Abstract
Climate change assessments (CCAs) play a critical role in taking stock of the available science and other forms of knowledge and informing policy processes. As the underlying evidence base increases exponentially, the complexity also increases and challenges CCA author teams to capture all the relevant knowledge. Therefore, CCAs will need to transition from predominantly assessing primary research to focusing on the assessment and critical appraisal of knowledge syntheses of such work, alongside capturing knowledges held outside traditional scientific sources. To support this, a stronger knowledge synthesis culture is needed, and we propose key recommendations and offer guidance for producing robust, transparent, reproducible, inclusive and timely syntheses that can inform CCAs across scales.
This is a preview of subscription content, access via your institution
Access options
Access Nature and 54 other Nature Portfolio journals
Get Nature+, our best-value online-access subscription
$32.99 / 30 days
cancel any time
Subscribe to this journal
Receive 12 print issues and online access
$259.00 per year
only $21.58 per issue
Buy this article
- Purchase on SpringerLink
- Instant access to the full article PDF.
USD 39.95
Prices may be subject to local taxes which are calculated during checkout



Similar content being viewed by others
Change history
23 June 2025
A Correction to this paper has been published: https://doi.org/10.1038/s41558-025-02378-y
References
Berrang-Ford, L. et al. Editorial: Evidence synthesis for accelerated learning on climate solutions. Campbell System. Rev. 16, e1128 (2020).
Haddaway, N. R., Lotfi, T. & Mbuagbaw, L. Systematic reviews: a glossary for public health. Scand. J. Public Health 51, 1–10 (2023). This paper develops a typology for choosing and naming review methods used with a focus on application in a public health context.
Haddaway, N. R. & Macura, B. The role of reporting standards in producing robust literature reviews comment. Nat. Clim. Change 8, 444–447 (2018).
Surkovic, E. & Vigar, D. Scientific advice for policymakers on climate change: the role of evidence synthesis. Phil. Trans. R. Soc. A 380, 20210147 (2022).
Donnelly, C. A. et al. Four principles for synthesizing evidence. Nature 558, 361–364 (2018).
Nalau, J., Gilmore, E. & Howden, M. Improving adaptation assessment in the IPCC. npj Clim. Action 3, 76 (2024).
Hughes, H. Actors, activities, and forms of authority in the IPCC. Rev. Int. Stud. 50, 333–353 (2024).
Slade, R. et al. Back to basics for the IPCC: applying lessons from AR6 to the Seventh Assessment Cycle. npj Clim. Action 3, 48 (2024).
Asayama, S. et al. Three institutional pathways to envision the future of the IPCC. Nat. Clim. Change https://doi.org/10.1038/s41558-023-01780-8 (2023).
Oppenheimer, M. et al. Discerning Experts—The Practices of Scientific Assessment for Environmental Policy (Univ. Chicago Press, 2019). The authors examine how environmental assessments are shaped by expert judgement, institutional norms and political contexts.
Callaghan, M. W., Minx, J. C. & Forster, P. M. A topography of climate change research. Nat. Clim. Change 10, 118–123 (2020). This paper documents the massive expansion of scientific literature on climate change and the nature of the challenge facing global environmental assessments.
Khojasteh, D. et al. Climate change science is evolving toward adaptation and mitigation solutions. Wiley Interdiscip. Rev. Clim. Change https://doi.org/10.1002/wcc.884 (2024).
Sietsma, A. J. et al. Machine learning evidence map reveals global differences in adaptation action. One Earth 7, 280–292 (2024).
Lamb, W. F., Creutzig, F., Callaghan, M. W. & Minx, J. C. Learning about urban climate solutions from case studies. Nat. Clim. Change 9, 279–287 (2019).
Haddaway, N. R. et al. On the use of computer-assistance to facilitate systematic mapping. Campbell System. Rev. 16, e1129 (2020).
Minx, J. C., Callaghan, M., Lamb, W. F., Garard, J. & Edenhofer, O. Learning about climate change solutions in the IPCC and beyond. Environ. Sci. Policy 77, 252–259 (2017).
Dicks, L. V. et al. Knowledge Synthesis for Environmental Decisions: An Evaluation of Existing Methods, and Guidance for their Selection, Use and Development (EKLIPSE, 2017); https://researchportal.port.ac.uk/en/publications/knowledge-synthesis-for-environmental-decisions-an-evaluation-of-
Alegria, A. et al. Towards an IPCC Atlas for comprehensive climate change risk assessments. npj Clim. Action 3, 108 (2024).
Elliott, J. et al. Decision makers need ‘living’ evidence synthesis. Nature 600, 383–385 (2021).
Pearson, H. Scientists are building giant ‘evidence banks’ to create policies that actually work. Nature 634, 16–17 (2024).
Berrang-Ford, L., Pearce, T. & Ford, J. D. Systematic review approaches for climate change adaptation research. Reg. Environ. Change 15, 755–769 (2015). This study examines and illustrates how to conduct systematic reviews for adaptation-relevant questions.
Chigbu, U. E., Atiku, S. O. & Du Plessis, C. C. The science of literature reviews: searching, identifying, selecting, and synthesising. Publications 11, 2 (2023). The authors focus in detail on the steps involved in literature reviews.
Bednar-Friedl, B. et al. The Next Frontier for Climate Change Science: Insights from the Authors of the IPCC 6th Assessment Report on Knowledge Gaps and Priorities for Research (eds Drabicka, K. et al.) (European Comission Directorate-General for Research and Innovation, Publications Office of the European Union, 202); https://data.europa.eu/doi/10.2777/34601
Sixty-first Session of the IPCC 27 July–2 August 2024, Sofia, Bulgaria: Decisions Adopted by the Panel (IPCC, 2024); https://www.ipcc.ch/site/assets/uploads/2024/08/IPCC-61_decisions-adopted-by-the-Panel.pdf
Collins, A., Coughlin, D. & Randall, N. Engaging environmental policy-makers with systematic reviews: challenges, solutions and lessons learned. Environ. Evid. 8, 2 (2019).
Haddaway, N. & Crowe, S. Experiences and lessons in stakeholder engagement in environmental evidence synthesis: a truly special series. Environ. Evid. 7, 11 (2018).
Pullin, A. S., Frampton, G. K., Livoreil, B. & Petrokofsky, G. (eds) Guidelines and Standards for Evidence Synthesis in Environmental Management Version 5.1 (Collaboration for Environmental Evidence, 2022); https://environmentalevidence.org/information-for-authors/
Kopp, R. et al. Communicating future sea-level rise uncertainty and ambiguity to assessment users. Nat. Clim. Change 13, 648–660 (2023).
Magnan, A. K. et al. Sea level rise risks and societal adaptation benefits in low-lying coastal areas. Sci. Rep. 12, 10677 (2022).
Milbank, C. et al. Rethinking hierarchies of evidence for sustainable food systems. Nat. Food 2, 843–845 (2021).
Vijayan, D. et al. Indigenous knowledge in food system transformations. Commun. Earth Environ. 3, 213 (2022).
Ford, J., Pearce, T., Canosa, I. & Harper, S. The rapidly changing Arctic and its societal implications. Wiley Interdiscip. Rev. Clim. Change 12, e735 (2021).
Alaskan Inuit Food Security Conceptual Framework: How to Assess the Arctic from an Inuit Perspective (Inuit Circumpolar Council-Alaska, 2015).
Haddaway, N. et al. A framework for stakeholder engagement during systematic reviews and maps in environmental management. Environ. Evid. 6, 11 (2017).
Methley, A., Campbell, S., Chew-Graham, C., McNally, R. & Cheraghi-Sohi, S. PICO, PICOS and SPIDER: a comparison study of specificity and sensitivity in three search tools for qualitative systematic reviews. BMC Health Serv. Res. 14, 579 (2014).
Cooke, A., Smith, D. & Booth, A. Beyond PICO: the SPIDER tool for qualitative evidence synthesis. Qual. Health Res. 22, 1435–1443 (2012).
Evidence Synthesis for Policy: Statement of Principles (Royal Society & Academy of Medical Sciences, 2018).
Principles Governing IPCC Work (IPCC, 2013).
Büntgen, U. The importance of distinguishing climate science from climate activism. npj Clim. Action 3, 36 (2024).
Singh, C., Ford, J., Ley, D., Bazaz, A. & Revi, A. Assessing the feasibility of adaptation options: methodological advancements and directions for climate adaptation research and practice. Climatic Change 162, 255–277 (2020).
Haddaway, N. R. et al. Eight problems with literature reviews and how to fix them. Nat. Ecol. Evol. 4, 1582–1589 (2020). This study identifies and characterizes major pitfalls that should be avoided when conducting and reporting systematic reviews.
Preferred Reporting Items for Systematic Reviews and Meta Analyses (PRISMA, 2020); https://www.prisma-statement.org/
RepOrting standards for Systematic Evidence Syntheses (ROSES, 2024); https://www.roses-reporting.com/
Tengo, M. et al. Weaving knowledge systems in IPBES, CBD and beyond-lessons learned for sustainability. Curr. Opin. Environ. Sustain. 26–27, 17–25 (2017).
Smith, H. A. & Sharp, K. Indigenous climate knowledges. Wiley Interdiscip. Rev. Clim. Change 3, 467–476 (2012).
Mahony, M. & Hulme, M. Epistemic geographies of climate change: Science, space and politics. Prog. Hum. Geogr. 42, 395–424 (2018).
Ford, J. D. et al. Including Indigenous knowledge and experience in IPCC assessment reports. Nat. Clim. Change 6, 349–353 (2016).
McElwee, P. et al. Working with Indigenous and local knowledge (ILK) in large-scale ecological assessments: reviewing the experience of the IPBES Global Assessment. J. Appl. Ecol. 57, 1666–1676 (2020).
The Knowledge Dialogues Methodology (Pan American Health Organization, 2022); https://doi.org/10.37774/9789275124703
McDowell, G. et al. The Canadian Mountain Assessment (Univ. Calgary Press, 2023). This book is an example of a climate change assessment where Indigenous knowledge was incorporated from the beginning of the assessment process.
We Rise Together: Achieving Pathway to Canada Target 1 Through the Creation of Indigenous Protected and Conserved Areas in the Spirit and Practice of Reconciliation: Indigenous Circle of Experts Report and Recommendations (Government of Canada, 2018); https://publications.gc.ca/pub?id=9.852966&sl=0
Tengö, M., Brondizio, E., Elmqvist, T., Malmer, P. & Spierenburg, M. Connecting diverse knowledge systems for enhanced ecosystem governance: the multiple evidence base approach. AMBIO 43, 579–591 (2014). The authors present an approach for connecting multiple forms of knoweldge in environmental assessments.
Sherwood, S. et al. An assessment of Earth’s climate sensitivity using multiple lines of evidence. Rev. Geophys. 58, e2019RG000678 (2020).
Xu, B. & He, X. A physics-informed Bayesian storyline approach to assess sediment transport in the Mekong. Wat. Resour. Res. 58, e2022WR032681 (2022).
Kopp, R. et al. The Framework for Assessing Changes To Sea-level (FACTS) v1.0: a platform for characterizing parametric and structural uncertainty in future global, relative, and extreme sea-level change. Geosci. Model Dev. 16, 7461–7489 (2023).
Johnson, E., O'Keefe, H., Sutton, A. & Marshall, C. The systematic review toolbox: keeping up to date with tools to support evidence synthesis. Syst. Rev. 11, 258 (2022).
Tsafnat, G. et al. Systematic review automation technologies. Syst. Rev. 9, 74 (2014).
Debernardi, C., Seeber, M. & Cattaneo, M. Thirty years of climate change research:a fine-grained analysis of geographical specialization. Environ. Sci. Policy 152, 103663 (2024).
Sietsma, A., Ford, J. & Minx, J. The next generation of machine learning for tracking adaptation texts. Nat. Clim. Change 14, 31–39 (2024). This Perspective offers an in-depth examination of how machine learning can be used to track adaptation progress, along with pitfalls and opportunities.
Binz, M. et al. How should the advent of large language models affect the practice of science? Preprint at https://arxiv.org/pdf/2312.03759 (2025).
Khalil, H. et al. Automation tools to support undertaking scoping reviews. Res. Synth. Methods https://doi.org/10.1002/jrsm.1731 (2024).
Affengruber, L. et al. Rapid review methods series: guidance on the use of supportive software. BMJ Evid. Based Med. 29, 264–271 (2024).
Jimenez, R. et al. Machine learning computational tools to assist the performance of systematic reviews: a mapping review. BMC Med. Res. Methodol. 22, 322 (2022).
Callaghan, M. & Müller-Hansen, F. Statistical stopping criteria for automated screening in systematic reviews. Syst. Rev. 9, 273 (2020).
Muccione, V. et al. Integrating artificial intelligence with expert knowledge in global environmental assessments: opportunities, challenges and the way ahead. Reg. Environ. Change 24, 121 (2024). This study explores how AI can be used within global environmental assessments, illustrating how some processes can be automated and streamlined.
Debnath, R., Creutzig, F., Sovacool, B. K. & Shuckburgh, E. Harnessing human and machine intelligence for planetary-level climate action. npj Clim. Action 2, 20 (2024).
Wells, S. Ready or not, AI is coming to science education—and students have opinions. Nature 628, 459–461 (2024).
Schulz, K. & Grimes, D. Blinding in randomised trials: hiding who got what. Lancet 359, 696–700 (2002).
McClenachan, L., Ferretti, F. & Baum, J. From archives to conservation: why historical data are needed to set baselines for marine animals and ecosystems. Conserv. Lett. 5, 349–359 (2012).
Ford, J. D. Increasing trust in climate vulnerability projections. Earths Future 2, e2023EF003655 (2024).
Lloyd, E. & Oreskes, N. Climate Change attribution: when is it appropriate to accept new methods. Earths Future 6, 311–325 (2018).
Shea, B. et al. AMSTAR 2: a critical appraisal tool for systematic reviews that include randomised or non-randomised studies of healthcare interventions, or both. BMJ 358, j4008 (2017).
Frampton, G. et al. Principles and framework for assessing the risk of bias for studies included in comparative quantitative environmental systematic reviews. Environ. Evid. 11, 12 (2022).
David-Chavez, D. M. & Gavin, M. C. A global assessment of Indigenous community engagement in climate research. Environ. Res. Lett. 13, 123005 (2018).
Perumal, L., New, M., Jonas, M. & Liu, W. The impact of roads on sub-Saharan African ecosystems: a systematic review. Environ. Res. Lett. 16, 113001 (2021).
Rebelo, A., Holden, P., Esler, K. & New, M. Benefits of water-related ecological infrastructure investments to support sustainable land-use: a review of evidence from critically water-stressed catchments in South Africa. R. Soc. Open Sci. 8, 201402 (2021).
Sprague, N. L. et al. The CHANGE (Climate Health ANalysis Grading Evaluation) tool for weight of evidence reviews on climate change and health research. Environ. Health 23, 7 (2024).
Jager, N. W., Newig, J., Challies, E., Kochskämper, E. & von Wehrden, H. Case study meta-analysis in the social sciences. Insights on data quality and reliability from a large-N case survey. Res. Synth. Methods 13, 12–27 (2022).
Eick, S. M., Goin, D. E., Chartres, N., Lam, J. & Woodruff, T. J. Assessing risk of bias in human environmental epidemiology studies using three tools: different conclusions from different tools. Syst. Rev. 9, 249 (2020).
Mastrandrea, M. D. et al. Guidance Note for Lead Authors of the IPCC Fifth Assessment Report on Consistent Treatment of Uncertainties (IPCC, 2010).
Fox-Kemper, B. et al. in Climate Change 2021: The Physical Science Basis (eds Masson-Delmotte, V. et al.) 1211–1362 (IPCC, Cambridge Univ. Press, 2023).
Haddaway, N. Open synthesis: on the need for evidence synthesis to embrace Open Science. Environ. Evid. 7, 26 (2018). The author explores key principles needed to underpin open science in the context of evidence synthesis.
Nosek, B. et al. Promoting an open research culture. Science 348, 1422–1425 (2015).
Chin, J., Growns, B., Sebastian, J., Page, M. & Nakagawa, S. The transparency and reproducibility of systematic reviews in forensic science. Forensic Sci. Int. 340, 111472 (2022).
Informing Rainfall Risk Insurance for Farmers in Gujarat, India: Evidence Impact Summaries (3ie, 2021); https://www.3ieimpact.org/evidence-hub/Evidence-impact-summaries/strengthening-rule-law-and-justice-programming-usaid
de Bruin, W. et al. Improving figures for climate change communications: insights from interviews with international policymakers and practitioners. Climatic Change 177, 57 (2024).
Harold, J., Lorenzoni, I., Shipley, T. & Coventry, K. Communication of IPCC visuals: IPCC authors’ views and assessments of visual complexity. Climatic Change 158, 255–270 (2020).
Haddaway, N. et al. EviAtlas: a tool for visualising evidence synthesis databases. Environ. Evid. 8, 22 (2019).
Yoeli, H., Dhital, R., Hermaszewska, S. & Sin, J. A meta-ethnography of participatory health research and co-production in Nepal. Social Sci. Med. 301, 114955 (2022).
IPCC WGI Interactive Atlas (IPCC, 2024); https://interactive-atlas.ipcc.ch/
Campbell, R. et al. Evaluating meta-ethnography: systematic analysis and synthesis of qualitative research. Health Technol. Assess. https://doi.org/10.3310/hta15430 (2011).
Pawson, R., Greenhalgh, T., Harvey, G. & Walshe, K. Realist review: a new method of systematic review designed for complex policy interventions. J. Health Serv. Res. Policy 10, 21–34 (2005).
Magnan, A. K. et al. The value of structured expert judgment to help assess climate adaptation. Clim. Risk Manage. 47, 100692 (2025).
Magnan, A. K. et al. Status of global coastal adaptation. Nat. Clim. Change https://doi.org/10.1038/s41558-023-01834-x (2023).
Mitchell, D. et al. Expert judgement reveals current and emerging UK climate- mortality burden. Lancet Planet. Health 8, e684–e694 (2024).
Oxford Martin Restatements (Oxford Martin School, 2024); https://www.oxfordmartin.ox.ac.uk/publications/restatements
Jordon, M. W. et al. A restatement of the natural science evidence base concerning grassland management, grazing livestock and soil carbon storage. Proc. R. Soc. B 291, (2024). https://doi.org/10.1098/rspb.2023.2669
The White/Wiphala Paper on Indigenous Peoples’ Food Systems (FAO, 2021); https://doi.org/10.4060/cb4932eN
Petzold, J., Andrews, N., Ford, J. D., Hedemann, C. & Postigo, J. C. Indigenous knowledge on climate change adaptation: a global evidence map of academic literature. Environ. Res. Lett. 15, 113007 (2020).
Cohen, S. Mackenzie Basin Impact Study 327 (Atmospheric Environment Services, Environment Canada, 1997).
Arctic Climate Impact Assessment (Cambridge Univ. Press, 2005).
Rashidi, P. & Lyons, K. Democratizing global climate governance? The case of Indigenous representation in the Intergovernmental Panel on Climate Change (IPCC). Globalizations 20, 1312–1327 (2023).
van Bavel, B., Petrasek Macdonald, J. & Sambo Dorough, D. in A Critical Assessment of the Intergovernmental Panel on Climate Change (eds De Pryck, K. & Hulme, M.) Ch. 13 (Cambridge Univ. Press, 2022).
Hill, R. et al. Working with Indigenous, local and scientific knowledge in assessments of nature and nature’s linkages with people. Curr. Opin. Environ. Sustain. 43, 8–20 (2020).
First Indigenous Knowledge and Local Knowledge Dialogue to Support the Preparation of the GEO-7 Assessment (UNEP, 2024); https://www.unep.org/events/online-event/first-indigenous-knowledge-and-local-knowledge-dialogue-support-preparation-geo
Indigenous and Local Knowledge Dialogue Reports (IPBES, 2024); https://www.ipbes.net/ilk-dialogue-reports
Acknowledgements
We thank B. van den Hurk who commented on earlier versions of the paper. The work of J.D.F. was supported by UK Economic and Social Research Council (grant number ES/Z000114/1) and an ERC Advanced Grant (via the UKRI Horizon Europe guarantee scheme, EPSRC grant number EP/Z533385/1). The work of R.B. was supported through the Dutch Research Council (NWO grant number VI.Vidi.211.132). The work of J.C.M. and M.C. was supported by the European Research Council (ERC) under the European Union’s Horizon 2020 Framework Programme as part of the project ‘GeoEngineering and NegatIve Emissions pathways in Europe’ (GENIE) (grant agreement number 951542) as well as the project ‘Pathfinder 2: accelerating climate action for health’ funded by the Wellcome Trust (project-ID 227165/Z/23/Z).
Author information
Authors and Affiliations
Contributions
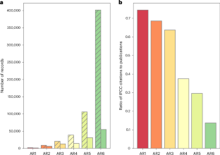
J.D.F., R.B., L.B.F., F.C., N.H., S.H., J.C.M., M.N., A.J.S., C.Z.-C. and M.C. conceptualized the Perspective. J.D.F. R.B. and L.B.F. wrote the original and final draft of the paper. J.C.M. and M.C. conducted analysis for Fig. 1. All authors provided input on the text.
Corresponding author
Ethics declarations
Competing interests
The authors declare no competing interests.
Peer review
Peer review information
Nature Climate Change thanks Robert Kopp and Debora Ley for their contribution to the peer review of this work.
Additional information
Publisher’s note Springer Nature remains neutral with regard to jurisdictional claims in published maps and institutional affiliations.
Supplementary information
Supplementary Information
Supplementary Tables 1−3.
Rights and permissions
Springer Nature or its licensor (e.g. a society or other partner) holds exclusive rights to this article under a publishing agreement with the author(s) or other rightsholder(s); author self-archiving of the accepted manuscript version of this article is solely governed by the terms of such publishing agreement and applicable law.
About this article
Cite this article
Ford, J.D., Biesbroek, R., Ford, L.B. et al. Recommendations for producing knowledge syntheses to inform climate change assessments. Nat. Clim. Chang. 15, 698–708 (2025). https://doi.org/10.1038/s41558-025-02354-6
Received:
Accepted:
Published:
Version of record:
Issue date:
DOI: https://doi.org/10.1038/s41558-025-02354-6


