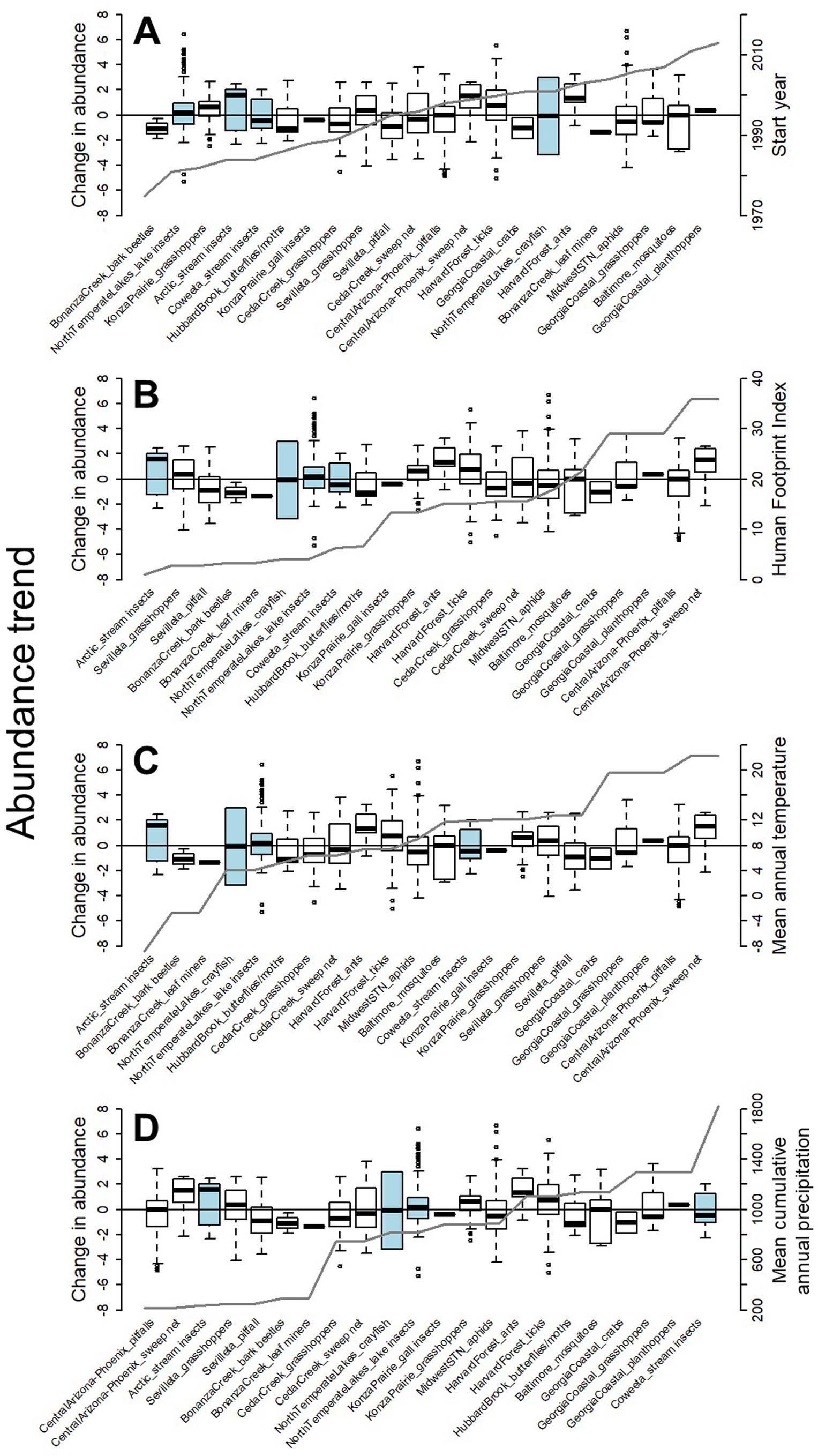
Extended Data Fig. 4: Explanatory variables overlaid on (sorted) time trends in arthropod abundance among LTERs.
From: No net insect abundance and diversity declines across US Long Term Ecological Research sites

(a) Start year of LTER site sampling. (b) Human Footprint Index associated with LTER site. The average HFI value for locations within the US is 7; LTER sites ranged from 1 to 38. (c) Mean annual temperature at LTER sites. (d) Mean cumulative annual precipitation at LTER sites.