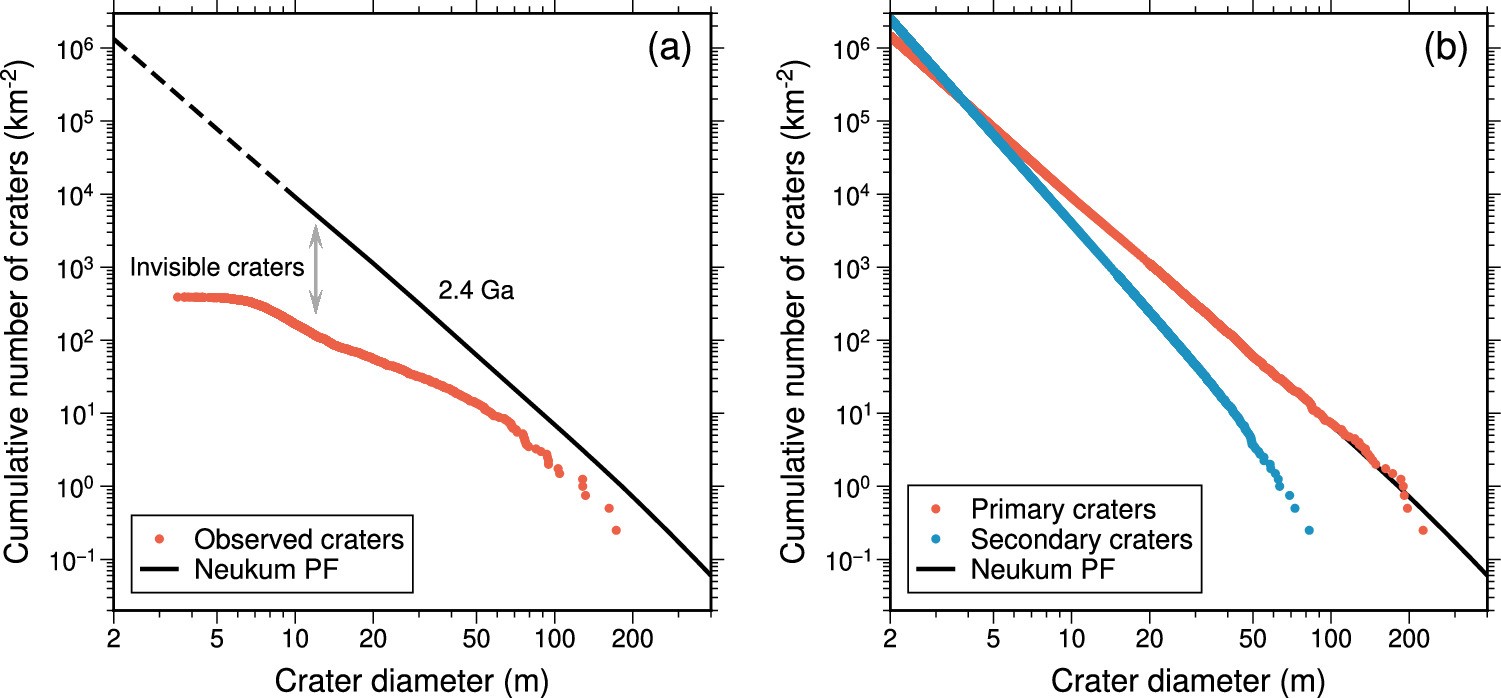
Extended Data Fig. 5: The observed and modeled crater populations within the CE-6 landing region of 2 km across.
From: Provenance and evolution of lunar regolith at the Chang’e-6 sampling site

a, Size-frequency distribution of the observed craters (red dots). b, Size-frequency distributions of the modeled primary (red dots) and secondary (blue dots) craters. The black line represents the Neukum production function of 2.4 Ga.