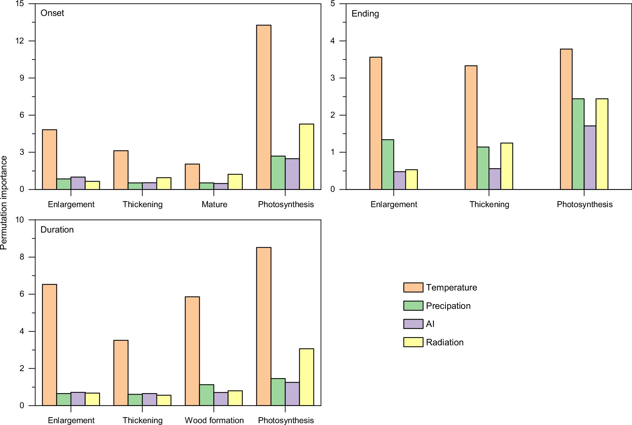
Extended Data Fig. 2: Permutation importance of climatic factors on the onset, end and duration of wood formation and photosynthesis.
From: Warming increases the phenological mismatch between carbon sources and sinks in conifers

Random forest models were used to quantify and compare the effects of climate variables on the phenological events. Model performances including the root mean squared error (RMSE) and the R2 for both the training and test set have been shown in Supplementary Table 1. Temperature, precipitation, AI represent mean annual temperature, mean total annual precipitation, mean annual aridity index, and mean annual shortwave downward radiation, respectively.