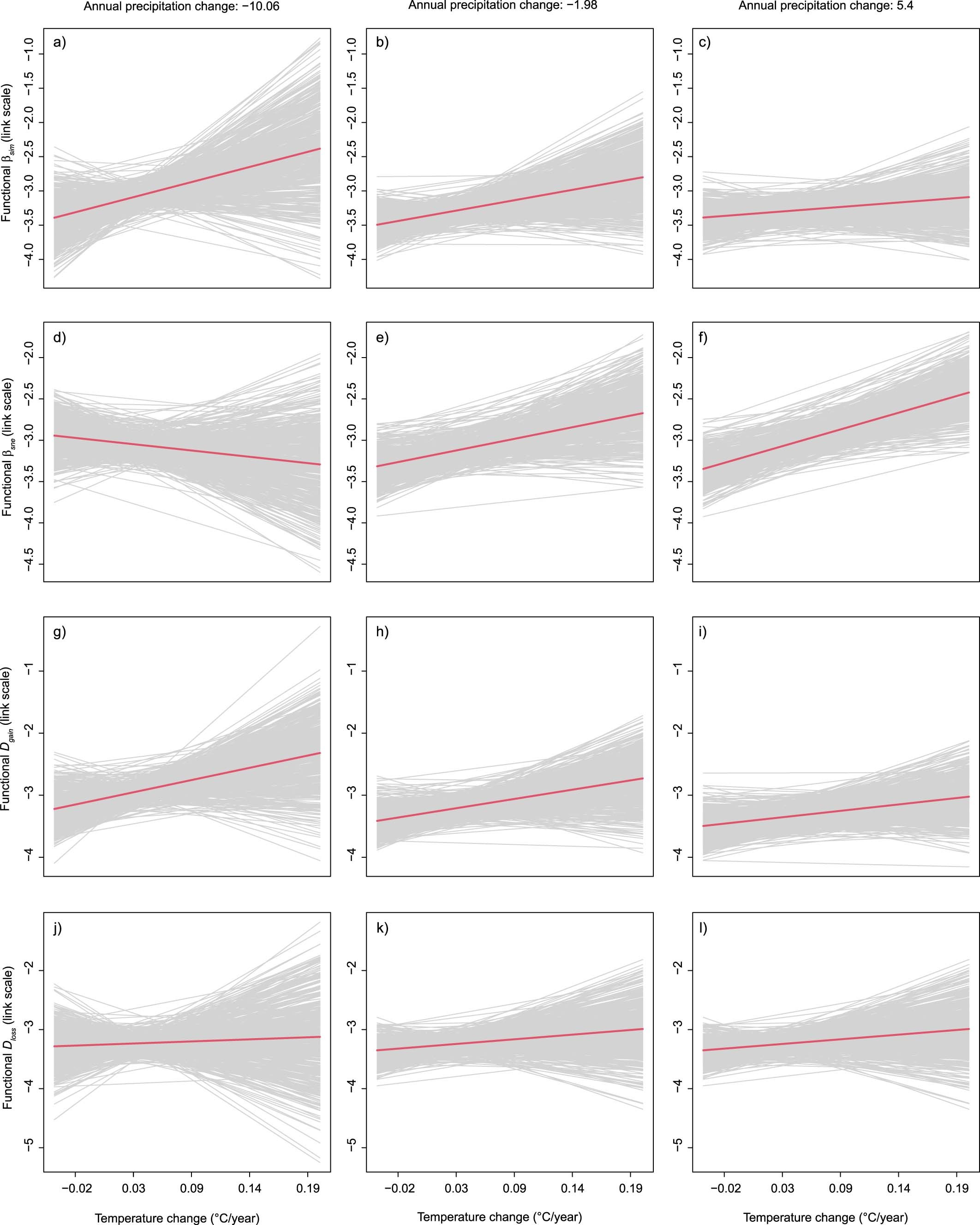
Extended Data Fig. 2: Relationships between the rate of change of temperature with negative, stable and positive rate of changes of precipitation and functional indices (βsim, βsne, Dgain, Dloss).
From: Climate and land-use changes drive biodiversity turnover in arthropod assemblages over 150 years

Relationships between functional indices and the rate of change of temperature (°C/year) with negative (−10.06), stable (−1.96) and positive (5.4) rates of change in precipitation (mm/year). In each plot, the thick red line represents the average predicted relationship on the link scale, while the grey lines represent 500 samples of the posterior distribution. a–c, turnover (βsim). d–f, nestedness (βsne). g–i, standardized gain (Dgain). j–l, standardized loss (Dloss).