Abstract
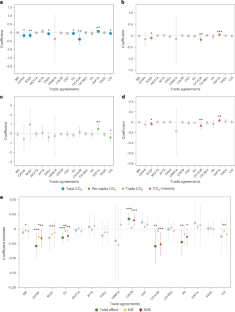
The Paris Agreement highlights technology transfer for climate mitigation, yet the disparities in technology ownership and diffusion slow global decarbonization. While trade agreements serve as institutional pathways for technological diffusion, the decarbonization potential of patent transfers remains unassessed. Here using data on carbon emissions, trade and patents from 1995 to 2023, we evaluate how membership in trade agreements influences global carbon emission through technological accumulation. Our analyses show that while trade agreements have heterogeneous effects on emissions, they lead to a robust 2.8% reduction among key emitters. These reductions are mediated more by cross-border general technology transfers than by specific climate innovation. Scenario analyses further suggest that full technology transferring from key emitters to all their partners could reduce emissions by 587 Mt, equivalent to 1.6% of global emissions in 2021. These results demonstrate that incorporating technology transfer mechanisms into trade agreements is critical for maximizing their decarbonization potential.
This is a preview of subscription content, access via your institution
Access options
Access Nature and 54 other Nature Portfolio journals
Get Nature+, our best-value online-access subscription
$32.99 / 30 days
cancel any time
Subscribe to this journal
Receive 12 print issues and online access
$259.00 per year
only $21.58 per issue
Buy this article
- Purchase on SpringerLink
- Instant access to the full article PDF.
USD 39.95
Prices may be subject to local taxes which are calculated during checkout




Similar content being viewed by others
Data availability
This study uses data from several sources. Country-level CO2 emissions are obtained from OWID (https://ourworldindata.org/co2-emissions); macroeconomic indicators such as GDP and population are from the World Bank WDI (https://datacatalog.worldbank.org/search/dataset/0037712/World-Development-Indicators) and information on trade agreements is sourced from the World Bank DTA database (https://datatopics.worldbank.org/dta/table.html). Bilateral trade flows are retrieved from the UN Comtrade database (https://comtradeplus.un.org/) and climate patent records are from IncoPat (https://www.incopat.com/). Owing to license restrictions from the providers, the raw trade and patent data cannot be shared. The data necessary to reproduce the main results are available via Figshare at https://doi.org/10.6084/m9.figshare.31295878 (ref. 48).
Code availability
MATLAB R2022b was used for data processing and visualization. The analysis for impact of agreements and technology is conducted using Stata 18. To facilitate reproducibility, the full data processing and analysis codes are available via CodeOcean at https://doi.org/10.24433/CO.1738407.v1 (ref. 50).
References
Chen, S., Liu, J., Zhang, Q., Teng, F. & McLellan, B. C. A critical review on deployment planning and risk analysis of carbon capture, utilization, and storage (CCUS) toward carbon neutrality. Renew. Sustain. Energy Rev. 167, 112537 (2022).
Wang, F. et al. Technologies and perspectives for achieving carbon neutrality. Innovation 2, 100180 (2021).
Kuang, H., Akmal, Z. & Li, F. Measuring the effects of green technology innovations and renewable energy investment for reducing carbon emissions in China. Renew. Energy 197, 1–10 (2022).
Bandara, P., Ray, R., Lu, J. & Gallagher, K. P. Developing countries locked out of low-carbon technology trade. Science 388, 248–250 (2025).
Pigato, M. et al. Technology Transfer and Innovation for Low-Carbon Development (World Bank Publications, 2020).
Global Energy Review 2025 (IEA, 2025); https://www.iea.org/reports/global-energy-review-2025
Jiang, J., Yin, D., Sun, Z., Ye, B. & Zhou, N. Global trend of methane abatement inventions and widening mismatch with methane emissions. Nat. Clim. Change 14, 393–401 (2024).
CO2 Emissions of All World Countries JRC/IEA/PBL 2022 report (European Commission, Joint Research Centre, 2022).
Probst, B., Touboul, S., Glachant, M. & Dechezleprêtre, A. Global trends in the invention and diffusion of climate change mitigation technologies. Nat. Energy 6, 1077–1086 (2021).
Meng, B. et al. Developing countries’ responsibilities for CO2 emissions in value chains are larger and growing faster than those of developed countries. One Earth 6, 167–181 (2023).
Energy Technology Perspectives 2024—Analysis (IEA, 2024); https://www.iea.org/reports/energy-technology-perspectives-2024
Avenyo, E. K. & Tregenna, F. Greening manufacturing: technology intensity and carbon dioxide emissions in developing countries. Appl. Energy 324, 119726 (2022).
Sachs, J. D. et al. Six transformations to achieve the sustainable development goals. Nat. Sustain. 2, 805–814 (2019).
Bozeman, B. Technology transfer and public policy: a review of research and theory. Res. Policy 29, 627–655 (2000).
Keller, W. in Handbook of the Economics of Innovation (eds Hall, B. H. & Rosenberg, N.) 793–829 (Elsevier, 2010).
Ayerst, S., Ibrahim, F., MacKenzie, G. & Rachapalli, S. Trade and diffusion of embodied technology: an empirical analysis. J. Monet. Econ. 137, 128–145 (2023).
Zhong, H. et al. Global spillover effects of the European green deal and plausible mitigation options. Nat. Sustain. 7, 1501–1511 (2024).
Böhringer, C., Fischer, C., Rosendahl, K. E. & Rutherford, T. F. Potential impacts and challenges of border carbon adjustments. Nat. Clim. Change 12, 22–29 (2022).
Wang, X.-T. et al. Trade-linked shipping CO2 emissions. Nat. Clim. Change 11, 945–951 (2021).
Foong, A., Pradhan, P., Frör, O. & Kropp, J. P. Adjusting agricultural emissions for trade matters for climate change mitigation. Nat. Commun. 13, 3024 (2022).
Qu, S., Li, Y., Liang, S., Yuan, J. & Xu, M. Virtual CO2 emission flows in the global electricity trade network. Environ. Sci. Technol. 52, 6666–6675 (2018).
Tian, K. et al. Regional trade agreement burdens global carbon emissions mitigation. Nat. Commun. 13, 408 (2022).
Jinji, N., Zhang, X. & Haruna, S. Do deeper regional trade agreements enhance international technology spillovers?. World Econ. 42, 2326–2363 (2019).
Martínez-Zarzoso, I. & Chelala, S. Trade agreements and international technology transfer. Rev. World Econ. 157, 631–665 (2021).
Brandi, C., Schwab, J., Berger, A. & Morin, J.-F. Do environmental provisions in trade agreements make exports from developing countries greener?. World Dev. 129, 104899 (2020).
Santacreu, A. M. Dynamic gains from trade agreements with intellectual property provisions. J. Polit. Econ. 133, 1133–1168 (2025).
Antweiler, W., Copeland, B. R. & Taylor, M. S. Is free trade good for the environment?. Am. Econ. Rev. 91, 877–908 (2001).
Cohen, W. M. & Levinthal, D. A. Absorptive capacity: a new perspective on learning and innovation. Admin. Sci. Q. 35, 128–152 (1990).
Bozeman, B., Rimes, H. & Youtie, J. The evolving state-of-the-art in technology transfer research: revisiting the contingent effectiveness model. Res. Policy 44, 34–49 (2015).
Acemoglu, D., Aghion, P., Bursztyn, L. & Hemous, D. The environment and directed technical change. Am. Econ. Rev. 102, 131–166 (2012).
Greening Regional Trade Agreements on Non-Tariff Measures Through Technical Barriers to Trade and Regulatory Co-Operation (OECD, 2020); https://doi.org/10.1787/dfc41618-en
Bui, L., Dewitte, R., Happersberger, S., Nagabhatla, N. & Rayp, G. Environmental Impact Assessments of Trade Agreements (United Nations Univ., 2024); https://doi.org/10.13140/RG.2.2.32941.09440
Bronckers, M. & Gruni, G. Retooling the sustainability standards in EU free trade agreements. J. Int. Econ. Law 24, 25–51 (2021).
Antimiani, A., Costantini, V. & Paglialunga, E. Fossil fuels subsidy removal and the EU carbon neutrality policy. Energy Econ. 119, 106524 (2023).
Yuan, W., Lu, W. & Zhang, J. The impact of depth of environmental provisions and CO2 emissions embodied in international trade. Environ. Sci. Pollut. Res. 30, 108301–108318 (2023).
Aldieri, L., Sena, V. & Vinci, C. P. Domestic R&D spillovers and absorptive capacity: some evidence for US, Europe and Japan. Int. J. Prod. Econ. 198, 38–49 (2018).
Danquah, M., Ouattara, B. & Quartey, P. Technology transfer and national efficiency: does absorptive capacity matter?. Afr. Dev. Rev. 30, 162–174 (2018).
Bloom, N., Draca, M. & Van Reenen, J. Trade induced technical change? The impact of Chinese imports on innovation, IT and productivity. Rev. Econ. Stud. 83, 87–117 (2016).
Autor, D., Dorn, D., Hanson, G. H., Pisano, G. & Shu, P. Foreign competition and domestic innovation: evidence from US patents. Am. Econ. Rev. Insights 2, 357–374 (2020).
Bodansky, D. The legal character of the Paris Agreement. Rev. Eur. Comp. Int. Environ. Law 25, 142–150 (2016).
Fu, X., Pietrobelli, C. & Soete, L. The role of foreign technology and indigenous innovation in the emerging economies: technological change and catching-up. World Dev. 39, 1204–1212 (2011).
Branstetter, L. G., Fisman, R. & Foley, C. F. Do stronger intellectual property rights increase international technology transfer? Empirical evidence from U. S. firm-level panel data. Q. J. Econ. 121, 321–358 (2006).
Smith, R. D., Correa, C. & Oh, C. Trade, TRIPS, and pharmaceuticals. Lancet 373, 684–691 (2009).
Raiser, K., Naims, H. & Bruhn, T. Corporatization of the climate? Innovation, intellectual property rights, and patents for climate change mitigation. Energy Res. Social Sci. 27, 1–8 (2017).
Dechezleprêtre, A., Glachant, M., Haščič, I., Johnstone, N. & Ménière, Y. Invention and transfer of climate change–mitigation technologies: a global analysis. Rev. Environ. Econ. Policy 5, 109–130 (2011).
Kirchberger, M. A. & Pohl, L. Technology commercialization: a literature review of success factors and antecedents across different contexts. J. Technol. Transf. 41, 1077–1112 (2016).
Runfola, D. et al. geoBoundaries: a global database of political administrative boundaries. PLoS ONE 15, e0231866 (2020).
Wang, J. et al. Source data of main results for “International trade reduces emissions through technology transfer led by key emitters”. figshare https://doi.org/10.6084/M9.FIGSHARE.31295878 (2026).
Imai, K., Keele, L. & Tingley, D. A general approach to causal mediation analysis. Psychol. Methods 15, 309–334 (2010).
Wang, J. International trade reduces emissions through technology transfer led by key emitters. CodeOcean https://doi.org/10.24433/CO.1738407.V1 (2026).
Acknowledgements
J.B. acknowledges support from the National Natural Science Foundation of China (NSFC) (grant no. 72488101). P.W. acknowledges support from the NSFC (grant no. 42477499). L.H. acknowledges support from the NSFC (grant no. 42377420). P.W. acknowledges support from the Natural Science Foundation of Jiangsu Province (grant no. BK20231327).
Author information
Authors and Affiliations
Contributions
J.W., P.W. and L.H. designed the study. J.W. wrote the codes and led the analyses and visualization. S.-C.H., P.H., Y. Wu and Y.S. contributed to framing the paper. J.W., P.W. and L.H. drafted the paper. J.W., P.W., S.-C.H., P.H., Y. Wu, F.R., Y. Wang, W.C., J.B., L.H. and Y.S. contributed to writing, editing and improving the paper. L.H. and P.W. supervised and coordinated the overall research.
Corresponding authors
Ethics declarations
Competing interests
The authors declare no competing interests.
Peer review
Peer review information
Nature Climate Change thanks Shaikh Eskander, Cuihong Yang and the other, anonymous, reviewer(s) for their contribution to the peer review of this work.
Additional information
Publisher’s note Springer Nature remains neutral with regard to jurisdictional claims in published maps and institutional affiliations.
Supplementary information
Supplementary Information (download PDF )
Supplementary Figs. 1–21 and Tables 1–60.
Rights and permissions
Springer Nature or its licensor (e.g. a society or other partner) holds exclusive rights to this article under a publishing agreement with the author(s) or other rightsholder(s); author self-archiving of the accepted manuscript version of this article is solely governed by the terms of such publishing agreement and applicable law.
About this article
Cite this article
Wang, J., Wang, P., Hsu, SC. et al. International trade reduces emissions through technology transfer led by key emitters. Nat. Clim. Chang. (2026). https://doi.org/10.1038/s41558-026-02595-z
Received:
Accepted:
Published:
Version of record:
DOI: https://doi.org/10.1038/s41558-026-02595-z


