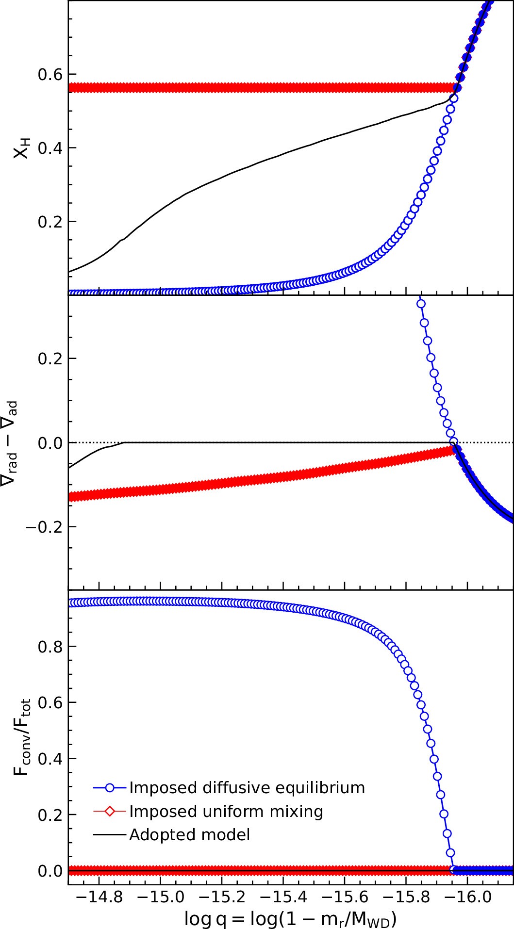
Extended Data Fig. 3: Properties of the semi-convective region in envelope models with imposed chemical profiles.
From: A hot white dwarf merger remnant revealed by an ultraviolet detection of carbon

The top, middle, and bottom panels show the hydrogen mass fraction, the difference between the radiative and adiabatic temperature gradients, and the ratio of convective to total energy flux, respectively, as a function of logarithmic mass depth. Illustrative high-resolution models with imposed diffusive equilibrium and imposed uniform mixing in the semi-convective region are displayed as blue circles and red diamonds, respectively. Each grid point is depicted as an individual symbol, with empty and filled symbols denoting convective and non-convective grid points, respectively. The model assuming diffusive equilibrium is convectively unstable, while the model assuming uniform mixing is convectively stable, therefore both models are inconsistent. The solid black lines show our adopted model, which is the only self-consistent solution.