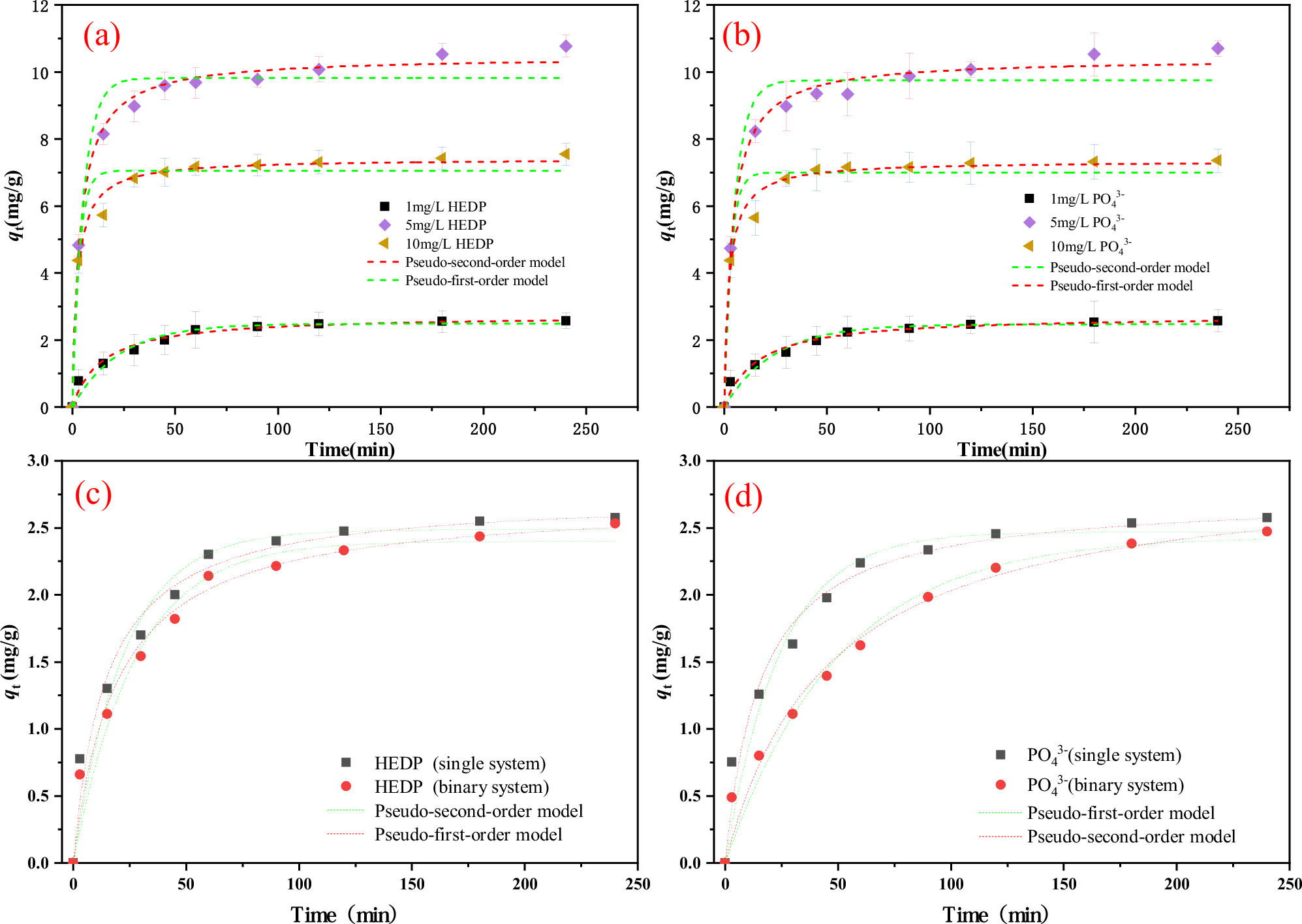
Fig. 3: Adsorption Kinetics.

a Adsorption kinetics of HEDP on Fe3O4 NPs in single P systems. b Adsorption kinetics of PO43− on Fe3O4 NPs in single P systems. c Adsorption kinetics of HEDP on Fe3O4 NPs in binary P systems. d Adsorption kinetics of PO43− on Fe3O4 NPs in binary P systems (test conditions: Fe3O4 NPs = 0.4 g/L, initial pH = 7, T =298 K, t = 0~6 h, HEDP or/and PO43− = 1 mg-P/L).