Abstract
Circadian disruption is closely associated with sleep and metabolic disorders, yet effective interventions remain limited. As a widely consumed beverage, tea contains diverse bioactive compounds with potential chronobiological effects. Here, we systematically compared six major tea types (oolong, dark, green, black, yellow, and white) and four representative components (theanine, theophylline, epigallocatechin gallate [EGCG], and tea polyphenols) in animal and cellular models of circadian disruption. In mice, white tea markedly accelerated re-entrainment to 6-hour phase advances, while dark and black tea improved adaptation to 6-hour phase delays. Across tissues, dark tea exerted the most prominent modulation of core clock genes. In vitro, tea polyphenols, theophylline, and EGCG prolonged circadian periods in cells and enhanced adaptation to long cycles. Collectively, our findings reveal distinct and context-dependent effects of tea and its components on circadian entrainment and gene regulation, highlighting their potential as natural modulators for mitigating jet lag and circadian-related health disorders.
Similar content being viewed by others
Introduction
Circadian rhythms are endogenous biological oscillations with an approximately 24-h period, governed by an internal molecular clock. In mammals, the central pacemaker resides in the suprachiasmatic nucleus (SCN) of the hypothalamus and synchronizes peripheral oscillators across tissues to maintain systemic temporal harmony. At the cellular level, this clockwork operates through interlocking transcriptional–translational feedback loops composed of Bmal1 (Brain and muscle ARNT-like 1), Clock (Circadian Locomotor Output Cycles Kaput), Per1/2/3 (Period1/2/3), Cry1/2 (Cryptochrome1/2), and related regulators. These core components drive rhythmic expression of various downstream genes, thereby influencing diverse physiological and biochemical processes1.
Under normal conditions, the mammalian clocks synchronize with external time cues to coordinate changes in physiological, behavioral, and cellular rhythms2,3. However, when exposed to abnormal environmental cycles—such as those associated with shift work, nocturnal wakefulness, or jet lag—if the body’s ability to adjust its biological clock is overwhelmed, circadian rhythm disruption may occur, triggering physiological and behavioral abnormalities4. To experimentally reproduce such misalignment, researchers commonly employ phase-shift paradigms of the light–dark (LD) cycle, which effectively mimic the temporal displacement experienced during jet lag5. For instance, 6-hour phase advances and delays correspond to eastward and westward travel across six time zones, respectively, and are thus denoted as +6 h and –6 h phase shifts6. Prolonged or repeated exposure to these conditions not only elicits aberrant behavioral rhythms in mice but also alters the expression of core clock genes7,8. Concurrently, jet lag-like stimulation applied to cells induces changes in their rhythmic period, amplitude, and phase9.
Ours and other studies have demonstrated that long-term circadian rhythm disturbance is associated with chronic diseases, including chronic kidney disease, hypertension, metabolic syndrome, and cancer10,11. The internal clock can modulate the phase or period of circadian rhythms in response to various environmental signals, known as zeitgebers (time-givers). Light is the primary zeitgeber, while other cues such as feeding patterns, physical activity, and ambient temperature can also affect endogenous rhythms12.
Most therapeutic approaches for circadian rhythm disorders—such as pharmacotherapies involving melatonin and light-based interventions that modulate light intensity and duration—are not viable long-term solutions13,14,15. Notably, tea, one of the world’s most widely consumed beverages, has been reported to alleviate circadian rhythm disturbances16,17. Furthermore, different tea varieties can ameliorate a range of diseases triggered by circadian dysregulation through diverse mechanisms. Studies have demonstrated that Pu’er tea prevents circadian clock disruption via interactions between indoles and 5-hydroxytryptamine (5-HT)—which promote tryptophan metabolism—and signaling along the gut-liver-brain axis18. Cinnabarinic acid (CA) in Pu’er tea regulates the expression of adipose tissue receptor proteins, thereby improving obesity induced by circadian rhythm disturbance19. Green tea polyphenols (GTPs) restore the numbers of astrocytes and oligodendrocytes depleted by circadian disruption by modulating single-cell transcriptional profiles in the mouse hypothalamus and regulating the expression of clock genes, including Clock, Cry2, and Per320. Oolong tea polyphenols (OTPs) mitigate metabolic imbalances caused by circadian dysregulation and maintain intestinal homeostasis21.
Tea is rich in bioactive compounds, including theanine, theophylline, epigallocatechin gallate (EGCG), and tea polyphenols22,23,24. Importantly, individual tea components also exert effects on circadian rhythms: theanine, theophylline, and tea polyphenols have been shown to alleviate cognitive impairment and oxidative stress induced by constant darkness (DD) in mice, while enhancing oscillations of the clock genes Bmal1, Cry1, and Per216,25. EGCG ameliorates circadian dysfunction triggered by a high-fat, high-fructose diet (HFFD) and inhibits the self-renewal capacity of lung cancer stem cells by suppressing Clock expression26,27. Additionally, tea polyphenols can normalize the circadian rhythm of the intestinal microbiota16. Despite these multifaceted effects, the extent to which different tea varieties alleviate jet lag at the behavioral and cellular levels remains unclear.
Here, we established three artificial jet lag models (with +6 h, −6 h, and 12 h phase shifts6) to investigate the effects of administering six tea extracts—oolong tea (OT), dark tea (DT), green tea (GT), black tea (BT), yellow tea (YT), and white tea (WT)—on behavioral rhythms in mice and subsequent changes in clock gene expression (Fig. 1A). Furthermore, we subjected C57BL/6 mouse embryonic fibroblasts (MEFs) and human U2 osteosarcoma (U2OS) cells to dexamethasone (DEX)-induced circadian stimulation cycles and analyzed the impacts of four tea components (theanine, theophylline, EGCG, and tea polyphenols) on circadian rhythm parameters (period, amplitude, and phase). These experiments aimed to clarify the role of tea-derived bioactive compounds in mitigating circadian clock disruption. The findings of this study may facilitate a more comprehensive understanding of how different tea varieties and their bioactive components alleviate circadian rhythm disorders.
A Schematic of the mouse experimental protocol. Mice were randomly assigned to one control group (water-drinking) and six treatment groups (tea-drinking: OT, DT, GT, BT, YT, WT). All mice were maintained under a 12-h light/12-h dark (ld) cycle for 2 consecutive weeks, followed by 3 weeks in constant darkness (DD). For the jet lag intervention, three models were established: +6 h jet lag (mimicking eastward travel across six time zones), −6 h jet lag (mimicking westward travel across six time zones), and 12 h jet lag (mimicking complete day-night reversal). Seven days after jet lag induction, mice were sacrificed at zeitgeber time 0 (ZT0) and ZT12. Tissues, including the liver, gastrocnemius muscle, intestine, epididymal white adipose tissue (WAT), and brown adipose tissue (BAT), were collected to detect the expression of core circadian clock genes. B Schematic of artificial jet lag simulation. C Schematic of the cellular jet lag protocol. The MEF and U2OS cells expressing the Bmal1-luciferase reporter were pretreated for 24 h with theanine, theophylline, EGCG, or tea polyphenols, followed by repeated 100 nM DEX stimulations under different T-cycles. Bioluminescence was continuously recorded to assess the effects of each compound on circadian period and amplitude.
Results
Effects of six tea types on behavioral rhythms in mice
To investigate the impact of different teas on mammalian circadian rhythms, mice were administered daily with six common tea types (OT, DT, GT, BT, YT, WT), and their behavioral rhythms were recorded under light-dark (LD) and constant dark (DD) conditions (Figs. 1A and 2A). Concurrently, activity spectra (Fig. 2B, C) and χ² periodograms were analyzed (Fig. 2D). Results showed a significant increase in daytime activity levels in the YT and WT groups during the LD cycles, whereas no significant differences were observed in nighttime activity (Fig. 2E). Additionally, OT, DT, and GT significantly enhanced mouse activity under DD conditions (Fig. 2F). The free-running period (FRP) was prolonged by 0.14 ± 0.03 h and 0.11 ± 0.03 h in the OT and YT groups, respectively (Fig. 2G). These data reveal distinct effects of different tea types on behavioral rhythms under LD versus DD conditions. Specifically, YT and WT elevated diurnal activity during the LD cycle, while OT, DT, and GT markedly increased activity levels under DD conditions. Furthermore, OT and YT extended the FRP.
A Representative double-plotted wheel-running activity actograms of water-drinking control mice and tea-drinking mice under DD conditions. Activity profiles of mice during light-dark (LD) cycles (B) and DD (C). D Representative Chi-squared periodogram of mice under DD; the circadian period of each mouse is indicated by a vertical line. Total activity levels of mice during LD cycles (E) and DD (F). G Free-running period (FRP) of mice in the control and tea-drinking groups. Gray: Control; Blue: OT; Black: DT; Green: GT; Red: BT; Yellow: YT; Pink: WT. Data are presented as mean ± standard error of the mean (SEM) (n = 7).
Effects of six tea types on +6 jet lag model mouse
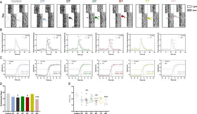
The remission role of tea on circadian rhythm disruption is well established. Here, we monitored the behavioral rhythms of mice administered water (control) or tea during a +6 h phase shift (Figs. 1B and 3A). We observed that mice in the GT and WT groups exhibited significant phase advances on two consecutive days following the phase shift (Fig. 3B), and the PS50 results were consistent with this finding (Fig. 3C). The entrainment duration of the WT group (4.00 ± 0.30 days) was shorter than that of the control group (5.38 ± 0.29 days). Additionally, although no statistically significant difference was detected between the GT group and the control group, a trend toward enhanced adaptation to the +6 h phase shift was observed in the GT group (P = 0.07) (Fig. 3D). Compared with the control group (2.500 ± 0.20 days), the PS50 values were significantly reduced in both the GT (1.525 ± 0.08 days) and WT groups (1.558 ± 0.18 days) (Fig. 3E). Collectively, these results demonstrate that GT and WT significantly accelerate the entrainment rate of mice to jet lag induced by a + 6 h phase shift.
A Representative double-plotted wheel-running activity actograms of water-drinking control mice and tea-drinking mice following a +6 h phase advance. Phase angle of entrainment (B), PS50 (C), and entrainment duration (D) after +6 h jet lag. E PS50 values for activity offset transitions (mean ± SEM). Statistical analysis was performed using one-way analysis of variance (ANOVA) (n = 7).
Effects of six tea types on −6 jet lag model mouse
Varying magnitudes of jet lag induce distinct degrees of circadian clock disruption in mice28. Therefore, we next investigated the effects of the six tea types on adaptation to the −6 h jet lag (Fig. 4A). Due to masking effect, the offset was used to calculate the rate at which mice adapted to the −6 h phase shift. Phase entrainment angle analysis revealed that, except for the YT and OT groups, the synchronization rate of mice in the other tea-administered groups was accelerated following the −6 h shift (Fig. 4B), a finding consistent with the PS50 curves (Fig. 4C). However, compared with the control group, only the DT (entrainment duration: 4.33 ± 0.33 days; PS50: 1.77 ± 0.23 days), BT (entrainment duration: 4.43 ± 0.30 days; PS50: 1.66 ± 0.17 days), and WT groups (entrainment duration: 3.86 ± 0.26 days; PS50: 1.32 ± 0.15 days) exhibited a significant increase in entrainment speed to the −6 h shift. The absence of a reduction in jet lag adaptation days in the GT group may be attributed to the premature phase delays observed in this group on the first and second days following jet lag induction (Fig. 4B), despite a trend toward decreased entrainment duration in the GT group (Fig. 4D, E).
A Representative double-plotted wheel-running activity actograms of water-drinking control mice and tea-drinking mice following a –6 h phase delay. Phase angle of entrainment (B), PS50 (C), and entrainment duration (D) after −6 h jet lag. E PS50 values for activity offset transitions (mean ± SEM). Statistical analysis was performed using one-way ANOVA (n = 7).
Effects of six tea types on 12 h jet lag model mice
During the 12 h jet lag, re-synchronization of the circadian clock involves phase shifting via antidromic re-entrainment, and the adaptation rate of mice was calculated based on activity offset (Fig. 5A). However, analyses of phase angle and PS50 indices revealed that mice in all tea-administered groups were unable to accelerate entrainment to the new light-dark (LD) cycle (Fig. 5B–E). Surprisingly, compared with the control group (7.64 ± 0.31 days), administration of GT (8.29 ± 0.36 days) appeared to slow down synchronization to the 12 h phase shift, albeit without statistical significance (Fig. 5D).
A Representative double-plotted wheel-running activity actograms of water-drinking control mice and tea-drinking mice following a 12 h phase shift. Phase angle of entrainment (B), PS50 (C), and entrainment duration (D) after 12 h jet lag. E PS50 values for activity offset transitions (mean ± SEM). Statistical analysis was performed using one-way ANOVA (n = 7).
Effects of long-term tea consumption on core clock genes in mice
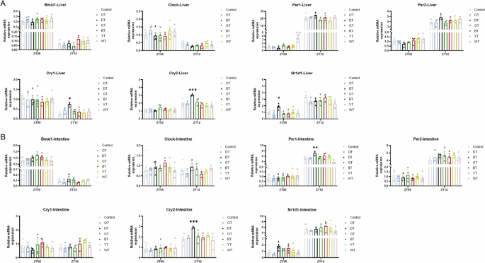
The observed acceleration of behavioral re-entrainment prompted us to examine whether tea consumption also induced corresponding molecular changes in peripheral metabolic tissues. We hypothesized that the improved behavioral adaptation might be accompanied by enhanced or re-synchronized circadian gene expression in key organs. Accordingly, liver, intestine, white adipose tissue (WAT), brown adipose tissue (BAT), and muscle samples were collected at zeitgeber time 0 (ZT0) and zeitgeber time 12 (ZT12) to further investigate the effects of long-term tea consumption on core clock gene expression (Fig. 1A).
In the liver, DT significantly upregulated the expression of Cry1 and Cry2 at ZT12, as well as Nr1d1 at ZT0, while WT markedly increased Per1 expression at ZT0 (Fig. 6A). In the intestine, DT enhanced the expression of Per1 and Cry2 at ZT12 (Fig. 6B). Additionally, in WAT, DT increased the expression of Bmal1, Per1, and Cry2 at ZT12, and YT upregulated Nr1d1 expression at ZT12 (Fig. S1A). In BAT, OT significantly increased Bmal1 expression at ZT0, and YT enhanced Per1 expression at ZT12; however, YT reduced Cry2 expression at both ZT0 and ZT12 (Fig. S1B). In muscle, WT upregulated Per1 expression at both ZT0 and ZT12, YT increased Nr1d1 expression at ZT0, and GT decreased Nr1d1 expression at ZT12 (Fig. S1C).
Collectively, these results indicate that DT exerted the strongest stimulatory effect on core clock gene expression, particularly at ZT12. YT produced the second most evident influence, though with less consistency across tissues, while BT showed minimal impact.
Regulation of the circadian gene Bmal1 by tea components in cellular models
We further investigated the effects of four bioactive tea components—theanine, theophylline, EGCG, and tea polyphenols—on the circadian clock using Bmal1-Luc reporter-expressing MEF and U2OS cells. The results demonstrated that theanine concentration did not affect the period or amplitude of Bmal1-Luc bioluminescence in either MEF or U2OS cells (Figs. 7A and S2A). Theophylline significantly prolonged the Bmal1 period in both cell lines in a dose-dependent manner; however, Bmal1 expression amplitude was only increased in MEF cells treated with 200 μM theophylline, with minimal effects observed in U2OS cells (Figs. 7B and S2B). EGCG also lengthened the Bmal1 period in MEF and U2OS cells in a dose-dependent manner but did not significantly alter the amplitude in MEF cells (Figs. 7C and S2C). Notably, low doses of EGCG (25 μM and 50 μM) significantly enhanced Bmal1 expression amplitude in U2OS cells, whereas a higher concentration (100 μM) tended to inhibit this amplitude (Fig. S2C). In both cell lines, tea polyphenols prolonged the circadian expression period of Bmal1 in a concentration-dependent manner, while a high concentration of tea polyphenols (100 μg/mL) reduced its amplitude (Figs. 7D and S2D). These data indicate that, aside from theanine, the other three tea components—at varying concentrations—prolong the Bmal1 expression period in MEF and U2OS cells.
Effect of tea components on alleviating cell jet lag model
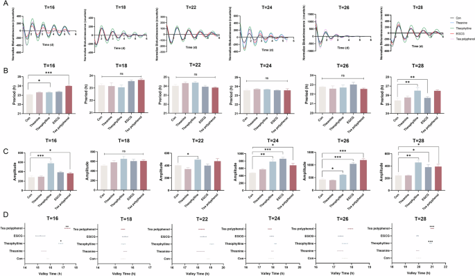
To investigate the mitigating effects of four bioactive tea components on circadian rhythm disturbances, we established a cellular jet lag model by exposing MEF and U2OS cells to periodic dexamethasone (DEX) stimulation across various T cycles (Fig. 1C). We recorded and analyzed the Bmal1 bioluminescence rhythm in DEX-induced jet lag model MEF cells treated with the four tea components (Figs. 8A and S3A). In the DEX-stimulated T16 cycle, EGCG and tea polyphenols significantly prolonged the Bmal1 period, whereas in the T28 cycle, this effect was observed with theophylline and tea polyphenols (Fig. 8B). Additionally, tea polyphenols and EGCG increased Bmal1 expression amplitude at T16 but not at T18. For cycles with T > 23 h, all tea components except theanine enhanced Bmal1 expression amplitude (Fig. 8C). Furthermore, analysis of the valley time in the first cycle post-DEX stimulation revealed that tea polyphenols and theophylline could prolong the phase of MEF cells in both T16 and T28 cycles (Fig. 8D). U2OS cells were subjected to the same experimental protocol as MEF cells (Figs. 1C and S3A). The cell-autonomous oscillation period of Bmal1 in U2OS cells was approximately 24–25.5 h, slightly longer than that in MEF cells (Figs. 7 and S2). Interestingly, following treatment with EGCG and tea polyphenols, the Bmal1 period was shortened at T16 and T24 but prolonged in other T cycles. Theanine abnormally shortened the Bmal1 period during T26 and T28 cycles (Fig. S3B). Meanwhile, EGCG and tea polyphenol treatments reduced the relative amplitude of Bmal1 expression across all T cycles (Fig. S3C), and their effects on Bmal1 expression phase were consistent with the period changes—phase advances were observed at T16 and T24, while phase delays occurred in other T cycles (Fig. S3D). Taken together, in MEF cells, theophylline and tea polyphenols enhanced cellular adaptability to the DEX-stimulated T28 cycle and increased Bmal1 expression amplitude. In contrast, in U2OS cells, EGCG and tea polyphenols improved cellular entrainment capacity at T26 and T28 but reduced Bmal1 expression amplitude.
Discussion
Tea exerts multifaceted effects on the biological clock, with different tea types alleviating circadian rhythm disorders to varying degrees17. However, the impact of common teas and their bioactive constituents on entrainment to distinct jet lag magnitudes remains unclear. In this study, we found that WT enhanced mice’s adaptability to both +6 h and −6 h phase shift, whereas DT and BT only accelerated re-entrainment to +6 h phase shift. Among these, DT upregulated clock gene expression across multiple tissues. Additionally, tea polyphenols—key active components in tea—exerted the most pronounced effects on prolonging the period and increasing the circadian amplitude of MEF and U2OS cells.
Previous studies have demonstrated that a shorter free-running period (FRP) of the mammalian circadian clock facilitates synchronization to phase-advanced light-dark (LD) phase shifts, while a longer FRP promotes adaptation to phase-delayed phase shifts29,30,31. Here, OT and YT prolonged FRP but failed to accelerate jet lag entrainment. This discrepancy may be attributed to the inherently short FRP of mice, which counteracted the period-prolonging effect of these teas32. Furthermore, different teas exerted distinct effects on mouse behavioral rhythms under LD and constant dark (DD) conditions: YT increased activity under LD and prolonged FRP under DD; OT significantly enhanced activity and lengthened FRP under DD; WT elevated photoperiodic activity under LD but had no effect on behavioral rhythms under DD. In contrast, BT did not alter behavioral rhythms under either condition. Then, we exposed mice to three jet lag paradigms (+6 h, −6 h, 12 h) to investigate the effects of six tea extracts (OT, DT, BT, GT, WT, YT) on mouse behavioral rhythms for the first time. Our findings revealed that different teas exhibited divergent effects due to their unique bioactive component profiles, with specificity for distinct jet lag scenarios. WT promoted adaptation to +6 h jet lag, while DT, BT, and WT facilitated entrainment to −6 h jet lag. Studies have shown that WT contains relatively high levels of tea polyphenols and EGCG17,33. Tea polyphenols could reverse abnormal clock gene expression induced by circadian rhythm disorders, while EGCG mitigated metabolic disturbances associated with circadian dysfunction25,26. BT is rich in theanine, which enhances the expression amplitude of clock genes Bmal1, Cry1, Nr1d1, and Per234. Meanwhile, flavonoids in DT delay the phase and prolong the period of Per2 expression rhythm in mouse embryonic fibroblasts35. Thus, the accelerated jet lag adaptation observed with WT, DT, and BT may be mediated by these diverse bioactive substances. Notably, none of the teas tested accelerated mouse entrainment to 12 h jet lag.
Additionally, we analyzed core clock gene expression in primary metabolic tissues of mice from different treatment groups. Interestingly, except for BT, extracts of the other five teas modulated core clock gene expression in the liver, muscle, intestine, and adipose tissue. We found that OT significantly upregulated Bmal1 expression at ZT0 in BAT. Consistent with this, previous studies have shown that supplementation with OTP enhanced the daily oscillation of core clock genes (Bmal1, Clock, Cry1, Cry2, Per3)16. Furthermore, in our study, administration of DT (Pu’er tea) significantly increased Per1 and Cry2 expression at ZT12 in the intestine, Bmal1, Per1, and Cry2 expression at ZT0 in WAT, as well as the expression levels of the liver clock genes Nr1d1 (at ZT0), Cry1, and Cry2 (at ZT12). This aligns with prior reports that Pu’er tea can upregulate circadian gene expression while alleviating circadian rhythm disorders18, and that the combination of Pu’er tea and theaflavin regulates circadian pathways to improve the physiological functions of the liver, jejunum, and adipose tissue in mice36. We also observed that GT reduced Nr1d1 expression at ZT12 in muscle tissue. Studies have demonstrated that GT polyphenols regulated the expression of core clock genes (Clock, Per3, Cry2) disrupted by circadian rhythm disturbances20. Meanwhile, WT significantly increased Per1 expression in the liver and muscle, and YT upregulated Nr1d1 expression in muscle and Per1 expression in BAT. However, there are limited reports on the effects of BT, WT, and YT on the mammalian circadian clock, highlighting the need for further extensive and in-depth investigations.
A variety of bioactive components in tea—including tea polyphenols, theanine, tea pigments, and caffeine—can indirectly regulate the mammalian circadian clock by modulating the nervous system, immune system, and gut microbiota37. The varying degrees of jet lag mitigation observed across different tea types may be attributed to differences in the proportions of these bioactive substances, which exert distinct effects on circadian rhythm disruption17,37. To specifically investigate the alleviating effects of tea components on circadian disorders, we selected four commonly occurring bioactive substances: theanine, theophylline, epigallocatechin gallate (EGCG), and tea polyphenols. Additionally, to eliminate potential interference from cell type heterogeneity, we used two widely studied cell lines: mouse embryonic fibroblasts (MEF) and human osteosarcoma cells (U2OS). Based on previous reports9, we first administered various tea components to MEF and U2OS cells, then established a cellular circadian disruption model by stimulating the cells with repeated DEX treatment, to evaluate the effect of tea components on the cellular entrainment capacity to DEX cycles. Notably, neither cell line adapted to cycles shorter than T24, and as T cycles lengthened, the expression period of Bmal1 also prolonged. Theanine, a unique natural amino acid in tea, has been shown to alleviate stress and improve sleep disorders by protecting against oxidative stress-induced neuronal damage in the central nervous system38. It also plays a key role in enhancing the expression amplitude of clock genes (Bmal1, Cry1, Nr1d1, Per2) and exhibits vasorelaxant and hypotensive effects34. However, our data demonstrated that theanine (200 μM) did not affect Bmal1 expression in MEF or U2OS cells, suggesting potential divergent effects of theanine on circadian clock genes in vivo and in vitro. Tea alkaloids such as caffeine and theophylline are known to extend the period of molecular circadian oscillations39. In vitro studies have shown that caffeine prolongs clock gene periods in cultured U2OS and NIH3T3 cells40. Consistent with this, our results indicated that theophylline, like caffeine, lengthens the Bmal1 expression period in U2OS and MEF cells. EGCG, a catechin compound, has been reported to reduce Bmal1 expression amplitude and slightly shorten its period in HepG2 cells in a dose-dependent manner41. Surprisingly, our findings showed that EGCG slightly prolonged the Bmal1 period in MEF and U2OS cells, implying cell line-dependent effects. Tea polyphenols—the most abundant tea components—ameliorate circadian rhythm disturbances by regulating liver clock genes18,19, and our results confirmed that they prolong the Bmal1 expression period in MEF and U2OS cells. Importantly, when MEF and U2OS cells were subjected to the DEX-induced T28 cycle circadian disruption model, EGCG and tea polyphenol treatments promoted cellular synchronization to T28.
Rather than a mechanistic dissection, our work aimed to comprehensively evaluate how different teas and their major bioactive constituents influence circadian disruption across multiple biological contexts. Interestingly, the results converged across experimental levels: in vitro assays identified key clock modulators such as theophylline and tea polyphenols that prolonged the circadian period, aligning with in vivo findings that DT and BT, enriched in these constituents, facilitated faster re-entrainment following a -6 h phase delay. Meanwhile, the upregulation of core clock genes (Bmal1, Per1, Cry2) in peripheral tissues of DT-treated mice suggests that circulating tea-derived compounds may “prime” peripheral oscillators alongside SCN-driven control. Together, the prolonged cellular period, coordinated peripheral gene expression, and accelerated behavioral adaptation indicate that tea bioactives enhance circadian stability at multiple biological levels.
As one of the major bioactive constituents of tea and a well-known modulator of circadian physiology, caffeine remains an important consideration in interpreting these findings. Although caffeine could not be independently tested due to national laboratory restrictions, our analysis of theophylline—a structurally and functionally related methylxanthine42,43—provides indirect but informative insights. Theophylline dose-dependently lengthened the Bmal1 period and improved adaptability under prolonged DEX cycles, supporting a role for methylxanthines in circadian regulation. Moreover, the combined actions of multiple components—including theanine, EGCG, and polyphenols—likely contribute to the integrative effects observed in whole-tea treatments. Several other limitations should also be acknowledged. First, we selected only one representative tea from each of the six major tea categories; however, tea composition varies with fermentation and other processing methods, which may lead to subtle differences in component concentrations. Second, compared to animal experiments, human populations exhibit significant individual variability in tea consumption patterns (amount, type, concentration, and timing). Third, we used a single concentration of tea extract as the intervention, without accounting for factors such as tea origin, harvest batch, or storage time. In the general population, brewing parameters—including temperature, frequency, tea-to-water ratio, and steeping duration—also introduce variability. Our investigation into the mechanisms underlying tea’s circadian regulatory effects remains insufficiently in-depth, which will be the focus of future research. Finally, future research will implement quantitative profiling of core bioactive compounds—including caffeine, catechins and theanine—to pinpoint the specific active components underlying the observed circadian regulatory effects.
In summary, our study represents the first systematic comparison of behavioral rhythms in mice administered different tea types across multiple jet lag paradigms. We further demonstrated that four tea components influence the Bmal1 expression period and amplitude, with effects varying by concentration and cell type. These findings highlight tea’s potential as a natural circadian rhythm regulator. Beyond providing new insights into the physiological and behavioral effects of tea, this work offers a novel strategy for preventing and treating circadian disorders and associated health issues caused by jet lag.
Methods
Animals
Male C57BL/6 mice (6–8 weeks old) (Huachuang Sino Co., Ltd, Jiangsu, China) were individually housed in cages equipped with running wheels and maintained in light-controlled, ventilated chambers (Wuhan Pubaikang Technology Development Co., Ltd, Wuhan, China). All mice were exposed to a 12-h light (100 lux): 12-h dark (0 lux) (LD) cycle with free access to a regular chow diet (MD17121, Medicience Biopharmaceutical Co., Ltd, Jiangsu, China) and water for acclimation. The environmental temperature (23 ± 2 °C) and humidity (50% ± 10%) were strictly controlled. Zeitgeber time 0 (ZT0) was defined as the time of light onset, and ZT12 as the time of light offset. All animal experiments were strictly performed in accordance with the guidelines of the Institutional Animal Care and Use Committees of Dalian University of Technology (approval number: 2022-030) and East China Normal University (approval number: 2025-NSFC-17-025) approved and governed all experimental protocols and animal care.
Tea extract
We utilized extracts from six types of tea: OT (Tieguanyin), DT (Pu’er tea), GT (West Lake Longjing), BT (Qihong Xiangluo), WT (Shoumei), and YT (Huoshan Yellow Tea) (provided by Henan Xinyang Mufan Biological Co., Ltd, Henan, China). The preparation process of the tea extracts was as follows: tea raw materials were crushed to a 20-mesh particle size, extracted via hot reflux, concentrated by vacuum rotary evaporation, spray-dried into powder, and then crushed and sieved to obtain the final product. Quality inspection was performed on the final extracts. To ensure the quality of the tea extracts throughout the entire mouse behavioral experiment, the extracts were replaced regularly. Mice received 0.10% (m/m) tea extract solutions, a concentration equivalent to an average adult intake of approximately 7 g of dry tea leaves per day17,44.
Study design for behavioral experiment (Fig. 1B)
After a 1-week acclimation, mice were divided into seven groups, including six tea groups (OT, DT, GT, BT, YT, and WT) and one control group receiving water only. Following 2 weeks of tea or water treatment under LD, all groups were transferred to constant darkness (DD) to assess the effects of tea consumption on the free-running period (FRP).
After three weeks in DD, three independent jet-lag paradigms were implemented: +6 h, −6 h, and 12 h phase shifts, each using subsets of the experimental groups to simulate distinct types of circadian disruption. All phase-shift manipulations followed the D-type protocol, in which the dark phase was longer than the light phase on the shift day6. This approach was chosen because D-type shifts generally require longer re-entrainment in mice than L-type shifts, thereby providing a more sensitive model for assessing interventions that facilitate circadian realignment. Behavioral re-entrainment was continuously monitored for 14 days after the phase shift.
Running wheel activity
Mouse wheel-running activity was recorded using ClockLab software (Actimetrics, Wilmette, IL, USA). Behavioral rhythm parameters—including activity actograms, period, mean activity profiles, wheel-running counts during LD and DD cycles, and activity onset/offset—were analyzed using ClockLab Analysis software2,10,45. To assess the re-entrainment speed following jet lag, two methods were employed: (1) phase angle of entrainment: defined as the state where the difference between light-off/light-on time and activity offset/onset was less than 0.5 h for three consecutive days post-jet lag. Positive values indicated phase advances, while negative values indicated phase delays46; and (2) PS50: the number of days required to achieve a 50% phase shift7. Additionally, due to masking effects, the number of days required for re-entrainment following phase delay was calculated based on activity offset rather than activity onset47.
Circadian rhythm gene expression analysis
A separate batch of mice, independent of the behavioral study, was used for gene expression analysis. Seven days after jet lag induction, animals were euthanized at ZT0 and ZT12 via CO₂ inhalation for tissue collection. Tissue samples were immediately frozen in liquid nitrogen and stored at −80 °C until RNA extraction.
Total RNA was isolated from the liver, intestine, muscle, epididymal white adipose tissue (WAT), and brown adipose tissue (BAT) using the RNeasy kit (74004, QIAGEN, Hilden, Germany) following the manufacturer’s instructions. RNA purity and concentration were measured with a NanoDrop spectrophotometer (Thermo Fisher Scientific, Waltham, MA, USA). Complementary DNA (cDNA) was synthesized from 1 μg of total RNA using the FastKing RT Kit (KR116, Tiangen Biotechnology Co., Ltd, Beijing, China) with genomic DNA removal according to the manufacturer’s protocol.
Quantitative real-time PCR (qRT-PCR) was performed on a LightCycler 96 system (Roche, Basel, Switzerland) using SYBR Green Master Mix (Q711-02, Vazyme Biotech Co., Ltd, Nanjing, China). Each 20 μL reaction contained 0.5 μL of cDNA. The amplification protocol consisted of 95 °C for 5 min, followed by 40 cycles of 95 °C for 10 s and 60 °C for 30 s.
Relative mRNA levels of core clock genes were normalized to 18S rRNA. Primer sequences and concentrations are listed in Table S1.
Stable transfection with the Bmal1-Luc reporter and cell culture
MEF (Shanghai Hongshun Biotechnology Co., Ltd, Shanghai, China) and U2OS (Chinese Collection of Authenticated Cell Cultures, Wuhan, China) cells were stably transfected with expressing Bmal1 promoter-driven luciferase (Bmal1-luc) reporter gene according to previously described48,49. Then they were cultured in Dulbecco’s Modified Eagle Medium with 4500 mg/L glucose (10564011, Gibco, Rockville, MD, USA), supplemented with 10% fetal bovine serum (10099-141 C, Gibco, Rockville, MD, USA) and 1% penicillin-streptomycin (P4458, Sigma Chemical Co., St. Louis, MO, USA). All cells were incubated at 37 °C in a humidified atmosphere with 5% CO250.
DEX treatment
Dexamethasone (DEX) is a potent circadian clock synchronizer extensively employed in cell culture systems. To mimic circadian clock disruption, we used mouse embryonic fibroblasts (MEF) and U2OS cells transfected with a Bmal1-luciferase (Bmal1-Luc) reporter. Cells were seeded at standardized densities (2 × 10⁵ cells per 35-mm dish) to reach 70–80% confluency and pre-treated for 24 h with different concentrations of theanine51, theophylline52, epigallocatechin gallate (EGCG)53, or tea polyphenols54. The tea polyphenols were purified from green tea (GT), known for its high polyphenol content55,56,57, and derived from the same herb batch used in the in vivo experiments (Henan Xinyang Mufan Biological Co., Ltd, Henan, China). After pre-treatment, all groups were subjected to repeated 100 nM DEX stimulation (D4902, Sigma Chemical Co., St. Louis, MO, USA) under T cycles of 16, 18, 22, 24, 26, and 28 h. Following the final DEX pulse, 0.1 mM D-luciferin (E1602, Promega, Madison, WI, USA) was added to monitor Bmal1-driven bioluminescence at 10-min intervals for 7 days using a LumiCycle instrument (Actimetrics, Wilmette, IL, USA) (Fig. 1C). Cells were incubated at 37 °C with 5% CO2 condition. This protocol, involving repeated DEX stimulation cycles, has been previously established as a reliable approach for assessing the entrainment capacity of cellular circadian clocks3,48.
Bioluminescence recording
Bmal1 bioluminescence rhythm parameters—including peak time, trough time (both calculated from the first cycle), period, and amplitude—were analyzed using LumiCycle Analysis software (Actimetrics, Wilmette, IL, USA)58. To detrend the bioluminescence data, a 24-h moving average was subtracted from the raw data59.
Statistical analysis
To determine PS50 values, a sigmoidal dose-response curve with variable slope, Y = Bottom + (Top-Bottom)/(1 + 10(log PS50–X) HillSlope), was fitted to the onset/offset of locomotor activity28. Two-way ANOVA followed by Tukey’s multiple comparison test was performed using GraphPad Prism 8.0. Before analysis, data were tested for normality and homogeneity of variances using the Shapiro-Wilk60 and Brown-Forsythe tests61, respectively. All datasets satisfied these assumptions; therefore, no data transformations or nonparametric alternatives were required. Results are presented as the mean ± standard error of the mean (SEM). Differences were considered statistically significant at P < 0.05 (*P < 0.05, **P < 0.01, ***P < 0.001).
Data availability
The datasets used and analyzed during the current study are available from the corresponding author on reasonable request.
References
Chen, L. & Yang, G. PPARs integrate the mammalian clock and energy metabolism. PPAR Res. 2014, 653017 (2014).
Ma, C. et al. Strain and age dependent entrainable range of circadian behavior in C57BL/6 and BALB/c mice. Physiol. Behav. 255, 113917 (2022).
Ma, C. et al. Adaptive differences in cellular and behavioral responses to circadian disruption between C57BL/6 and BALB/c strains. Int. J. Mol. Sci. 25, 10404 (2024).
Schrader, L. A. et al. Circadian disruption, clock genes, and metabolic health. J. Clin. Investig. 134, e170998 (2024).
Gentry, N. W. et al. Human circadian variations. J. Clin. Investig. 131, e148282 (2021).
Ma, C. et al. Differential effects of light and dark phase modifications on jet lag adaptability in mice. J. Pineal Res. 76, e13010 (2024).
Kiessling, S., Eichele, G. & Oster, H. Adrenal glucocorticoids have a key role in circadian resynchronization in a mouse model of jet lag. J. Clin. Investig. 120, 2600–2609 (2010).
Takahashi, J. S. Circadian rhythms: from gene expression to behavior. Curr. Opin. Neurobiol. 1, 556–561 (1991).
Lee, Y. et al. G1/S cell cycle regulators mediate effects of circadian dysregulation on tumor growth and provide targets for timed anticancer treatment. PLoS Biol. 17, e3000228 (2019).
Zhang, J. et al. Circadian light/dark cycle reversal exacerbates the progression of chronic kidney disease in mice. J. Pineal Res. 76, e12964 (2024).
Bishehsari, F., Voigt, R. M. & Keshavarzian, A. Circadian rhythms and the gut microbiota: from the metabolic syndrome to cancer. Nat. Rev. Endocrinol. 16, 731–739 (2020).
Golombek, D. A. & Rosenstein, R. E. Physiology of circadian entrainment. Physiol. Rev. 90, 1063–1102 (2010).
Vasey, C., McBride, J. & Penta, K. Circadian rhythm dysregulation and restoration: the role of melatonin. Nutrients 13, 3480 (2021).
van Maanen, A. et al. The effects of light therapy on sleep problems: a systematic review and meta-analysis. Sleep. Med Rev. 29, 52–62 (2016).
Schotland, H. Artificial bright light therapy for circadian rhythm sleep-wake disorders. Am. J. Respir. Crit. Care Med. 200, P11–P12 (2019).
Guo, T. et al. Oolong tea polyphenols ameliorate circadian rhythm of intestinal microbiome and liver clock genes in mouse model. J. Agric. Food Chem. 67, 11969–11976 (2019).
Hu, S., Luo, L. & Zeng, L. Tea combats circadian rhythm disorder syndrome via the gut-liver-brain axis: potential mechanisms speculated. Crit. Rev. Food Sci. Nutr. 63, 7126–7147 (2023).
Hu, S. et al. Pu-erh tea restored circadian rhythm disruption by regulating tryptophan metabolism. J. Agric. Food Chem. 70, 5610–5623 (2022).
Hu, S. et al. Pu-erh tea increases the metabolite Cinnabarinic acid to improve circadian rhythm disorder-induced obesity. Food Chem. 394, 133500 (2022).
Zhang, Y. et al. Omics analyses of intestinal microbiota and hypothalamus clock genes in circadian disturbance model mice fed with green tea polyphenols. J. Agric. Food Chem. 70, 1890–1901 (2022).
Sun, H. et al. The modulatory effect of polyphenols from green tea, oolong tea and black tea on human intestinal microbiota in vitro. J. Food Sci. Technol. 55, 399–407 (2018).
Luo, Q. et al. Biological potential and mechanisms of Tea’s bioactive compounds: an updated review. J. Adv. Res. 65, 345–363 (2024).
Lin, S. et al. Theanine metabolism and transport in tea plants (Camellia sinensis L.): advances and perspectives. Crit. Rev. Biotechnol. 43, 327–341 (2023).
Jia, Y. et al. Recent advances in pharmaceutical cocrystals of theophylline. Nat. Prod. Bioprospect. 14, 53 (2024).
Qi, G. et al. Tea polyphenols ameliorates neural redox imbalance and mitochondrial dysfunction via mechanisms linking the key circadian regular Bmal1. Food Chem. Toxicol. 110, 189–199 (2017).
Mi, Y. et al. EGCG ameliorates diet-induced metabolic syndrome associating with the circadian clock. Biochim. Biophys. Acta Mol. Basis Dis. 1863, 1575–1589 (2017).
Jiang, P. et al. Epigallocatechin‑3‑gallate inhibits self‑renewal ability of lung cancer stem‑like cells through inhibition of CLOCK. Int J. Mol. Med. 46, 2216–2224 (2020).
Yamaguchi, Y. et al. Mice genetically deficient in vasopressin V1a and V1b receptors are resistant to jet lag. Science 342, 85–90 (2013).
Leloup, J. C. & Goldbeter, A. Critical phase shifts slow down circadian clock recovery: implications for jet lag. J. Theor. Biol. 333, 47–57 (2013).
Diekman, C. O. & Bose, A. Reentrainment of the circadian pacemaker during jet lag: East-west asymmetry and the effects of north-south travel. J. Theor. Biol. 437, 261–285 (2018).
Tamai, T. K. et al. Identification of circadian clock modulators from existing drugs. EMBO Mol. Med. 10, e8724 (2018).
Oneda, S. et al. Wheel-running facilitates phase advances in locomotor and peripheral circadian rhythm in social jet lag model mice. Front. Physiol. 13, 821199 (2022).
Pastoriza, S. et al. Healthy properties of green and white teas: an update. Food Funct. 8, 2650–2662 (2017).
Wang, R. et al. RNA-sequencing analysis reveals l-theanine regulating transcriptional rhythm alteration in vascular smooth muscle cells induced by dexamethasone. J. Agric. Food Chem. 67, 5413–5422 (2019).
Shinozaki, A. et al. Potent effects of flavonoid nobiletin on amplitude, period, and phase of the circadian clock rhythm in PER2::LUCIFERASE mouse embryonic fibroblasts. PLoS ONE 12, e0170904 (2017).
Hou, Y. et al. Pu-erh tea and theabrownin ameliorate metabolic syndrome in mice via potential microbiota-gut-liver-brain interactions. Food Res. Int. 162, 112176 (2022).
Wei, Y. et al. Recent advances in the utilization of tea active ingredients to regulate sleep through neuroendocrine pathway, immune system and intestinal microbiota. Crit. Rev. Food Sci. Nutr. 63, 7598–7626 (2023).
Lyon, M. R., Kapoor, M. P. & Juneja, L. R. The effects of L-theanine (Suntheanine(R)) on objective sleep quality in boys with attention deficit hyperactivity disorder (ADHD): a randomized, double-blind, placebo-controlled clinical trial. Alter. Med. Rev. 16, 348–354 (2011).
Unno, K. et al. Ingestion of green tea with lowered caffeine improves sleep quality of the elderly via suppression of stress. J. Clin. Biochem. Nutr. 61, 210–216 (2017).
Oike, H. et al. Caffeine lengthens circadian rhythms in mice. Biochem. Biophys. Res. Commun. 410, 654–658 (2011).
Mi, Y. et al. (-)-Epigallocatechin-3-gallate ameliorates insulin resistance and mitochondrial dysfunction in HepG2 cells:involvement of Bmal1. Mol. Nutr. Food Res. 61, 1700440 (2017).
Zhang, H. & Speakman, J. R. The complexity of coffee and its impact on metabolism. J. Endocrinol. 262, e240075 (2024).
Marques, K. A. et al. Methylxanthine for the prevention and treatment of apnea in preterm infants. Cochrane Database Syst. Rev. 10, CD013830 (2023).
Liu, Y. et al. Camellia sinensis and litsea coreana ameliorate intestinal inflammation and modulate gut microbiota in dextran sulfate sodium-induced colitis mice. Mol. Nutr. Food Res. 64, e1900943 (2020).
Low-Zeddies, S. S. & Takahashi, J. S. Chimera analysis of the Clock mutation in mice shows that complex cellular integration determines circadian behavior. Cell 105, 25–42 (2001).
Pfeffer, M., Korf, H. W. & von Gall, C. Chronotype and stability of spontaneous locomotor activity rhythm in BMAL1-deficient mice. Chronobiol. Int. 32, 81–91 (2015).
Jud, C. et al. A guideline for analyzing circadian wheel-running behavior in rodents under different lighting conditions. Biol. Proced. Online 7, 101–116 (2005).
Yang, D. et al. Effect of regular and irregular stimulation cycles of dexamethasone on circadian clock in NIH3T3 cells. Chronobiol. Int 39, 97–105 (2022).
Kim, S. M. et al. High-throughput measurement of fibroblast rhythms reveals genetic heritability of circadian phenotypes in diversity outbred mice and their founder strains. Sci. Rep. 11, 2573 (2021).
Yagita, K. et al. Nucleocytoplasmic shuttling and mCRY-dependent inhibition of ubiquitylation of the mPER2 clock protein. EMBO J. 21, 1301–1314 (2002).
Zhang, R. et al. L-Theanine inhibits melanoma cell growth and migration via regulating expression of the clock gene BMAL1. Eur. J. Nutr. 61, 763–777 (2022).
Hu, Z. et al. Proximity-activated guide RNA of CRISPR-Cas12a for programmable diagnostic detection and gene regulation. Nucleic Acids Res. 53, gkaf017 (2025).
Zhang, Y. et al. Epigallocatechin-3-gallate from green tea reduces vascular aging and endothelial cell senescence by modifying autophagy and ferroptosis through the sirtuin 1 signaling pathway. ACS Omega 10, 38740–38752 (2025).
Cruz, T. M. et al. Bioaccessibility of bioactive compounds from Pereskia aculeata and their cellular antioxidant effect. Food Chem. 460, 140484 (2024).
Yang, J. et al. Tea polyphenol epigallocatechin gallate and the gut-health axis: unraveling structural characteristics, metabolic pathways, and systemic benefits. Adv. Nutr. 16, 100545 (2025).
Bao, H. & Peng, A. The green tea polyphenol(-)-epigallocatechin-3-gallate and its beneficial roles in chronic kidney disease. J. Transl. Int. Med. 4, 99–103 (2016).
Wan, C. et al. Effects of green tea polyphenol extract and epigallocatechin-3-O-gallate on diabetes mellitus and diabetic complications: recent advances. Crit. Rev. Food Sci. Nutr. 64, 5719–5747 (2024).
Baba, K. et al. Circadian regulation of the PERIOD 2::LUCIFERASE bioluminescence rhythm in the mouse retinal pigment epithelium-choroid. Mol. Vis. 16, 2605–2611 (2010).
Calligaro, H. et al. Rods contribute to the light-induced phase shift of the retinal clock in mammals. PLoS Biol. 17, e2006211 (2019).
Gotardelo, M. P. S. et al. Work-related musculoskeletal disorders in vulnerable populations: what are the most common body parts affected? BMC Public Health 23, 1635 (2023).
Song, Z. et al. Sea buckthorn berries alleviate ulcerative colitis via regulating gut Faecalibaculum rodentium-mediated butyrate biosynthesis. Phytomedicine 139, 156490 (2025).
Acknowledgements
This research was supported by grants from the National High Level Chinese Medicine Hospital Clinical Research Funding and the National Natural Science Foundation of China (32171165 and 31871190).
Author information
Authors and Affiliations
Contributions
Conceptualization: G.Y. and Q.Z.; Methodology: C.M., S.Z., G.W., B.S., and B.C.; Investigation, formal analysis and data curation: J.Z. and H.L.; Writing—original draft preparation: G.Y. and J.Z.; Writing—review and editing: H.L., L.C., and Q.Z.; Visualization: J.Z. and H.L.; Supervision: G.Y. and Q.Z.; Funding acquisition: G.Y. and Q.Z. All authors have read and agreed to the published version of the manuscript.
Corresponding authors
Ethics declarations
Competing interests
The authors declare no competing interests.
Additional information
Publisher’s note Springer Nature remains neutral with regard to jurisdictional claims in published maps and institutional affiliations.
Supplementary information
Rights and permissions
Open Access This article is licensed under a Creative Commons Attribution-NonCommercial-NoDerivatives 4.0 International License, which permits any non-commercial use, sharing, distribution and reproduction in any medium or format, as long as you give appropriate credit to the original author(s) and the source, provide a link to the Creative Commons licence, and indicate if you modified the licensed material. You do not have permission under this licence to share adapted material derived from this article or parts of it. The images or other third party material in this article are included in the article’s Creative Commons licence, unless indicated otherwise in a credit line to the material. If material is not included in the article’s Creative Commons licence and your intended use is not permitted by statutory regulation or exceeds the permitted use, you will need to obtain permission directly from the copyright holder. To view a copy of this licence, visit http://creativecommons.org/licenses/by-nc-nd/4.0/.
About this article
Cite this article
Zhang, J., Li, H., Ma, C. et al. Distinct effects of tea types and components on circadian rhythm entrainment and clock gene regulation. npj Sci Food 9, 287 (2025). https://doi.org/10.1038/s41538-025-00646-x
Received:
Accepted:
Published:
Version of record:
DOI: https://doi.org/10.1038/s41538-025-00646-x
This article is cited by
-
Causal relationship between circadian rhythm-related genes expression and spinal disorders: systematic druggable genome-wide Mendelian randomization analysis and virtual screening
Naunyn-Schmiedeberg's Archives of Pharmacology (2026)










