinal Ig levels provide critical insights into mucosal immune responses to food antigens under allergic conditions. IgE, the principal antibody in allergic reactions, mediates type I hypersensitivity by triggering mast cell activation and HIS release, with concentrations directly correlating with symptom severity48. IgG reflects antigen exposure and the formation of immune memory, while IgA—the dominant mucosal antibody—marks local immune activity and serves as a key component of intestinal barrier defense49. In comparison, IgD modulates B cell responses and may influence both IgE production and intestinal inflammation32. Meanwhile, as the first antibody produced during early immune activation, IgM signals antigen recognition and can reflect immune dysregulation when elevated50. Together, these Ig isotypes offer a comprehensive overview of intestinal allergic sensitization and immune activation status, such that quantifying Ig levels by intestinal segment is essential for identifying key sites of allergic response and guiding the development of oral inhibitor delivery systems and targeted therapeutic formulations.
As the predominant antibody in the intestinal mucosa, sIgA constitutes a critical first line of defense against dietary antigens. It functions by neutralizing antigens and preventing their translocation across the intestinal barrier, thus maintaining immune homeostasis and reducing the risk of allergic sensitization. Variations in sIgA levels reflect dynamic changes in mucosal immune responses, making it a sensitive biomarker for evaluating intestinal immune competence and vulnerability to food allergies51. As a major mediator of allergic inflammation, HIS is released by mast cells and basophils upon immune activation. Thus, elevated HIS levels in the intestine not only indicate an enhanced immune response to specific food antigens but are also associated with the degree of mucosal inflammation and the manifestation of clinical allergic symptoms, such as abdominal pain, intestinal discomfort, and diarrhea52. Together, these findings reveal a complex and compartmentalized intestinal immune landscape in which sIgA and HIS function as critical indicators of mucosal immune responses. The convergence of elevated IgE, IgD, sIgA, and HIS levels in the jejunum suggests that this segment plays a central role in initiating and sustaining allergic responses. These insights underscore the potential of these biomarkers not only for monitoring allergic disease activity but also for evaluating the efficacy of immunotherapeutic interventions aimed at preventing or mitigating food allergies.
Allergic reactions can lead to increased levels of complement components C3 and C4, both of which play important roles in amplifying immune responses and exacerbating food allergy symptoms. The activation of these complement pathways contributes to intestinal inflammation and barrier dysfunction during allergy. Furthermore, complement C3 is a central regulator of immune responses, facilitating inflammation, enhancing antigen clearance, and modulating immune tolerance. Upon activation, C3 generates C3a and C3b, which promote the chemotaxis and activation of immune cells. These effects, in turn, aggravate mucosal inflammation, impair intestinal barrier integrity, and disrupt tolerance to dietary antigens53. Similarly, complement C4, which is activated via the classical and lectin pathways, plays a critical role in immune complex clearance and inflammatory signaling. C4 activation also contributes to local inflammation and mucosal injury and can act synergistically with mast cells to intensify allergic responses54. The measurement of C3 and C4 levels in intestinal tissues provides meaningful insights into the severity of food allergies and the involvement of complement-mediated inflammation. These biomarkers are also valuable for evaluating the impact of therapeutic interventions.
The observed changes in clinical symptoms, body temperature, serum Ig levels, serum mMCP-1, MCT, and plasma HIS levels following initial exposure to IRC may reflect the complex cross-immune response elicited by ingestion of a novel dietary protein. In infants who have not previously encountered rice antigens, the immune system may mistakenly identify these proteins as harmful, triggering a hypersensitive immune response. This process involves the production of antigen-specific IgE, which binds to mast cells and basophils. Upon subsequent antigen exposure, these sensitized cells release inflammatory mediators, such as HIS, resulting in the emergence of clinical symptoms (e.g., scratching and rubbing around the nose and mouth), potential fluctuations in body temperature, and elevations in serum Ig, mMCP-1, MCT, and plasma HIS levels. Notably, a distinctive aspect of this immune response lies in its occurrence without prior sensitization to rice antigens. This information suggests the potential for cross-reactivity with previously encountered dietary proteins, such as casein (cow’s milk proteins). Shared structural epitopes between rice and milk proteins may result in an erroneous immune response upon initial rice cereal ingestion, highlighting the complexity of food allergy development in early life. Overall, in accordance with the anticipated restricted systemic impact characteristic of orally administered low-dose lipopolysaccharide (LPS), the absence of changes in the LPS-only group—together with the unchanged splenic/thymic cytokine panel reported in Section 3.5—supports a gut-localized immune activation rather than generalized systemic inflammation. Therefore, Species and developmental differences, as well as the relationship between experimental lipopolysaccharide (LPS) doses and human and environmental exposures, are critical for translational interpretation. LPS can broadly induce inflammation, immune responses, and allergic reactions, and may also function as immunological adjuvants, depending on the experimental LPS doses and route of administration. Orally administered LPS shows distinctly different pharmacokinetics and safety compared with systemic (parenteral) administration — by “systemic administration” we refer to parenteral routes such as intravenous (IV), intraperitoneal (IP), subcutaneous (SC), or intramuscular (IM) injection, which produce rapid and high circulating LPS bioavailability. Systemic (parenteral) LPS provokes dose-dependent whole-body cytokine release and sickness behavior at extremely low systemic exposures (human IV endotoxin challenge: single-digit ng kg−1 range is biologically active), and in rodents parenteral doses in the μg–mg kg−1 range readily induce systemic inflammation and sepsis-like responses55,56. By contrast, multiple experimental and safety studies show that orally delivered LPS has limited systemic bioavailability under physiological gut integrity and typically acts as a local mucosal immune modulator or adjuvant rather than a systemic toxin. Experimental oral regimens that are reported to produce local mucosal/adjuvant effects while avoiding systemic endotoxemia generally fall in the ~0.01–1 mg kg−1 range (many mouse studies use ~0.3–1 mg kg−1 or intermittent dosing in that band); in rats, oral administration of ~2 mg kg−1 for two weeks was reported without systemic toxicity in safety studies. These data support the interpretation that 0.01–1 mg kg−1 (oral) is a practical “low-dose” window for mucosal adjutancy that minimizes systemic cytokine storms in healthy animals56,57,58,59. The objective of using LPS in the present model is sensitivity assessment: to reveal or amplify the propensity for intestinal IgE responses upon first exposure to infant rice cereal (IRC) by using an oral adjuvant in a developmentally immature host. Given the dose- and route-dependent nature of LPS toxicology, we deliberately co-formulated a 1.5 mg/kg low-dose oral solution in a food matrix to minimize systemic bioavailability, with the aim of inducing local mucosal adjuvant effects rather than systemic endotoxemia.
These effects may be attributed to several factors, including immune system immaturity, epitope cross-reactivity, and adjuvant-driven immune amplification. In early infancy, prior dietary exposure to structurally similar antigens may induce polyclonal IgE production via bystander activation or epitope mimicry. Upon initial exposure to rice cereal antigens, preexisting IgE antibodies may cross-react with novel rice antigens, leading to their misrecognition as harmful and as factors triggering allergic responses. Specifically, prior sensitization to cow’s milk proteins may result in the production of nonspecific IgE, which also recognizes rice proteins through shared epitopes. In immunologically immature infants, this molecular mimicry may facilitate cross-reactive allergic responses, thereby offering a mechanistic explanation for the allergic reactions observed upon first exposure to rice cereal.
Th2-associated cytokines (IL-4, IL-5, IL-13, and IL-10) play a central role as mediators of the Th2-type immune response in IgE-mediated allergic reactions12. Meanwhile, proinflammatory cytokines (TNF-α, IL-1α, IL-1β, IL-6, IL-18, and IFN-γ) can mediate the initiation and amplification of inflammation; promote endothelial cell activation, fever, and acute phase responses; and act synergistically with Th2 cytokines. At the same time, Th1/Th17-associated cytokines (IFN-γ and IL-17A) regulate allergic inflammation and promote tissue damage, while chemokines (GRO/KC, MCP-1, MIP-1α, and MIP-3α) recruit neutrophils, monocytes, macrophages, dendritic cells, eosinophils, and T cells to allergen-exposed and inflammatory sites. Furthermore, growth and hematopoiesis-related cytokines (G-CSF, GM-CSF, M-CSF, IL-7, and IL-2) influence the production, survival, and activation of granulocytes, monocytes/macrophages, and lymphocytes, thus providing the cellular basis for allergic inflammation.
The thymus, as a primary lymphoid organ, and the spleen, as a secondary lymphoid organ, are regarded as instruments for immune system defense in response. Nevertheless, within the context of the present investigation, comprehensive analysis revealed an absence of multifactorial immunological alterations within these two specific organ systems, thereby establishing that neither anatomical structure manifested characteristic immune defense mechanisms nor contributed to the development of a measurable systemic inflammatory response cascade. The spleen is a substantial source of cytokines, such as TNF-a, in the circulation during systemic inflammation, as elucidated by studies in which surgical removal of the spleen largely reduces the initial increases in plasma TNF-a levels in response to systemic inflammation60. This indicates that no apparent systemic endotoxemia or inflammation occurred at the tested oral dose and route of administration. These findings suggest that the modeling approach proposed in the current study does not significantly alter multicellular cytokine expression in these immune tissues.
Additionally, the timing of tissue sampling and the characteristics of the experimental model could account for the absence of detectable changes in CD8⁺ T cells and mast cells. This outcome may reflect the specific mechanistic pathway of LPS-induced allergic sensitization, leading to increased sensitivity to allergens, as well as the spleen’s limited involvement in the acute phase of food-induced allergic responses. Notably, allergic responses to dietary antigens typically involve complex interactions among multiple immune compartments, especially those within the intestinal tract, where mucosal immunity plays a dominant role. The absence of significant immune changes in the spleen and thymus may be attributed to the compartmentalized nature of mucosal immune responses.
Upon the initial ingestion of IRC, antigens are likely to preferentially activate GALT rather than systemic immune organs. GALT, the principal site for initiating IgE-mediated hypersensitivity, contains a dense network of dendritic cells and plasma cells that facilitate rapid antigen capture and localized immune activation41. This compartmentalization effect may limit the systemic dissemination of immune signals to secondary lymphoid organs, such as the spleen and thymus, thereby reducing their role in allergic reactions. Moreover, the use of LPS as an immune adjuvant may selectively promote Th2 polarization and IgE class switching within the intestinal mucosa via the TLR4 signaling pathway without broadly activating systemic immune responses33. Significant alterations in systemic immune organs may require prolonged or repeated antigen exposure—a feature more typical of chronic allergy models10. Importantly, the use of young rats with immature immune systems—intended to simulate human infants—may further accentuate these compartmentalized effects. The neonatal immune system is marked by high Treg activity and delayed Th1/Th17 development7, which may restrict immune activation to systemic immune organs during initial antigen exposure. Furthermore, preexisting cross-reactive IgE antibodies generated from earlier dietary antigens casein (e.g., cow’s milk proteins), may bind directly to intestinal mast cells upon first contact with rice cereal antigens, bypassing regulation by systemic immune compartments9. Therefore, given the lack of observable immunological alterations in the spleen and thymus, future studies should emphasize localized intestinal responses.
The LPS-induced intestinal allergenicity model for IRC developed in this study provides key insights into IgE-mediated hypersensitivity that occurs upon first exposure to cereal antigens. In infants with immature GALT, the initial ingestion of novel dietary proteins, such as rice cereal, may provoke aberrant immune recognition due to molecular mimicry or structural similarities between rice cereal epitopes and previously encountered antigens, such as cow’s milk proteins8. This cross-reactivity can result in polyclonal IgE activation via bystander sensitization, even in the absence of prior rice antigen exposure. The immune response might be further amplified by LPS, which acts as a potent adjuvant by activating the innate immune system through TLR4 signaling. In turn, this activation promotes dendritic cell maturation and Th2 polarization42. The resulting IL-4 and IL-13 cytokine environments drive B-cell class-switching to IgE, which binds to high-affinity FcεRI receptors on mast cells and basophils.
Following initial rice cereal consumption, preexisting cross-reactive immunoglobulin E (IgE) antibodies may demonstrate rapid recognition of specific rice antigenic determinants, precipitating a cascading immunological response characterized by significantly elevated concentrations of diverse immunoglobulins (notably including IgE), subsequent activation of mast cell degranulation processes, and the consequent liberation of histamine and an array of pro-inflammatory mediator compounds into the surrounding tissue microenvironment61. This mechanism consists of the elevated IgE, IgG, IgA, IgD, IgM, sIgA, and HIS levels observed in the Jejunum and Ileum. Additionally, the predominance of localized immune responses in the intestinal mucosa—rather than in systemic immune organs like the spleen or thymus—highlights the central role of GALT in the early stages of food allergy. The developmentally immature intestinal epithelial barrier characteristic of neonates and young infants exhibits enhanced permeability that potentially facilitates increased antigen translocation across the mucosal interface, consequently amplifying mucosal immune activation mechanisms. Lipopolysaccharide exposure further exacerbates this physiological vulnerability through targeted disruption of epithelial tight junction complexes and consequent elevation of paracellular permeability, thereby establishing favorable conditions for augmented allergen uptake across the compromised intestinal barrier. Simultaneously, complement activation—evidenced by elevated levels of C3 and C4—amplifies the inflammatory response through anaphylatoxin release and immune complex formation, which, in turn, synergize with mast cell mediators to intestinal inflammation53,54. In summary, this model demonstrates that LPS-induced intestinal hypersensitivity to IRC involves complex interactions between innate and adaptive immune pathways. The Jejunum emerges as a central site of immune activation, characterized by IgE-mediated mast cell responses, HIS release, and complement activation. These findings provide a robust foundation for understanding the mechanisms of the first exposure of IRC development and may thus support the future design of targeted interventions for allergy prevention.
In conceptualizing subsequent investigational frameworks, it becomes imperative to comprehensively elucidate the intricate dose–response relationships and systematically characterize the cumulative immunological consequences of repeated exposure patterns, thereby establishing a robust scientific foundation for rigorous risk assessment protocols concerning infant rice cereals. In addition, for antigen-specific IgE memory and splenic cytokine reactivation, sensitization–memory–challenge paradigms designed to capture typically require 2-4 weeks before challenge. In this study, casein was not chosen for the construction of a “casein-specific IgE memory allergy model” but rather as a standardized protein antigen to test the ability of our short-term system to capture early mucosal immune activation and safety risk signals after the first oral exposure. Consequently, the primary objective underlying the implementation of this 7-day experimental model was to establish a pragmatic methodology for “early allergy risk screening” rather than to recapitulate the comprehensive immunological signature associated with long-term IgE memory phenotype development. Accordingly, this investigation specifically endeavors to simulate localized cross-reactive IgE-mediated immunological phenomena within the intestinal mucosal environment during initial antigen exposure, intentionally without establishing persistent systemic immunological memory or splenic recall responses, thereby justifying the implementation of an abbreviated temporal observation window.
Furthermore, cross-reactivity in food allergies is predominantly driven by homologous epitopes, requiring integrated validation through multiple approaches, including in vitro inhibition/inhibitory ELISA, basal cell activation assays, and computational methods (sequence/structural homology, epitope prediction)62. For the specific ‘rice-milk’ pairing, direct evidence of relevant IgE-mediated cross-reactivity remains lacking, rendering this research particularly significant. At the immunotoxicology level, molecular mimicry and cross-reactivity may broaden an individual’s sensitization spectrum and exacerbate clinical manifestations. Clinical cohorts reveal concurrent IgE sensitization to diverse food groups, suggesting epitope sharing and environmental exposure jointly contribute to the poly allergy phenotype62,63. Methodologically, validation of potential “rice-milk” molecular mimicry, polysensitization, or cross-reactivity can be conducted through bioinformatics screening using standard FAO/WHO sequence similarity thresholds and linear/conformational epitope prediction. This should be followed by translational confirmation via purified candidate proteins in IgE inhibition/cross-inhibition assays and functional studies65.
This study demonstrated that LPS—acting as an immune adjuvant—significantly induced the intestinal allergenicity of initial introduction IRC in female Wistar rat pups. In particular, LPS induced IRC elevated serum Ig (IgE, IgG, IgA, IgD IgM) levels, mMCP-1, MCT, and HIS, indicating a robust allergic response. Notably, LPS-driven immune responses to initial IRC introduction were localized to the intestinal tract, with no significant alterations observed in splenic or thymic cytokine profiles, thus underscoring the gut-centric nature of this allergic reaction model. Furthermore, intestinal tissue analysis revealed pronounced increases in Igs (IgE, IgG, and IgA), sIgA, HIS, and complement components (C3 and C4) in different intestinal segments, indicating that these segments are critical sites for mucosal immune activation. The proposed model offers a reproducible and physiologically relevant platform for assessing the allergenic potential of IRC upon first exposure. We suggest that this model could be integrated into a standardized testing framework for hypoallergenic complementary foods, aiding regulatory bodies in the safety evaluation of these products. Subsequent investigative efforts should systematically address dose-response relationships and the immunological consequences of repeated allergen exposure to establish definitive risk thresholds and characterize long-term sensitization potential—parameters of paramount importance in establishing evidence-based safety standards for infant nutritional formulations. These findings emphasize that our proposed model effectively models IgE-mediated intestinal hypersensitivity to the initial introduction of IRC, thus mirroring human food allergy mechanisms.
Furthermore, this study raises concerns about the potential allergenicity of hypoallergenic complementary foods and underscores the need for rigorous safety evaluations. Future research should elucidate the molecular pathways linking LPS-induced allergy following the initial introduction of IRC to intestinal barrier dysfunction, including metabolomic profiling of gut tissues and characterization of microbial modulation of immune responses. Additionally, exploring mitigation strategies to reduce allergy to rice flour–based complementary foods—particularly among high-risk infants and young children—could provide a viable evaluation approach. Such efforts would be a critical step toward ensuring safer complementary feeding practices and could help reduce the immunogenicity of allergens in IRC allergy, thereby addressing potential mechanisms relevant to cross-allergy with casein. The study also raises concerns about cross-allergy between milk proteins and cereal-based complementary foods and underscores the necessity for rigorous safety assessments in product development. Accordingly, future work should aim to elucidate the molecular mechanisms underlying LPS-induced allergenicity, including investigations of intestinal barrier dysfunction, metabolomic profiling of gut tissues, and the influence of the microbiota on allergenicity. Finally, identifying and testing strategies to reduce allergenicity in rice flour–based complementary foods—especially for high-risk infants—may provide practical solutions for safer dietary introduction during early life. In conclusion, these findings represent a critical step toward establishing more effective and precautionary complementary feeding practices.
Methods
Samples and chemicals
IRC samples were obtained from commercially available products provided by Hunan Enoulite Nutritional Food Co., Ltd. (Changsha, China). The IRC formulation included rice, oligofructose, coconut oil, vitamins, and minerals, and was free from the eight major food allergens. Lipopolysaccharide (LPS, ≥97%) was purchased from Sigma-Aldrich (St. Louis, MO, USA). β-Glucan (β-Glu, ≥90%), chitosan (CHI, ≥95%), mannan (Man, ≥99%), astragalus polysaccharide (APS, ≥98%), vitamin B2 (B2, ≥98%), and zinc hydroxide [Zn(OH)₂, ≥98%] were all obtained from Aladdin Reagent Co., Ltd. (Shanghai, China). Lycium barbarum polysaccharide (LBP, ≥95%) was obtained from Beishi Zongheng Technology Development Co., Ltd. (Beijing, China). Mannooligosaccharide (MOS, ≥93%) was purchased from Yuanye Bio-Technology Co., Ltd. (Shanghai, China), and ginsenoside (Gin, ≥93%) was obtained from AbMole Bioscience Co., Ltd. (Houston, TX, USA).
Animals, diet, and experimental design
All animal experiments were conducted using 3-week-old female Wistar rats (45–65 g) supplied by Beijing VL Laboratory Animal Co., Ltd. (Beijing, China). Each rat was accompanied by a valid animal quality certificate (110011231109670246). Rats were acclimated for 3 days prior to the start of the experiment. These were housed individually under controlled conditions: a 12 h light/dark cycle, ambient temperature of 22°C–25°C, relative humidity (RH) of 40%–70%, and air exchange rate of 10–20 times/hour. All Animal procedures were approved by the Animal Care and Use Committee of Hunan University of Chinese Medicine (ethical approval code: HNUCM-2309-38) and conducted at the Laboratory Animal Center of Hunan University of Chinese Medicine. The experimental procedures complied with the guide for the Care and Use of Laboratory Animals in the “Regulations for the Administration of Experimental Animals” and “Measures for the Administration of Experimental Animals in Hunan Province”. All efforts were made to ensure the welfare and ethical treatment of the animals throughout the study.
Based on previous studies, immune adjuvant solutions were prepared at specific concentrations: LPS at 0.10 mg/mL; β-Glu, CHI, LBP, and APS at 244 mg/mL each; MOS, Man, and B2 at 10.0 mg/mL; Gin at 3.0 mg/mL; and Zn (OH)₂ at 2.0 mg/mL.
To ensure the controlled intake of immune adjuvants, 0.5 mL of each adjuvant solution was mixed with deionized water used for preparing purified diets. The aqueous solution was then combined with purified feed (#AIN-93, Research Diet, New Brunswick, NJ, USA), which used casein as the protein source. Each 5 g portion of final feed contained 2.4 g of purified feed, 2.1 g of deionized water, and 0.5 mL of immune adjuvant solutions (i.e., LPS, β-Glu, CHI, LBP, APS, MOS, Man, B2, Gin, Zn (OH)2, or blank). A small cohort was employed in accordance with the 3Rs principles and the ARRIVE 2.0 guidelines. Rats were randomly assigned to one of 10 immune adjuvant groups or a blank control group (n = 3 or 4 per group). Each rat was housed individually in a metabolic cage measuring 20 cm × 20 cm × 20 cm. Over a 7-day period, each rat was fed approximately 5 g of freshly prepared final feed from a feeding bottle at 9:00 a.m. and 4:00 p.m. daily, with ad libitum access to water. The dietary groups and compositions are detailed in Supplementary Table 1.
At the end of the 7-day experimental period, all animals were fasted for 12 h. On the eighth day, at 9:00 a.m., an allergy provocation test was conducted. Each rat in the experimental groups was administered 5 g of IRC paste, prepared by mixing the cereal with 10 g of water. Rats in the blank control group received 5 g of saline instead of rice cereal paste.
Clinical symptoms score and body temperature measurement
Clinical allergic symptoms were assessed 1 hour following the allergic challenge. The symptoms and corresponding scores were recorded in accordance with the scoring system described by Duan et al. 36. The criteria for clinical symptom scoring were as follows: 0 = No symptoms; 1 = Scratching and rubbing around the nose and mouth; 2 = Puffiness around the eyes and mouth, piloerection, reduced activity, and increased respiratory rate; 3 = Respiratory distress, yellow discoloration of the tail and nose; 4 = No activity upon stimulation, muscle spasms; and 5 = Death due to anaphylactic shock.
For toxicological interpretation, scores ranging from 0 to 2 were classified as mild, correlating with transient, non-systemic reactions (e.g., mast cell degranulation in local tissues); score 3 indicated severe systemic involvement, associated with elevated histamine release and complement activation; scores 4–5 denoted critical adverse effects, including hypoxia and multi-organ dysfunction, aligning with humane-endpoint criteria. This hierarchical scoring classification system demonstrates concordance with well-established experimental models in which symptom severity manifestations exhibit direct proportional correlation with measurable toxicological outcomes, including inflammatory mediator release profiles and immune dysregulation24,64.
To monitor physiological responses during the allergic reaction phase, rectal temperatures were measured multiple times for each rat using a rectal thermometer.
Biological samples of experimented animals
One hour after allergic stimulation, rats were anesthetized by intraperitoneal injection of 1% (w/v) pentobarbital sodium at 100 mg/kg body weight. This dose reliably produced deep anesthesia, confirmed by loss of the pedal withdrawal reflex and absence of response to external stimuli, ensuring unconsciousness and absence of pain during subsequent procedures. Pentobarbital sodium, a barbiturate anesthetic, was selected for its rapid onset and reliable induction of anesthesia via central nervous system depression. Under deep anesthesia, whole blood was collected from the abdominal aorta, which ensured euthanasia while the animals were unconscious.
Whole blood was collected from the abdominal aorta, after which the animals were euthanized. Next, a portion of each whole blood sample was immediately transferred to anticoagulant tubes and stored at −4 °C to prevent stratification. One aliquot was reserved for flow cytometry analysis, while the remaining volume was centrifuged at 3000 × g for 15 min to isolate plasma, which was stored at −80 °C for subsequent biochemical assays.
Then, the organs were collected under sterile conditions and rinsed with saline. The duodenum, jejunum, ileum, colon, and cecum were dissected with a sterile scalpel into upper, middle, lower, and terminal segments, and sequentially labeled. Each intestinal segment, along with the spleen, was divided into two portions. The first part was fixed in 10% v/v paraformaldehyde and stored at room temperature for immunohistochemical analysis. The second part, along with the thymus, was transferred to cryopreservation tubes, flash-frozen in liquid nitrogen, and stored at −80 °C for subsequent biochemical assays.
Determination of serum and intestinal IgGs, mast cell markers, HIS, and complement levels
The levels of serum immunoglobins (IgE, IgG, IgA, IgD, and IgM), mast cell protease-1 (mMCP-1), mast cell tryptase (MCT), and plasma HIS, as well as the intestinal tissue levels of IgE, IgG, IgA, IgD, IgM, HIS, secretory IgA (sIgA), and complement components C3 and C4, were all quantified using rat-specific ELISA kits (Shanghai Enzyme-Linked Biotechnology Co., Ltd., Shanghai, China) in accordance with the manufacturer’s instructions.
Determination of cytokines in thymus and spleen
A commercially available multiplex assay kit (Bio-Rad, distributed by Shanghai Universal Biotech Co., Ltd., Shanghai, China) was used to determine the concentrations of 23 inflammatory cytokines in the thymus and spleen. These included G-CSF, GM-CSF, GRO/KC, IFN-γ, IL-1α, IL-1β, IL-2, IL-4, IL-5, IL-6, IL-7, IL-10, IL-12(p70), IL-13, IL-17A, IL-18, M-CSF, MCP-1, MIP-1α, MIP-3α, RANTES, TNF-α, and VEGF.
Histological analysis evaluation of the spleen
Next, spleen tissues extracted from four rats per group were used to prepare 5 µm cryostat sections. The sections were air-dried, prefixed briefly in acetone, and stored at −70 °C for further processing. A panel of monoclonal antibodies was applied for immunohistochemical staining. Hematoxylin and eosin were used for general tissue staining, and mast cells were identified using toluidine blue. Stained sections were examined under a microscope (scale bar = 50 µm; VS200, Olympus, Tokyo, Japan).
Data processing and analysis
All data were plotted using GraphPad Prism 8.0 (GraphPad Software Inc., San Diego, CA, USA). Statistical analysis was conducted using SPSS version 20.0 (IBM Corp., Armonk, NY, USA), and the p value was used to indicate the significance of the difference in the statistical results. Here, p > 0.05, marked as “ns,” indicated no statistical difference; p < 0.05, marked as “*,” indicated a statistical difference; p < 0.01, labeled as “**,” indicated a statistically significant difference; and p < 0.001, labeled as “***,” indicated an extremely significant statistical difference.
Data availability
All data generated or analysed during this study are included in this published article and its supplementary information files.
References
Nicklas, T. A. et al. Nutrient intake, introduction of baby cereals and other complementary foods in the diets of infants and toddlers from birth to 23 months of age. AIMS Public Health 7, 123 (2020).
China Nutrition and Health Food Association. China Infant And Toddler Complementary Food Industry Development Report (2020) CNHFA (Beijing, 2022).
Moroishi, Y. et al. Infant infections, respiratory symptoms, and allergy in relation to timing of rice cereal introduction in a United States cohort. Sci. Rep. 12, 4450 (2022).
Anania, C. et al. Hydrolyzed rice formula: an appropriate choice for the treatment of cow’s milk allergy. J. Clin. Med. 11, 4823 (2022).
Pantazi, A. C. et al. Relationship between gut microbiota and allergies in children: a literature review. Nutrients 15, 2529 (2023).
Anvari, S., Miller, J., Yeh, C. Y. & Davis, C. M. IgE-mediated food allergy. Clin. Rev. Allergy Immunol. 57, 244–260 (2019).
Zhang, S., Sicherer, S., Berin, M. C. & Agyemang, A. Pathophysiology of non-IgE-mediated food allergy. ImmunoTargets Ther. 10, 431–446 (2021).
Ferreira, F., Hawranek, T., Gruber, P., Wopfner, N. & Mari, A. Allergic cross-reactivity: from gene to the clinic. Allergy 59, 243–267 (2004).
Hu, W. et al. Identification and validation of key amino acids in IgE linear epitopes of β-lactoglobulin: comparison of recognition patterns of Chinese bovine milk-allergic sera with different symptoms. J. Agric Food Chem. 73, 5537–5547 (2025).
Florsheim, E. B. et al. Immune sensing of food allergens promotes avoidance behaviour. Nature 620, 643–650 (2023).
Lin, Y. J., Zimmermann, J. & Schülke, S. Novel adjuvants in allergen-specific immunotherapy: where do we stand? Front. Immunol. 15, 1348305 (2024).
Ong, G. H., Lian, B. S. X., Kawasaki, T. & Kawai, T. Exploration of pattern recognition receptor agonists as candidate adjuvants. Front. Cell Infect. Microbiol. 11, 745016 (2021).
Batista Duharte, A., Téllez Martínez, D., Fuentes, D. L. P. & Carlos, I. Z. Molecular adjuvants that modulate regulatory T cell function in vaccination: a critical appraisal. Pharm. Res. 129, 237–250 (2018).
Pifferi, C., Fuentes, R. & Fernández Tejada, A. Natural and synthetic carbohydrate-based vaccine adjuvants and their mechanisms of action. Nat. Rev. Chem. 5, 197–216 (2021).
Ou, B., Yang, Y., Lv, H., Lin, X. & Zhang, M. Current progress and challenges in the study of adjuvants for oral vaccines. BioDrugs 37, 143–180 (2023).
Mathias, F. A. S. et al. The use of an adjuvant system improves innate and adaptive immune response when associated with a Leishmania (viannia) braziliensis antigen in a vaccine candidate against L. (Leishmania) infantum infection. Vaccines 11, 395 (2023).
Sun, N. et al. Allergic reactions were compared between BN and Wistar rats after oral exposure to ovalbumin. J. Immunotoxicol. 10, 67–74 (2013).
Yang, X. et al. Antiallergic activity of Lactobacillus plantarum against peanut allergy in a balb/c mouse model. Food Agric. Immunol. 30, 762–773 (2019).
Santoro, D. & Marsella, R. Animal models of allergic diseases. Vet. Sci. 1, 192–212 (2014).
Burton, O. T. et al. A humanized mouse model of anaphylactic peanut allergy. J. Allergy Clin. Immunol. 139, 314–322.e319 (2017).
Ahuja, V. et al. Evaluation of biotechnology-derived novel proteins for the risk of food-allergic potential: advances in the development of animal models and future challenges. Arch. Toxicol. 84, 909–917 (2010).
Van Gramberg, J. L., De Veer, M. J., O’Hehir, R. E., Meeusen, E. N. T. & Bischof, R. J. Use of animal models to investigate major allergens associated with food allergy. J. Allergy 2013, 1–10 (2013).
Chen, C. Y. et al. Induction of interleukin-9-producing mucosal mast cells promotes susceptibility to IgE-mediated experimental food allergy. Immunity 43, 788–802 (2015).
Smith, N. A. & Nagamoto Combs, K. Induction of hypersensitivity with purified beta-lactoglobulin as a mouse model of cow's milk allergy. Methods Mol. Biol. 2223, 67–78 (2021).
Kotzé Hörstmann, L. et al. Characterization and comparison of the divergent metabolic consequences of high-sugar and high-fat diets in male Wistar rats. Front. Physiol. 13, 904366 (2022).
Thakur, V. R., Khuman, V., Beladiya, J. V., Chaudagar, K. K. & Mehta, A. A. An experimental model of asthma in rats using ovalbumin and lipopolysaccharide allergens. Heliyon 5, e02864 (2019).
Xie, A. et al. Influence of diet on the effect of the probiotic lactobacillus paracasei in rats suffering from allergic asthma. Front. Microbiol. 12, 737622 (2021).
Abril Gil, M., Garcia Just, A., Pérez Cano, F. J., Franch, À. & Castell, M. Development and characterization of an effective food allergy model in brown norway rats. PLoS ONE 10, e0125314 (2015).
Reyes Pavón, D. et al. Protective effect of glycomacropeptide on food allergy with gastrointestinal manifestations in a rat model through down-regulation of type 2 immune response. Nutrients 12, 2942 (2020).
Keddar, K. et al. Probiotic bacteria from human milk can alleviate oral bovine casein sensitization in juvenile Wistar rats. Microorganisms 11, 1030 (2023).
Mazhar, A. et al. Development of tolerogenic casein encapsulated quercetin and curcumin nanoparticles to mitigate cow milk allergic responses. Int. J. Biol. Macromol. 314, 144396 (2025).
Noviski, M. et al. IgM and IgD B cell receptors differentially respond to endogenous antigens and control B cell fate. Elife 7, e35074 (2018).
Jin, Y. et al. Mechanisms of wheat allergenicity in mice: comparison of adjuvant-free vs. Alum-adjuvant models. Int. J. Mol. Sci. 21, 3205 (2020).
Aguilar Pimentel, J. A. et al. Specific CD8 T cells in IgE-mediated allergy correlate with allergen dose and allergic phenotype. Am. J. Respir. Crit. Care Med 181, 7–16 (2010).
Plum, T. et al. Mast cells link immune sensing to antigen-avoidance behaviour. Nature 620, 634–642 (2023).
Duan, C. et al. Comparison of allergenicity among cow, goat, and horse milks using a murine model of atopy. Food Funct. 12, 5417–5428 (2021).
Bao, C. et al. A mast cell–thermoregulatory neuron circuit axis regulates hypothermia in anaphylaxis. Sci. Immunol. 8, eadc9417 (2023).
Ma, Y. et al. Olive oil ameliorates allergic response in murine ovalbumin-induced food allergy by promoting intestinal mucosal immunity. Food Sci. Hum. Wellness 12, 801–808 (2023).
Wongsaengchan, C., McCafferty, D. J., Evans, N. P., McKeegan, D. E. F. & Nager, R. G. Body surface temperature of rats reveals both magnitude and sex differences in the acute stress response. Physiol. Behav. 264, 114138 (2023).
Berin, M. C. & Sampson, H. A. Food allergy: an enigmatic epidemic. Trends Immunol. 34, 390–397 (2013).
Mantis, N. J., Rol, N. & Corthésy, B. Secretory IgA’s complex roles in immunity and mucosal homeostasis in the gut. Mucosal Immunol. 4, 603–611 (2011).
Di Lorenzo, F. et al. Pairing bacteroides vulgatus LPS structure with its immunomodulatory effects on human cellular models. ACS Cent. Sci. 6, 1602–1616 (2020).
Li, Y. et al. Sesamin is an effective spleen tyrosine kinase inhibitor against IgE-mediated food allergy in computational, cell-based and animal studies. Food Sci. Hum. Wellness 14, 9250081 (2025).
Stierschneider, A. & Wiesner, C. Shedding light on the molecular and regulatory mechanisms of TLR4 signaling in endothelial cells under physiological and inflamed conditions. Front. Immunol. 14, 1264889 (2023).
Zhang, Q., Yu, X., Tian, L., Cong, Y. & Li, L. Therapeutic effects of epigallocatechin and epigallocatechin gallate on the allergic reaction of s1-casein sensitized mice. Food Sci. Hum. Wellness 12, 882–888 (2023).
Li, L., Zhang, X. H., Liu, G. R., Liu, C. & Dong, Y. M. Isoquercitrin suppresses the expression of histamine and pro-inflammatory cytokines by inhibiting the activation of MAP kinases and NF-κB in human KU812 cells. Chin. J. Nat. Med. 14, 407–412 (2016).
Odenwald, M. A. & Turner, J. R. The intestinal epithelial barrier: a therapeutic target? Nat. Rev. Gastroenterol. Hepatol. 14, 9–21 (2017).
Shamji, M. H. et al. The role of allergen-specific IgE, IgG and IgA in allergic disease. Allergy 76, 3627–3641 (2021).
Seikrit, C. & Pabst, O. The immune landscape of IgA induction in the gut. Semin. Immunopathol. 43, 627–637 (2021).
Liu, J. et al. Role of the IgM fc receptor in immunity and tolerance. Front. Immunol. 10, 529 (2019).
Corthésy, B. Multi-faceted functions of secretory IgA at mucosal surfaces. Front. Immunol. 4, 185 (2013).
Smolinska, S., Jutel, M., Crameri, R. & O’Mahony, L. Histamine and gut mucosal immune regulation. Allergy 69, 273–281 (2014).
Ricklin, D., Reis, E. S., Mastellos, D. C., Gros, P. & Lambris, J. D. Complement component C3 – the “swiss army knife” of innate immunity and host defense. Immunol. Rev. 274, 33–58 (2016).
Wang, H. & Liu, M. Complement C4, infections, and autoimmune diseases. Front. Immunol. 12, 694928 (2021).
Kihl, P. et al. Oral LPS dosing induces local immunological changes in the pancreatic lymph nodes in mice. J. Diabetes Res. 2019, 1–9 (2019).
Mizobuchi, H. Oral route lipopolysaccharide as a potential dementia preventive agent inducing neuroprotective microglia. Front Immunol. 14, 1110583 (2023).
Inagawa, H., Kohchi, C. & Soma, G. I. Oral administration of lipopolysaccharides for the prevention of various diseases: benefit and usefulness. Anticancer Res. 31, 2431–2436 (2011).
Lasselin, J. et al. Comparison of bacterial lipopolysaccharide-induced sickness behavior in rodents and humans: relevance for symptoms of anxiety and depression. Neurosci. Biobehav Rev. 115, 15–24 (2020).
Harvei, S. et al. Chronic oral LPS administration does not increase inflammation or induce metabolic dysregulation in mice fed a western-style diet. Front. Nutr. 11, 1376493 (2024).
Mota, C. M. D. & Madden, C. J. Neural control of the spleen as an effector of immune responses to inflammation: mechanisms and treatments. Am. J. Physiol. Regul. Integr. Comp. Physiol. 323, R375–R384 (2022).
Kamath, S. D. et al. Cross-reactive epitopes and their role in food allergy. J. Allergy Clin. Immunol. 151, 1178–1190 (2023).
Sathya, P. & Fenton, T. R. Cow’s milk protein allergy in infants and children. Paediatr. Child Health 29, 382–388 (2024).
Bani, C. et al. Unexpected cow’s milk proteins in a “vegan” easter egg as a cause of anaphylaxis. Foods 14, 1737 (2025).
Cardona, V. et al. World Allergy Organization Anaphylaxis Guidance 2020. World Allergy Organ J. 13, 100472 (2020).
Mishra, A., Gaur, S. N., Singh, B. P. & Arora, N. In silico assessment of the potential allergenicity of transgenes used for the development of GM food crops. Food Chem. Toxicol. 50, 1334–1339 (2012).
Acknowledgements
This work was supported by the National Key R&D Program of China (2023YFF1104303) and the Hunan Province Science and Technology Innovation Plan Funding (2023ZJ1070).
Author information
Authors and Affiliations
Contributions
Rongbin Zhang: Investigation, Methodology, Validation, Data curation, Formal analysis, Writing-original draft, Writing–review and editing. Man Peng: Validation, Methodology, Formal analysis. Hongwei Liao: Conceptualization, Visualization. Zhiyong Dai: Validation, Funding acquisition. Mengyi Li: Methodology. Tao Yang: Investigation. Guopu Ren: Visualization, Supervision. Yue Wu: Conceptualization, Visualization, Resources, Project administration, supervision.
Corresponding author
Ethics declarations
Competing interests
The authors declare no competing interests.
Additional information
Publisher’s note Springer Nature remains neutral with regard to jurisdictional claims in published maps and institutional affiliations.
Supplementary information
Rights and permissions
Open Access This article is licensed under a Creative Commons Attribution-NonCommercial-NoDerivatives 4.0 International License, which permits any non-commercial use, sharing, distribution and reproduction in any medium or format, as long as you give appropriate credit to the original author(s) and the source, provide a link to the Creative Commons licence, and indicate if you modified the licensed material. You do not have permission under this licence to share adapted material derived from this article or parts of it. The images or other third party material in this article are included in the article’s Creative Commons licence, unless indicated otherwise in a credit line to the material. If material is not included in the article’s Creative Commons licence and your intended use is not permitted by statutory regulation or exceeds the permitted use, you will need to obtain permission directly from the copyright holder. To view a copy of this licence, visit http://creativecommons.org/licenses/by-nc-nd/4.0/.
About this article
Cite this article
Zhang, R., Peng, M., Liao, H. et al. Development of an intestinal allergy model to evaluate the initial introduction of infant rice cereal. npj Sci Food 9, 272 (2025). https://doi.org/10.1038/s41538-025-00629-y
Received:
Accepted:
Published:
Version of record:
DOI: https://doi.org/10.1038/s41538-025-00629-y














